Белов- БЖД (1183106), страница 44
Текст из файла (страница 44)
* А, В, С – атмосфера соответственно сильно, умеренно, слегка неустойчива, D – нейтральная, Е, F–слегка и умеренно устойчивая
** Сильная инсоляция соответствует высоте Солнца φ≥60° над горизонтом при ясном небе, слабая инсоляция, если 15° φ < 35°.
*** Облачность определяется как часть неба над местным видимым горизонтом, покрытая облаками
**** Нейтральная категория D соответствует также случаю сплошной облачности днем
О
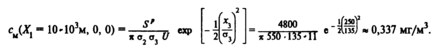
пределить максимальную концентрацию на расстоянии 10 км от городского стационарного источника производительностью 4800 г/с, если эффективная высота выброса 250 м, скорость ветра 3 м/с на высоте 10 м, погодные условия –сплошной облачный покров
Рис 4 32 Стандартные отклонения в зависимости от расстояния от источника и категории устойчивости погоды:
а –для поперечного и горизонтального, б–для вертикального распределений концентрации
Выбрав оси, как показано на рис 4 33, воспользуемся формулой (III) табл 4 18 Выброс происходит в точке с координатами х1 =0, х2 = 0, х3 = 250 м Максимальная концентрация см на расстоянии Х1 = 10·103 м достигается на поверхности земли (Xз = 0) по оси струи (Х2 = 0). Для условий города U= 3(250/10)°'4 = 11 м/с. Время r = X1/U = 900 с, что будем считать близким к периоду времени, для которого справедлива формула. Из табл. 4.19 находим, что сплошной облачный покров соответствует категории D. По рис. 4.32 определяем g^(x\ sss 10-Ю3 м)« 550 м, огз(Л'1 = 1(Н03 м) = 135 м. ОткудаД
ля представления результатов АПЧ можно использовать как форму табл. 4.20.
Рис 4 33 Выбранная система координат
Таблица 4.20. Вариант представления результатов анализа последствий чепс
5. СРЕДСТВА СНИЖЕНИЯ ТРАВМООПАСНОСТИ
ТЕХНИЧЕСКИХ СИСТЕМ
5.1. ВЗРЫВОЗАЩИТА ТЕХНОЛОГИЧЕСКОГО ОБОРУДОВАНИЯ
Ни одно производство не обходится без использования систем повышенного давления (трубопроводов, баллонов и емкостей для хранения или перевозки сжатых, сжиженных и растворенных газов, газгольдеров и т. д.). Любые системы повышенного давления всегда представляют потенциальную опасность.
Причинами разрушения или разгерметизации систем повышенного давления могут быть: внешние механические воздействия, старение систем (снижение механической прочности); нарушение технологического режима; конструкторские ошибки; изменение состояния герметизируемой среды; неисправности в контрольно-измерительных, регулирующих и предохранительных устройствах; ошибки обслуживающего персонала и т. д.
Взрывозащита систем повышенного давления достигается организационно-техническими мероприятиями; разработкой инструктивных материалов, регламентов, норм и правил ведения технологических процессов; организацией обучения и инструктажа обслуживающего персонала; осуществлением контроля и надзора за соблюдением норм технологического режима, правил и норм техники безопасности, пожарной безопасности и т. п. Кроме того, оборудование повышенного давления должно быть оснащено системами взрывозащиты, которые предполагают:
–
применение гидрозатворов, огнепреградителей, инертных газов или паровых завес;
– защиту аппаратов от разрушения при взрыве с помощью устройств аварийного сброса давления (предохранительные мембраны и клапаны, быстродействующие задвижки, обратные клапаны и т. д.).
Рассмотрим средства обеспечения безопасности основных элементов систем повышенного давления.
Чтобы внешний вид трубопровода указывал на свойства транспортируемого вещества, введена их опознавательная окраска (ГОСТ 14202–69):
Рис 5.2. Гидрозатвор открытого типа:
а – нормальная работа, б – при воспламенении, 1 – корпус, 2–воронка, 3–вентиль. 4–газоподводящая трубка, 5–предохранительная трубка, 6– ниппель, 7–контрольный кран, 8–рассекатель
| Вода . . ....... | зеленый | Кислоты ......... | оранжевый |
| Пар . ...... | красный | Щелочи ......... | фиолетовый |
| Воздух ......... | синий | Горючие и негорючие | коричневый |
| Горючие и негорючие газы | желтый | Прочие вещества ..... | серый |
Для выделения вида опасностей на трубопроводы наносят предупреждающие (сигнальные) цветные кольца, количество которых определяет степень опасности. Так, на трубопроводы взрывоопасных, огнеопасных, легковоспламеняющихся веществ наносят красные кольца, безопасных или нейтральных веществ –зеленые, токсичных веществ –желтые. Для обозначения глубокого вакуума, высокого давления, наличия радиации используют также желтый цвет.
