952гр-Королев И. А (1222237), страница 3
Текст из файла (страница 3)
Стоит отметить, что значение первого экспоненциальной средней равно соответственно первому значению исходной функции:
Более того, экспоненциальные скользящие средние могут вычисляться несколько раз, то есть иметь произвольный порядок:
|
| (1.7) |
– сглаживающая константа, характеризующая скорость уменьшения весовых коэффициентов (весов) и принимающая значение от 0 до 1;
– экспоненциальная средняя
-ого порядка в точке
.
Таким образом, сглаживанию подвергается не только значения исходной функции временного ряда, как это реализуется в экспоненциальной средней первого порядка, но и сама математическая модель экспоненциальной скользящей средней. Это благоприятно влияет на устойчивость при резком колебании цен.
Модель модифицированной скользящей средней – это частный случай модели экспоненциальной скользящей средней, для которой сглаживающая константа равна обратному значению сглаживающего интервала, то есть:
Исходя из такой сглаживающей константы, а также из (1.7), модифицированная скользящая средняя определяется следующим образом:
|
| (1.8) |
Кумулятивная скользящая средняя – это среднее арифметическое значение исходной функции, вычисленное за весь период временных рядов (частный случай простой скользящей средней):
|
| (1.9) |
– значение временного ряда в точке
;
– значение кумулятивной скользящей средней в точке
.
Такая математическая модель не является точной, поскольку учитывает все данные. Разумеется, некоторые изначальные значения временного ряда могут быть уже не актуальны при текущей рыночной конъюнктуре.
Вычисление модели кумулятивной скользящей средней может производиться и по рекуррентной формуле (1.10):
|
| (1.10) |
– значение временного ряда в точке
;
– предыдущая вычисленная кумулятивная скользящая средняя;
– значение кумулятивной скользящей средней в точке
.
На практике все вышеприведённые математические модели при формировании прогноза допускают некоторые ошибки, оценку которых проводится теми или иными видами погрешностями измерения. Рассмотрим некоторые из них.
1.1.3 Оценка точности модели скользящих средних
Известно, что с абсолютной точностью довольно проблематично измерить величину, а в данной дипломной работе – проблематично выдать идеальный прогноз. Основными методами оценки точности измерений скользящими средними являются абсолютная погрешность, относительная погрешность, а также и среднее квадратическое отклонение [5].
Пусть
– истинное значение временного ряда (исходной функции),
– измеренное значение. Однако в случае дипломного проектирования примем за
прогнозируемое значение и будем полагать
уже известной величиной для вычисления точности прогноза скользящими средними.
Абсолютная погрешность – это абсолютной оценка ошибки измерения, вычисляемая по следующей формуле:
– это значение абсолютной погрешности.
Относительная погрешность – это погрешность измерения, характеризующаяся относительным отклонением измеренной (прогнозируемой) величины
от истинной
:
|
| (1.12) |
– значение абсолютной погрешности;
– значение относительной погрешности.
Относительная погрешность чаще выражается в процентном измерении:
|
| (1.13) |
Использование среднего квадратического отклонения широко практикуется в теории вероятностей. Однако наряду с вышеперечисленными видами оценки ошибок измерения среднее квадратическое отклонение также используется для измерения точности прогноза, формируемого скользящей средней:
|
| (1.14) |
– значение среднего квадратического отклонения;
– длина периода скользящей средней;
– величина скользящей средней с периодом
.;
– значение временного ряда в точке
.
В данной дипломной работе ошибка прогноза будет вычисляться относительной погрешностью. Сам же прогноз будет производиться простой скользящей средней, однако с выбором нескольких периодов. Вычисление относительной погрешности будет производиться и в отношении интерполяционной формулы Ньютона. Таким образом, будет произведено сравнение точности прогноза данных математических методов.
1.2 Математическая модель интерполяционной формулы Ньютона
1.2.1 Определение первой интерполяционной формулы Ньютона
Пусть временной ряд представлен равноотстоящими точками
с шагом
,
. В узле
будем считать значение временного ряда равным
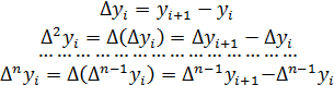
. Введём понятие конечных разностей для
:
|
| (1.15) |
Требуется подобрать такой полином
степени
, удовлетворяющий [6] условию (1.16):
Коэффициенты
вычисляются подстановкой в условие (1.2.1.3) значений многочлена в узлах, то есть
,
,
и так далее.
