Bychenko YAroslav Romanovich 2016 (1193700), страница 3
Текст из файла (страница 3)
Рисунок 1.1 - Линии влияния прогибов h(х) и моментов m(х) от действия колесной нагрузки Р2.
Максимальное напряжение в элементах верхнего строения пути определяются по формулам:
- в подошве рельса от его изгиба под действием момента М:
, МПа (1.22)
- в кромке подошвы рельса:
, МПа (1.23)
- в кромке головки рельса:
, МПа (1.24)
- в шпале на смятие под подкладкой (при деревянной шпале) и в прокладке при железобетонной шпале:
, МПа (1.25)
- в балласте под шпалой:
, МПа (1.26)
где W - момент сопротивления рельса относительно его подошвы, см3 ([1], прил. 1, таблица 5);
- коэффициент перехода от осевых напряжений в подошве рельса к кромочным, учитывающий действие горизонтальных нагрузок на рельс и эксцентриситет приложения вертикальной нагрузки; ω - площадь рельсовой подкладки, см2 ([1], прил. 1, таблица 7); Ωα - площадь полушпалы с учетом поправки на ее изгиб, см2 ; zг и zn – расстояния от горизонтальной нейтральной оси до крайних волокон соответственно головки и подошвы с учетом износа, см; bг и bn – ширина соответственно головки и подошвы рельса, см.
Расчетная формула для определения нормальных напряжений σh в балласте (в том числе и на основной площадке земляного полотна) на глубине h от подошвы шпалы по расчетной вертикали имеет вид:
, МПа (1.27)
где σh1 и σh3 - напряжения от воздействия соответственно 1-ой и 3-ей шпал, лежащих по обе стороны от расчетной шпалы; σh2 - напряжения от воздействия 2-ой шпалы (расчетной) в сечении пути под расчетным колесом.
Нормальные вертикальные напряжения под расчетной шпалой определяются на основе решения плоской задачи теории упругости при рассмотрении шпального основания как однородной изотропной среды по формуле
, МПа (1.28)
, (1.29)
, (1.30)
где σбр - напряжения под расчетной шпалой на балласте, осредненное по ширине шпалы, МПа; b - ширина нижней постели шпалы, для ж/б шпал b=27,5 см; h - глубина балластного слоя от подошвы шпалы, h=60 см; m - переходный коэффициент от осредненного по ширине шпалы давления на балласт к давлению под осью шпалы, при m<1 принимается m=1;
(1.31)
где σБ1 и σБ3 - среднее значение напряжений по подошве соседних с расчетной шпал, МПа; А - коэффициент, учитывающий расстояние между шпалами b и глубину, ширину шпалы h (см. ). рисунок 1.2
Рисунок 1.2 - Схема передачи давления на земляное полотно от трех смежных шпал
, (1.32)
Углы
и
(в радианах) между вертикальной осью и направлениями от кромки шпалы до расчетной точки (рисунок 1.2) определяются по формулам
(1.33)
Приведенные выше формулы применимы при h > 15 см.
Напряжения в балласте под соседними с расчетной шпалами определяются из условия максимальной динамической нагрузки расчетного колеса, расположенного над расчетной шпалой, и средних нагрузок от остальных колес.
, МПа (1.34)
,Н (1.35)
, МПа (1.36)
,Н (1.37)
Расчет:
При сравнении полученных результатов с допускаемыми оценочными критериями прочности определили, что полученные результаты не превышают максимально допустимых норм.
Из этого следует, что конструкция пути соответствует всем нормам прочности пути и не требует каких либо изменений.
1.3 Выполнение многовариантных расчетов пути на прочность с помощью ЭВМ
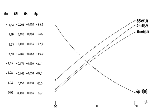
По результатам расчетов на ЭВМ строим графики зависимости напряжений в элементах верхнего строения пути от модуля упругости при Рст=24 т/ось, V=80 км/ч и зависимости напряжений в элементах верхнего строения пути от статической нагрузки при U=100 кг/см2, V=80 км/ч (рисунок 1.3, рисунок 1.4).
Рисунок 1.3 – График зависимости напряжений в элементах верхнего строения пути от модуля упругости
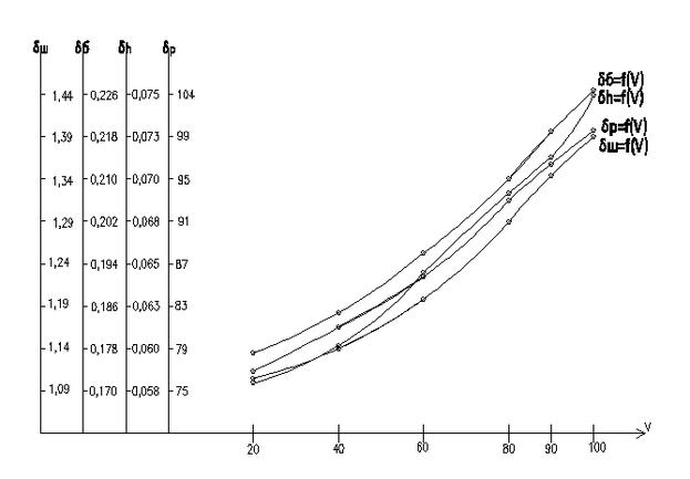
Рисунок 1.4 – График зависимости напряжений в элементах верхнего строения пути от скорости
Во всем диапазоне осевых нагрузок напряжения не превышают допускаемых, поэтому возможно применение рельсов типа Р65 на данном участке. Напряжения на шпале под подкладкой изменяется по линейному закону. Наибольшие напряжения 18 кг/см2, что выше допускаемых при грузонапряженности. Для снижения напряжений рекомендуется применять упругие прослойки под подошвой шпалы. Для оценки влияния модуля упругости подрельсового основания необходимо выполнить отдельные расчеты.
