ZAD805 (1161413)
Текст из файла
ЗАДАЧА 805
Постановка задачи.
Найти хij = {0,1},
минимизирующие функцию
W
=
при ограничениях:
= 1 (i = 1, ... , n )
Алгоритм решения задачи:
На каждом К - том (К = 1 , .... , n ) шаге определяется:
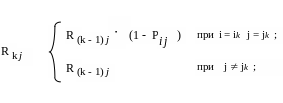
а) значения ik , jk , при которых = 1, из условия
.
= = max { max { } }
i { i1 , ... ik+1}
j
где
=
в) значение :
`
= - ; =
Пример для отладки
Р = С = ( 1 1 1 )
максимальные элементы в столбцах Сj
i1 = 1; j1 = 1.
i2 = 2; j2 = 2.
i3 = 3; j3 = 3.
i4 = 4; j4 = 4.
0.21
0.25
0.24
W = 1,15
Окончательный счёт
Р = С = ( 2 4 3 1 )
Выдать на печать координаты всех Х, равных 1, и значение W.
Характеристики
Тип файла документ
Документы такого типа открываются такими программами, как Microsoft Office Word на компьютерах Windows, Apple Pages на компьютерах Mac, Open Office - бесплатная альтернатива на различных платформах, в том числе Linux. Наиболее простым и современным решением будут Google документы, так как открываются онлайн без скачивания прямо в браузере на любой платформе. Существуют российские качественные аналоги, например от Яндекса.
Будьте внимательны на мобильных устройствах, так как там используются упрощённый функционал даже в официальном приложении от Microsoft, поэтому для просмотра скачивайте PDF-версию. А если нужно редактировать файл, то используйте оригинальный файл.
Файлы такого типа обычно разбиты на страницы, а текст может быть форматированным (жирный, курсив, выбор шрифта, таблицы и т.п.), а также в него можно добавлять изображения. Формат идеально подходит для рефератов, докладов и РПЗ курсовых проектов, которые необходимо распечатать. Кстати перед печатью также сохраняйте файл в PDF, так как принтер может начудить со шрифтами.
















