Белов- БЖД (1183106), страница 41
Текст из файла (страница 41)
Процесс создания дерева причин побуждает исследователя к сбору и глубокому анализу информации. По окончании работы исследователь имеет группу факторов и диаграмму развития н-чепе.
Логическая структура дерева причин такова, что при отсутствии хотя бы одного из предшествующих событий н-чепе произойти не может. Это является хорошей основой для того, чтобы сформулировать предупредительные меры с целью: а) исключить повторение н-чепе данного типа; б) избежать более или менее аналогичных н-чепе (чепе, которые имеют с данным чепе общие признаки).
Анализируя дерево причин, можно также заметить, что не все предшествующие события имеют одинаковое значение для предотвращения н-чепе. Поэтому имеет смысл составить еще один (сокращенный) перечень событий, по которому и принимать предупредительные меры.
Таблица 4.15. Использование логических связей в причинно-следственном анализе.
Р
ис. 4.17. Дерево причин аварии тягача:
Х1 – обычно используемый тягач вышел из строя, X2 –другой тягач использовался в работе, Хз – различие в высоте прицепа и нового тягача, х4, – осуществление сцепки затруднено. Xs – водитель встает между тягачом и прицепом, Х6 – не включен ручной тормоз. Х7 – вибрации от работающего двигателя. Х8 –двор имеет уклон, Х9 – тягач движется к прицепу, x10 – водитель зажимается между прицепом и тягачом, N–несчастный случай (травма), (Х8–факт постоянного характера, остальные случайного)
Рассмотрим пример. Во дворе предприятия водитель тягача приступил к сцепке тягача с прицепом. Операция осложнилась из-за различной высоты тягача и прицепа, и водитель спустился вниз, чтобы выяснить причину затруднения, забыв поставить тягач на тормоз. Кроме того, это был не тот тягач, который обычно эксплуатировался с этим прицепом. Когда водитель находился между прицепом и тягачом, тягач с работающим двигателем скатился назад по небольшому уклону и придавил водителя к раме прицепа.
Дерево причин дано на рис. 4.17. Результаты анализа (возможный вариант) представлены в табл. 4.16 в виде причин происшедшего чепе, предупредительных мероприятий и источников опасности, которые спрогнозированы на базе фактов, занесенных в графу причин. Прогнозирование осуществляют в двух дополняющих друг друга направлениях а) ведут поиск источников опасности на данном месте; б) ведут поиск рабочих мест, где данный источник опасности может быть идентифицирован. Таким образом, причинно-следственный анализ происшедшего н-чепе не только позволяет исключить выявленные причины, но и спрогнозировать опасности. Наконец, за исполнением предупредительных мероприятий необходимо проследить. Этому будет способствовать планирование, проведенное, например, по форме табл. 4.17, которая отвечает на вопросы кто? когда? где? сколько? Эффективность всей работы будет также зависеть от информации, которую получит персонал предприятия. Информация должна вызывать положительное отношение персонала к принимаемым мерам.
Таблица 4.16. Вариант представления результатов
причинно-следственного анализа в примере с тягачом
| Причины несчастного случая | Возможные предупредительные мероприятия | Источники опасностей |
| Двор с уклоном Невыключенный тормоз, работающий двигатель Разная высота прицепа и тягача Тягач, вышедший из строя | Реконструкция двора Инструктаж водителя Стандартизация соединений Предупредительный ремонт транспортных средств | Неподходящие места стоянок Недостаточная подготовка работников Техническая несовместимость материалов Поломка оборудования |
4.3. КОЛИЧЕСТВЕННЫЙ АНАЛИЗ ОПАСНОСТЕЙ
Функция опасности для системы ЧМС. При анализе опасностей сложные системы разбивают на множество подсистем. Подсистемой называют часть системы, которую выделяют по определенному признаку, отвечающему конкретным целям и задачам функционирования системы (например, подсистема управления безопасностью труда). В рамках этих задач подсистема может рассматриваться как самостоятельная система. Таким образом, иерархическая структура сложной системы такая, что позволяет ее разбивать на подсистемы различных уровней, причем подсистемы низших уровней входят составными частями в подсистемы высших уровней. Подсистемы, в свою очередь, состоят из компонентов – частей системы, которые рассматриваются без дальнейшего членения, как единое целое.