Очевидно в (1.2.1.3)
. Подставив в выражение (1.16)
вместо
нетрудно понять, что
. Теперь подставим в (1.17)
вместо
:
Подставив в (1.2.1.2)
, получится следующее выражение:
Известно, что
, поэтому, исходя из (1.19), вычисляем
:
Аналогично находится значение
:
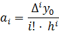
Таким образом, коэффициент
вычисляется по формуле (1.22):
| | (1.22) |
Подставив в (1.2.1.3) соответствующие коэффициенты
, выражение преобразуется в первую интерполяционную формулу Ньютона:
Более удобную форму интерполяционная формула Ньютона приобретает, если внедрить в неё новую переменную
:
|
| (1.24) |
1.2.2 Частные случаи интерполяционной формулы Ньютона
К частным случаям первой интерполяционной формулы Ньютона относится формула линейного интерполирования:
Также широкое распространение получила формула параболического (квадратического) интерполирования:
|
| (1.26) |
Однако для вышеперечисленных формул (1.25) и (1.26) присущ один существенный недостаток: чувствительность к резким изменениям значений временного ряда. Это характерно и для рынка недвижимости. Так, например, рецессия рубля в ноябре 2014 года вызвал неконтролируемый рост цен на недвижимое имущество [7]. В следующем разделе продемонстрируется анализ статистических данных цен на недвижимостиь в г. Хабаровске, а также прогноз развития рынка скользящей средней и интерполяционной формулой Ньютона с более надёжными параметрами математических моделей.
2 Анализ и прогноз развития рынка недвижимости в г. Хабаровске
2.1 Структура формирования статистических данных
Анализ рынка жилья в г. Хабаровске проводился по семи критериям:
-
вид недвижимости по новостроенности;
-
количество комнат;
-
район расположения;
-
этажность;
-
планировка;
-
состояние недвижимости;
-
наличие балкона.
Данные критерии позволяют дать адекватную оценку не только при анализе рынка жилья, но и при формировании прогноза.
В таблице 2.1 рассмотрены наиболее востребованные характеристики критериев, которые позволяют характеризовать состояние рынка недвижимости и обеспечить полноту собранной информации.
Таблица 2.1 - Наиболее распространенные показатели визуального искажения, основанные на анализе пиксельной структуры контейнера
| Критерии | Характеристики критерия | |
| Вид недвижимости по новостроенности | Новостройка НЕ новостройка | |
| Количество комнат | Двухкомнатные Трёхкомнатные | |
| Район расположения | Железнодорожный Индустриальный Кировский Краснофлотский Центральный | |
| Этажность | У новостроек | С 1 по 5 |
| С 6 и выше | ||
| У НЕ новостроек | 1 | |
| Со 2 по 5 | ||
| С 6 и выше | ||
| Планировка | У новостроек | Элитная планировка |
| У НЕ новостроек | Хрущёвка | |
| Новая планировка (здания, построенные с конца 90-х годов до 2013 г.) | ||
| Состояние недвижимости | У новостроек | После строительства |
| У НЕ новостроек | Хорошее | |
| Был произведён евроремонт | ||
| Наличие балкона | Балкон имеется | Балкон отсутствует |
Данные были собраны и отсортированы по каждому месяцу из архива журнала «Вся недвижимость Хабаровска» [8], в котором собрана база данных всех сделок по купле-продаже недвижимого имущества по всему городу. В приложении А приводится как структура собранных данных, состоящая из 120 критериев, так и статистические данные стоимости квадратного метра жилья той или иной недвижимости июня 2014 г. по июнь 2015 г.
2.2 Формирование параметров математических моделей и сравнение их эффективности
Для сравнения эффективности математических моделей прогнозирования выполним прогноз на июнь 2015 г. простыми скользящими средними периодами 6 и 9, а также параллельно выполним прогноз интерполяционной формулой Ньютона. Для этого в формуле (1.24) учитываем шаг интерполяции
равный 1. Прогноз выполним многочленом 11 степени (в этом случае разность 11-го порядка будет учитывать 12 значений исходной функции; условно говоря, интерполяция учитывает 12 последних месяцев). Поскольку интерполяция выполняется по 12 месяцам, то вместо
подставляем 13. Таким образом, произойдёт экстраполирование на месяц вперёд. Программная реализация экстраполирования методом Ньютона на июнь 2015 г. приведена в приложении Б.