Все трубопроводы подвергают гидравлическим испытаниям при пробном давлении на 25 % выше рабочего, но не менее 0,2 МПа.
Кроме испытаний водой на прочность газопроводы, а также трубопроводы для токсичных газов испытывают на герметичность воздухом при пробном давлении, равном рабочему. Отсутствие утечки воздуха из соединений проверяют мыльным раствором или погружением узлов в ванну с водой.
Газопроводы прокладывают с небольшим уклоном в сторону движения газа, а буферную емкость снабжают в нижней части спускной трубой с краном для систематического удаления водяного конденсата и масла. Паропроводы снабжают конденсатоотводчиками, которые позволяют предотвратить возникновение гидравлических ударов и пробок. Во избежание возникновения напряжений от тепловых деформаций, особенно в наземных газопроводах, устраивают специальные компенсаторы в виде П-образного участка.
Трубопроводы со сжиженными газами прокладывают на расстоянии не менее 0,5 м от трубопроводов с горячим рабочим телом, при этом последние изолируют, а трубопроводы с легко замерзающими газами монтируют рядом с паропроводами и трубопроводами горячей воды. Для предотвращения ожогов кислотами и щелочами фланцевые соединения трубопроводов закрывают защитными кожухами. Трубопроводы для транспортирования жидкого и газообразного кислорода периодически, а также после каждого ремонта обезжиривают. Для обезжиривания используют тетрахлорид углерода, трихлорэтилен или тетрахлорэтилен.
Т
С
Рис 5.1 Обратный клапан.
1–корпус, 2–золотник.
3–пружина;
4 – крышка
тационарные сосуды, баллоны для хранения и перевозки сжатых, сжиженных и растворенных газов: баллоны (ГОСТ 949–73*) изготовляют малой (0,4...12 л), средней (20...50 л) и большой (80....500 л) вместимости. Баллоны малой и средней вместимости изготовляют из углеродистой стали на рабочее давление 10, 15 и 20 МПа, из легированной стали –на 15 и 20 МПа. У горловины каждого баллона на сферической части выбивают следующие данные: товарный знак предприятия-изготовителя, дату (месяц и год) изготовления (последнего испытания) и год следующего испытания; вид термообработки (нормализация, закалка с отпуском); рабочее и пробное гидравлическое давление (мПа); вместимость баллона, л; массу баллона, кг; клеймо ОТК; обозначение действующего стандарта.Наружная поверхность баллонов окрашивается в определенный цвет, на нее наносится соответствующая надпись и сигнальная полоса. Окраска баллонов для наиболее часто используемых промышленных газов приведена ниже:
| Газ | Окраска баллонов | Надпись | Цвет надписи | Цвет полосы |
| Азот | Черная | Азот | Желтый | Коричневый |
| Аммиак | Желтая | Аммиак | Черная | Тоже |
| Аргон, чистый | Серая | Аргон, чистый | Зеленый | Зеленый |
| Ацетилен | Белая | Ацетилен | Красный | Красный |
| Водород | Темно-зеленая | Водород | .Красный | Красный |
| Воздух | Черная | Сжатый воздух | Белый | Белый |
| Гелий | Коричневая | Гелий | Белый | Белый |
| Кислород | Голубая | Кислород | Черный | Черный |
| Диоксид углерода | Черная | Диоксид углерода | Желтый | Желтый |
Для горючих и негорючих газов, не обозначенных в ПБ10-–115-–96 (Правила устройства и безопасной эксплуатации сосудов, работающих под давлением), предусмотрена следующая гамма цветов:
| Газы | Окраска баллонов | Надпись | Цвет надписи | Цвет полосы |
| Все другие горючие газы | Красная | Наименование газа | Белый | Белый |
| Все другие негорючие газы | Черная | Наименование газа | Желтый | Желтый |
Сигнальная окраска баллонов и цистерн позволяет исключить образование смеси «горючее – окислитель» вследствие заполнения емкостей рабочим телом, для которого они не предназначены.
Для предотвращения проникновения в опорожненный баллон посторонних газов, а также для определения (в необходимых случаях), какой газ находится в баллоне, или герметичности баллона и его арматуры заводы-наполнители принимают опорожненные баллоны с остаточным давлением не менее 0,05 МПа, а баллоны для растворенного ацетилена –не менее 0,05 и не более 0,1 МПа.
Взрыв ацетиленовых баллонов может быть вызван старением пористой массы (активированного угля в ацетоне), в которой растворяется ацетилен. Образование смеси горючее – окислитель в кислородных баллонах чаще всего связано с попаданием в его вентиль масел; в водородных–с загрязнением их кислородом, а также с появлением в них окалины.