Рис. 4.18. Схема событий в системе ЧМС
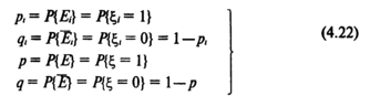
Систему ЧМС, состоящую из компонентов Q1,Q2…Qn (рис. 4.18), будем обозначать в виде вектора системы Q = (Q1,Q2,...Qn). Отклонение компонента Qi от нормального функционирования (отказ, авария) есть чепе Ei.Чепе Ei (i= 1, п) ведут к ненормальному функционированию системы Q, составляющему суть чепе Е. Логический анализ внутренней структуры системы ЧМС и определение вероятности чепе Е как функции отдельных чепе Ei являются одной из задач анализа опасностей. Чтобы определить эту функцию, введем индикаторы чепе ξ и ξi, i = 1, n, которые могут принимать только два значения 1 и 0. Будем полагать, что если чепе VEi, относящееся к компоненту Qi, произошло, то ξi = 1, а если не произошло, то ξi = 0, т. е. произошло чепе Д. Тогда для системы Q наступление чепе Е соответствует ξ = 1, а наступление чепе Е означает ξ= 0. Иначе говоря, имеем вектор индикаторов чепе
и следующие соотношения:
Если чепе Ei наступает с вероятностью pi, то, как следует из соотношений (4.21), с этой же вероятностью индикатор чепе ξi принимает значение 1. Поэтому справедливы следующие зависимости:
Логический анализ (§4.1) функционирования системы ЧМС позволяет записать логическую и индикаторную функции системы:
Применяя правила теории вероятностей, находят вероятность чепе в виде так называемой функции опасности
Таким образом, состояние системы ЧМС описывается: вектором системы Q= (Q1,Q2..., Qn), вектором индикаторов чепе ξ = (ξ1,ξ2,..., ξn), логической функцией системы Е= f[E1, E2, ..., En), индикаторной функцией системы ξ = Fξ(ξ1, ξ2, …ξn), функцией опасности р= Fp(p1, р2, ..., рn).
На практике часто индикатор и событие обозначают одной и той же буквой, так как это делалось в предыдущих параграфах.
Предположим, что анализ опасностей проводится для таких пространственно крупных систем, как цех или завод. Тогда в большинстве случаев выявленные источники опасностей могут рассматриваться как точечные. Их местоположение можно задать с помощью системы координат. Кроме того, можно допустить, что опасность достаточно полно характеризуется значениями вероятностей чепе. Эти вероятности можно условно называть «зарядами» опасностей. Заряды опасностей можно связать с системой координат, как например, показано на рис. 4.19, и считать, что они создают вокруг себя поле опасности, напряженность которого характеризуется вероятностью наступления н-чепе. Это позволит не только установить границы опасной зоны, но и произвести ее разметку в зависимости от степени опасности.
Подсистемы и чепе ИЛИ, И. Подсистемой ИЛИ называют часть системы ЧМС, компоненты которой соединены последовательно (рис. 4.20). Отказ подсистемы есть чепе ИЛИ. К чепе ИЛИ приводит отказ любого компонента подсистемы.
Будем обозначать отказы теми же буквами, что и компоненты. Если Ej – отказ j-го компонента (компонента Ej;), то чепе ИЛИ есть событие:
где т –число компонентов.
В силу логических законов двойственности отсутствие чепе ИЛИ есть событие.
| Рис. 4.19. Описание опасности с помощью «зарядов»: Е1 – взрыв ресивера; e2 – обрыв троса; Ез – замыкание на корпус | Рис. 4.20. Символическое изображение подсистемы ИЛИ: а – графический символ; б – развернутая схема |
Если отказы компонентов можно рассматривать как взаимно независимые, то соотношения (4.7) и (4.18) позволяют найти вероятность чепе ИЛИ:
Для равновозможных отказов
вероятность чепе ИЛИ
Последнее выражение свидетельствует о высокой вероятности чепе в случае сложных систем. Например, при вероятности отказа компонента p=0,1 подсистема ИЛИ, состоящая из десяти компонентов (т = 10). имеет вероятность того, что чепе ИЛИ не произойдет, равную (1-0,1)10≈0,35.
Используя разложения в ряд, можно получить полезные выражения, которые упрощают вычисления:
| Рис. 4.21. Символическое изображение подсистемы И: а –графический символ, б–развернутая схема | Рис. 4.22. Символическое представление подсистемы И –ИЛИ |
Подсистемой И называют ту часть системы ЧМС, компоненты которой соединены параллельно (рис. 4.21). Отказ этой подсистемы есть чепе И. К чепе И приводит отказ всех компонентов подсистемы:















