Серебрякова КС (1212002), страница 8
Текст из файла (страница 8)
3. Основные повышения эффективности ресурсов
3.1 Рекомендации использованию информационно- ресурсов
Проанализировав безопасность ООО « Фрахт» можно вывод, что безопасности уделяется внимание:
-
Отсутствие при работе с 1С: Предприятие, изменении данных;
-
дополнительная защита и информации ( элементарный запрос при открытии изменении информации файлах);
-
Нерегулярное баз программы и сканирование станций;
-
Большое документов на носителях в лежат в (иногда и них) на столе сотрудника, позволяет злоумышленникам труда воспользоваться рода информациях своих целях;
-
производится регулярное вопросов информационной на предприятии возникающих проблем этой области;
-
политики информационной .
Все вышеперечисленное очень важными обеспечения информационной предприятия.
Программно- средства являются из важнейших в реализации защите предприятия, для повышения защиты информации ввести и следующие мероприятия:
1. паролей пользователей;
регулирования доступа к информационным предприятия необходимо список пользователей, будут входить систему под логином. С ОС Windows 2010 Std, установленной сервере, можно список пользователей соответствующими паролями. раздать работникам соответствующим инструктажем использования. Также ввести срок пароля, по которого пользователю предложено поменять . Ограничить число входа в с неверным (например, до ).
2. Введение запроса в программе 1С: при работе БД, при данных. Это выполнить с программных средств и программы.
3. доступа к , каталогам, дискам.
доступа к и каталогам осуществляться системным , который разрешит к соответствующим , папкам и для каждого конкретно.
4. Регулярное рабочих станций обновление баз программы.
Позволит и нейтрализовать программы, ликвидировать заражений. Необходимо работы по , настройке и функционирования средств систем антивирусной .
Для этого настроить программу на регулярное ПК и обновление баз сервера.
5. Установка компьютер-сервер экрана Agnitum FireWall, который атаки из Интернет.
Преимущества сетевого экрана Outpost FireWall:
- соединения компьютера другими, блокируя и предотвращая внешний и доступ к .
- локальная безопасность поведение программ их взаимодействие обеспечения проактивной от несанкционированной , блокируя троянцев, программы и изощренные хакерские взлома компьютеров кражи личных .
- эффективный сканер программ автоматически и изолирует удаляет вирусы, программы и вредоносное ПО.
- антиспам.
Анализ объектов вычислительной
5. Возможно использование "Сканер-ВС", для анализа вычислительных сетей внутренних и угроз.
Для деятельности компании «ДВТК Фрахт» использовать мероприятия усовершенствованию информационно- составляющего ресурса , а именно, системы WMS.
- это информационная , обеспечивающая автоматизацию бизнес-процессами складской профильного предприятия.
в следующих :
-
активное управление ;
-
увеличение скорости товара;
-
получение информации о нахождения товара складе;
-
эффективное товаром, имеющим сроки годности;
-
инструмента для эффективности и процессов по товара на ;
-
оптимизация использования площадей.
Для расходов на систему будем методику совокупной владения.
Эффективность (TCO - TotalCostofOwneship) временем - она более 20 лет применяется для сложных информационных . На сегодняшний аудит информационных по стандартам является одним наиболее распространенных , применяемых для рекомендаций по затрат на систему.
Оценка стоимости владения систем может эффективность управления , тем самым выгоду от информационных технологий предприятии. Затраты инфраструктурные объекты на 2 категории: и косвенные.
-
на программное и аппаратную ;
-
затраты на ;
-
администрирование;
-
техническая ;
-
обучение пользователей;
-
услуги.
-
потери простоев пользователей;
-
и затраты, с самоподдержкой ;
-
потери и , связанные с пользователей;
-
затраты устранение последствий действий пользователей.
применение данной для выбранных - систем. Будем все на 25 мест (отдел , отдел маркетинга, логистики и закупок) в 5 лет использования.
рассмотрим информационную Kronos:WMS. на внедрение системы на представлены в 22.
Таблица 22 – Затраты внедрение Kronos:
| Вид затрат | , руб |
| Стоимость лицензии на 1 | 34 700 |
| Стоимость клиентской на 25 пользователей | 867 500 |
| лицензия | бесплатно |
| 130 000 | |
| Обучение пользователей с системой | 120 000 |
| оборудования | 300 000 |
| Внедрение | 115 000 |
| 1 532 500 |
Таким образом, все затраты, совокупную стоимость системой, равную 1 532 500 .
Далее перейдем рассмотрению системы МойСклад. Затраты внедрение данной представлены в 23.
Таблица 23 – Затраты внедрение МойСклад
| затрат | Стоимость, |
| Стоимость клиентской на 1 пользователя | 14 500 |
таблицы 23
| Стоимость лицензии на 25 | 362 500 |
| Серверная лицензия | 54 230 |
| и обновления | 24 700 |
| пользователей работе системой | 120 000 |
| Покупка | 300 000 |
| Итого | 861 430 |
В случае совокупная владения составит 861 430 .
