952гр-Королев И. А (1222237), страница 2
Текст из файла (страница 2)
3.4.3 Метод разбивки по компонентам 58
3.4.4 Доходный подход оценки недвижимости 59
4 Анализ особенностей работы за персональным компьютером с точки зрения охраны труда 60
4.2 Последствия воздействия на пользователя персонального компьютера вредных производственных факторов 61
4.3 Основы защиты пользователя от вредных производственных факторов при работе за персональным компьютером 63
4.4 Мероприятия, предупреждающие переутомление во время регламентированных перерывов 65
ЗАКЛЮЧЕИЕ 68
СПИСОК ИСПОЛЬЗОВАННЫХ ИСТОЧНИКОВ 69
ПРИЛОЖЕНИЕ А 71
Статистические данные продажи недвижимости г. Хабаровска на июнь 2014 г. по июнь 2015 г., их структура 71
Код программы Visual Basic для экстраполирования методом первой интерполяционной формулой Ньютона на июнь 2015 г. 87
Комплексы упражнений для глаз 89
ВВЕДЕНИЕ
Рынок недвижимости является неотъемлемой частью финансового рынка. Это принципиально новая для российской экономики структура, берущая свои истоки с конца 90-х годов.
Строительство нового жилья является приоритетной программой национальной экономики России. Этот факт подтверждает выступление Президента Российской Федерации Владимира Владимировича Путина в рамках «Прямой линии» 16 апреля 2015 г., на котом глава государства сообщил о рекордных темпах строительства жилья за последние 20 лет. Этот рекорд составил 72,8 миллионов м.2 за 2014 год [1], что позволяет решать многие государственные задачи. К ним относится программа «Доступное жильё» для молодых семей, а также создание фонда жилья для переселения граждан из ветхих и аварийных домов. Исходя из этого, тема недвижимости является ключевой в российской экономике.
Целью дипломной работы является исследование и прогнозирование стоимости квадратного метра жилья в конкретном региональном центре – городе Хабаровске, применяя методы математического моделирования. Актуальность данной работы состоит в вопросе: «Как будет изменяться цена за квадратный метр недвижимости, в довольно непростой для России ситуации – Финансово-экономическом кризисе, начавшимся в 2014 году».
По экспертным оценкам спрос на недвижимость в условиях кризиса формируется следующим образом: при падении рубля более, чем на 30%, происходит его девальвация [2]. Это заставляет население перекладывать рублёвые сбережения в квадратные метры, провоцируя рост жилья. Однако спрос на недвижимость не может постоянно расти, и в дальнейшем стоимость жилья корректируется снижением.
Более адекватную оценку цены за квадратный метр недвижимости, а также её дальнейшее развитие, позволяют произвести методы математического моделирования.
В данной дипломной работе проводится исследование рынка недвижимости при помощи скользящих средних с различными временными периодами и интерполяционной формулы Ньютона, которая позволяет вычислять значение функции за пределами взятого отрезка, на котором значение функции известно. Такой процесс называется экстраполяцией.
Определяющая роль в результате прогноза цен на недвижимость отражается в формировании спроса на жильё и, в конечном счёте, в доходах платёжеспособного населения.
Для достижения цели дипломной работы были поставлены следующие задачи:
-
изучить математические методы моделирования экономических процессов при анализе временных рядов;
-
сформировать структуру сбора статистической информации о продажах жилья в г. Хабаровске, которая удовлетворяет полнотой для наиболее точного прогноза, а также категории недвижимости (количество комнат, этаж, район расположения, наличие балкона и т. п.), пользующиеся наибольшим спросом;
-
применить математические методы со своевременно собранной статистической информацией при формировании точного прогноза на конец летнего сезона 2015 г.;
-
сравнить полученные результаты для выявления наилучшего математического метода моделирования и формирования оптимального прогноза.
Для решения поставленных задач в работе применяется табличный процессор Microsoft Excel, с интегрированным аппаратом программирования – языком Visual Basic for Applications.
Объектом исследования дипломной работы является рынок регионального развития жилья.
Предметом исследования служит математическое обоснование формирования цен на недвижимость.
Теоретическая значимость исследования состоит в оценке развития недвижимости, а также и в анализе статистических результатов развития рынка недвижимости в г. Хабаровске за 2014 – 2015 гг.