Рисунок 1.5 – График зависимости напряжений в элементах верхнего строения пути от статической нагрузки
Напряжения на балласте под шпалой и в уровне основной площадки также изменяются по линейному закону, наибольшие значения 3 кг/см2, что ниже допускаемого. Для снижения уровня величин напряжений рекомендуется укреплять основную площадку земляного полотна прослойками из мелкозернистого песка.
Для того чтобы выяснить, влияние модуля упругости на значение напряжения в элементах верхнего строения пути выполнены расчеты при значениях модуля 50, 100 и 150 кг/см2. Эти расчеты позволяют учесть повышение модуля при замерзании зимой и снижения его в результате применения различных конструкций. Все построенные зависимости имеют не линейный характер. Увеличение модуля ведет к снижению напряжений в кромке подошвы рельса.
Напряжения в остальных элементах растут по зависимости близкой к параболе. Напряжения на шпале меньше допускаемых при модуле 150 кг/см2. Напряжения на балласте не превышает допускаемых при модуле 150 кг/см2. Напряжения на основной площадке меньше допускаемых.
2. РАСЧЕТ УСЛОВИЙ УКЛАДКИ И ЭКСПЛУАТАЦИИ БЕССТЫКОВОГО ПУТИ
2.1 Расчет бесстыкового пути на прочность и устойчивость
Основное отличие в работе бесстыкового пути от обычного звеньевого состоит в том, что в рельсовых плетях бесстыкового пути, кроме изгибных и других напряжений от воздействия колес подвижного состава, испытывают значительные температурные напряжения – сжимающие летом и растягивающие зимой.
Расчет прочности бесстыковой рельсовой плети основан на условии, что наибольшие напряжения от воздействия на путь подвижного состава и изменений температуры рельсов не превысят допустимые значения
летом
, (2.1)
зимой
, (2.2)
где Кп - коэффициент запаса прочности (1,3);
- максимальные вероятные кромочные напряжения от колес подвижного состава соответственно в головке при летних условия эксплуатации и в подошве – при зимних, МПа;
- температурные напряжения в поперечном сечении рельса от действия температурных сил, возникающих соответственно при повышении и понижении температуры рельсовой плети относительно нейтральной температуры t0, МПа;
[]- допускаемое напряжение в рельсах (400), МПа.
Так как температурные напряжения зависят от температуры закрепления, то основной задачей расчета бесстыкового пути является определение расчетного интервала температур закрепления плетей, исключающего возникновение напряжений, превосходящих допускаемые и обеспечивающего устойчивость пути. Кроме этого рассчитывается режим работы бесстыкового пути в заданной климатической зоне, то есть определяется, если в этом есть необходимость, допускаемые скорости движения поездов в период действия низких температур рельсов.
Конструкция верхнего строения пути и экипажной части подвижного состава должны находиться в исправном состоянии, соответствующем требованиям "Правил технической эксплуатации железных дорог Российской Федерации" и действующим техническим нормам.
Всё многообразие сил, действующих на путь, делят на:
-
вертикальные силы;
-
горизонтальные: поперечные (боковые) силы;
продольные силы.
Расчет пути на прочность выполняется с целью определения величины понижения температуры рельсов относительно температуры закрепления [∆tр] исходя из условия обеспечения прочности подошвы рельсов в зимний период эксплуатации при разных значениях модуля упругости подрельсового основания для кривой минимального радиуса на расчётном перегоне Аван – Котиково.
Расчет выполнен с использованием ЭВМ (программа SYGMA) .
По формуле (4.2) находим допускаемые напряжение в рельсе, возникающее при изменении его температуры относительно температуры закрепления
. (2.3)
Допускаемые напряжение в рельсе, возникающее при изменении его температуры относительно температуры закрепления также можно определить по формуле
, (2.4)
где tпп – допускаемое изменение температуры рельса по прочности подошвы в сторону понижения, 0С.
. (2.5)
Таблица 2.1 – Кромочные напряжения по условию прочности рельсов при модуле упругости 100 МПа
| Минимальный радиус кривой, м | кзим при V, км/ч | |
| 80 | 100 | |
| 534 | 105,20 | 109,60 |
Таблица 2.2 – Кромочные напряжения по условию прочности рельсов при модуле упругости 150 МПа
| Минимальный радиус кривой, м | кзим при V, км/ч | |
| 80 | 100 | |
| 534 | 98,09 | 102,70 |
Таблица 2.3 – Кромочные напряжения по условию прочности рельсов при модуле упругости 200 МПа
| Минимальный радиус кривой, м | кзим при V, км/ч | |
| 80 | 100 | |
| 534 | 93,39 | 98,15 |















