ZAD1002 (1161420)
Текст из файла
ЗАДАЧА 1002
Задача выбора оптимального маршрута.
Постановка задачи.
Для оценки радиационной обстановки проведено в разных точках местности ряд замеров уровней радиации. После обработки и интерполяции была получена сеть , узлам которой поставлены в соответствие числа P(xi , yj), представляющие собой уровни радиации в данных точках ( i = 1, ... , n ; j = 1, ... , m ). Определить маршрут движения от пункта S( x1, y1) до пункта Sk(xn , ym) , при котором будет получена минимальная суммарная доза радиации.
Последовательность вычислений.
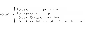
Необходимо найти такую последовательность точек Sr(xi , yj) (r = 1, ... , n + m-1 ; i = 1, ... , m ; j = 1, ... ,m ; x 0 ; y 0) , чтобы
1. Обратный ход
2. Прямой ход
После узла S(xi , yj ) выбирается один из узлов S(xi+1 , yj ) или S(xi , yj+1 ) , для которого найдётся min { F(xi+1 , yj ) , F(xi , yj+1 ) } .
Исходные данные
P [ 1 : n , 1 : m ] , n = 8 , m = 7 .
| Y7 | 20 | 18 | 16 | 15 | 14 | 12 | 15 | 17 |
| Y6 | 17 | 14 | 13 | 10 | 11 | 13 | 14 | 17 |
| Y5 | 14 | 13 | 12 | 10 | 9 | 8 | 11 | 15 |
| Y4 | 12 | 13 | 12 | 10 | 11 | 13 | 15 | 20 |
| Y3 | 10 | 8 | 8 | 81 | 10 | 12 | 13 | 15 |
| Y2 | 11 | 9 | 8 | 70 | 0 | 13 | 14 | 18 |
| Y1 | 12 | 11 | 10 | 9 | 13 | 14 | 17 | 20 |
| X1 | X2 | X3 | X4 | X5 | X6 | X7 | X8 |
Результаты счёта:
наборы { i , j } и полученная суммарная доза радиации .
Характеристики
Тип файла документ
Документы такого типа открываются такими программами, как Microsoft Office Word на компьютерах Windows, Apple Pages на компьютерах Mac, Open Office - бесплатная альтернатива на различных платформах, в том числе Linux. Наиболее простым и современным решением будут Google документы, так как открываются онлайн без скачивания прямо в браузере на любой платформе. Существуют российские качественные аналоги, например от Яндекса.
Будьте внимательны на мобильных устройствах, так как там используются упрощённый функционал даже в официальном приложении от Microsoft, поэтому для просмотра скачивайте PDF-версию. А если нужно редактировать файл, то используйте оригинальный файл.
Файлы такого типа обычно разбиты на страницы, а текст может быть форматированным (жирный, курсив, выбор шрифта, таблицы и т.п.), а также в него можно добавлять изображения. Формат идеально подходит для рефератов, докладов и РПЗ курсовых проектов, которые необходимо распечатать. Кстати перед печатью также сохраняйте файл в PDF, так как принтер может начудить со шрифтами.
