Практическая значимость результатов исследования заключается в выявлении как наиболее эффективного математического метода моделирования цен на недвижимость в г. Хабаровске, так и приоритетного направления рынка жилья на конец летнего сезона 2015 г.
1 Математические методы прогнозирования временных рядов
1.1 Модель скользящей средней
Метод скользящих средних – это метод прогнозирования на краткосрочный период, основанный на процедуре сглаживания изучаемых временных рядов [3]. Такая модель базируется на предположении, что при определении средних значений случайные отклонения погашаются. При сглаживании этим методом фактические значения временных рядов замещаются средними арифметическими значениями, характеризующие срединную точку периода скольжения. Данный метод относится к одномерным методам экстраполяции.
Главным преимуществом скользящих средних является устранение резких ценовых колебаний и установление на рынке направления тренда. Данная модель хорошо зарекомендовала себя в финансово-валютном рынке и даже используется в качестве самостоятельного индикатора для генерации сигналов на покупку или продажу валютных пар.
Однако существенным недостатком модели скользящей средней служит определённое запаздывание, характерное для сглаживания цены. Такая задержка называется лагом. Оно возникает в результате того, что при добавлении нового значения цены, его вес будет незначительным, по сравнению со старыми. Соответственно, чем больше будет интервал сглаживания, тем больше будет период запаздывания. Хотя в то же время увеличение интервала сглаживания позволяет устранить возникновение ложных сигналов, но при этом возникающие сигналы будут приходить с большим запаздыванием.
Уменьшение интервала сглаживания приводит соответственно к увеличению количества сигналов, но уменьшению возникающих лагов.
1.1.1 Общая модель скользящей средней
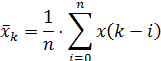
Простая и обобщённая модель скользящей средней имеет вид (1.1)
|
| (1.1) |
– значение временного ряда в
-ой точке;
– порядковый номер скользящей средней;
– значение скользящей средней;
Применение скользящих средних в прогнозировании временных рядов настолько обширно, что существует богатое разнообразие скользящих средних, характерных для конкретного вида сглаживания [4].
1.1.2 Виды моделей скользящего среднего
Простая (арифметическая) скользящая средняя – математическая модель, функция которой численно равна среднему арифметическому значению за установленный период:
|
| (1.2) |
– значение временного ряда в
-ой точке;
– порядковый номер скользящей средней;
– значение простого скользящего среднего в точке
.
Для того, чтобы избежать регулярного суммирования значений временных рядов, используется рекуррентная формула (1.3):
|
| (1.3) |
Модель простого скользящее среднего имеет один недостаток: при возникновении нелинейной тенденции внутри интервала сглаживания более поздние данные становятся весомее предыдущих.
Решить такой недостаток позволяет внедрение в такую математическую модель весовых коэффициентов, как, например, во взвешенных скользящих средних.
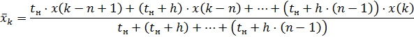
Модель линейно взвешенной скользящей средней – это математическая модель скользящего среднего, у которой имеются коэффициенты функции, равные, начиная с меньшего, соответствующему члену заданной арифметической прогрессии. Такие коэффициенты называются весом члена исходной функции или весовым коэффициент. Взвешенное скользящее среднее вычисляется по формуле (1.1.2.2.1):
|
| |
(1.4)
– значение взвешенного скользящего среднего в точке
;
– весовой коэффициент первого члена (начальное значение арифметической прогрессии);
– значение временного ряда в точке
;
– шаг арифметической прогрессии.
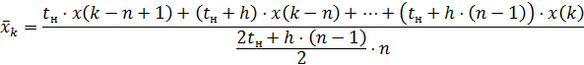
С учётом вычисленной суммы арифметической прогрессии в знаменателе взвешенного скользящего среднего формула (1.4) преобразуется в следующий вид:
(1.5)
Модель экспоненциального скользящего среднего – это разновидность скользящего среднего, у которого весовые коэффициенты уменьшаются экспоненциально по степени удалённости торгового периода. Экспоненциальное скользящее среднее вычисляется по формуле (1.6):
– значение экспоненциального скользящего среднего в точке
;
– значение экспоненциального скользящего среднего в предыдущей точке
;
– значение временного ряда в точке
;
– сглаживающая константа, характеризующая скорость уменьшения весовых коэффициентов (весов) и принимающая значение от 0 до 1.