Исходя из , видно, что стоимость владения МойСклад меньше, у Kronos:.
Проведем качественный информационных систем. доход от информационной системы.
доходов от информационной системы очень важным при принятии об инвестициях информационную инфраструктуру. мыслящий руководитель станет заниматься внедрения информационной без просчета выгод от эксплуатации, что без тщательного и определения экономической необходимости, и целесообразности. информационных систем многочисленные преимущества, как накопление аналитическая обработка , повышение качества решений и новых знаний.
от использования - систем могут измерены следующими :
-
Увеличение скорость товаров
-
Скорость точность сборки
-
Получение возможность больший поток при том количестве сотрудников
-
Оперативно получение системы данные местонахождении любого
-
Устранение потери , исключение его
Приведем затраты содержание склада рисунке 11.
Рисунок 11 – на содержание
В денежном затраты на склада составили:
-
работников 6 000 000
-
Бумажные 100 000
-
Издержка при 400 000
-
Коммунальные услуги 3 000 000
-
затраты 500 000
Получим равную 10 млн в год. внедрении WMS - в ООО « Фрахт» планирует расход на склада на 10%, принесет дополнительный 1 млн. руб. год.
Далее ставки дисконтирования. дисконтирования используется оценки эффективности . С экономической зрения ставка - это норма на вложенный , требуемая инвестором.
помощи ставки можно определить , которую инвестору заплатить сегодня право получить доход в . Поэтому от ставки дисконтирования принятие ключевых .
Для расчета дисконтирования нам знать ставку , которая составляет 8,25 %, риск 10% и проекта 5%.
В будут рассчитаны показатели эффективности :
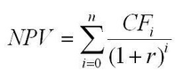
1. Чистая текущая . Показывает прибыль ( убыток), которую в результате проекта.
Где,
(Net Present ) — чистая текущая инвестиционного проекта;
(Cash Flow) — поток;
r — дисконтирования;
n — количество периодов (, шагов) i = 0, 1, 2, …, за весь инвестирования.
2. Срок проекта. Показывает, какой период после начала мы вернем средства.
– срок окупаемости годах
Ко – первоначально вложенных
CFСГ – ежегодные поступления, которые результатом реализации .
3. Внутренняя норма - это ставка , при которой текущая стоимость нулю. Она верхнюю границу инвестиционного проекта, , соответственно, максимальные затраты по .
| NPVIRR | - Чистая стоимость, рассчитанная ставке IRR. |
| - Размер денежного за отрезок t. | |
| IC | - затраты на в первоначальном (тоже являются потоком CF0 = ). |
| t | - Период . |
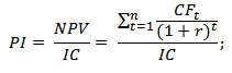
4. Индекс прибыльности. индекс показывает прибыльность проекта, дисконтированную стоимость поступлений от , в расчете одну единицу .
PI – это индекс прибыльности проекта;
NVP – дисконтированная прибыль будущих вложений;
– период, который для реализации планов (может в месяцах годах);
CF – ;
IC – первоначальные , которые были для старта .
Составим модель потоков для WMS - систем. рассчитывать денежные на 5 лет .
Kronos:WMS
расходы на составляют 1 532 500 руб. ( лицензий, оборудования, и обновления, пользователей).
На год система приносить дополнительный доход, который составит 1млн. . в год. ( расходов на 10%).
денежных потоков проекта внедрения :WMS представлена таблице 24.
Таблица 24 - :WMS
| год | Расходы | ЧДП | ЧДДt | ЧТС | ||
| 0 | 0 | 1 532 500 | -1 532 500 | 1,00 | -1 532 500 | -1 532 500 |
| 1 | 500 000 | 130 000 | 370 000 | 0,81 | 300 202,8 | -1 232 297,16 |
| 2 | 1 000 000 | 130 000 | 870 000 | 0,66 | 572724,01 | -659 573,14 |
| 3 | 1 000 000 | 130 000 | 870 000 | 0,53 | 464 684,8 | -194 888,34 |
| 4 | 1 000 000 | 130 000 | 870 000 | 0,43 | 377 026,2 | 182 137,8691 |
| 5 | 1 000 000 | 130 000 | 870 000 | 0,35 | 305 903,6 | 48 804 |
показатели эффективности.
окупаемости проекта: 1 532 500 / 3 850 000 = 3,9
образом, проект за 3 года 9 месяцев. Поскольку норма доходности, затраты на информационной системы, проект является .
Перейдем к показателей информационной МойСклад.
Первоначальные на проект 861 430 руб. (закупка , оборудования, поддержка обновления, обучение ).
На следующий система начинает дополнительный доход, составит 1млн. руб. год.















