ZAD807 (1161415), страница 2
Текст из файла (страница 2)
На два объекта планируется n налётов авиации. Перед каждым
i - тым налётом количество средств Xi распределяется между двумя
объектами следующим образом :
Yi средств назначается на 1 - ый объект ,
( Xi - Yi ) средств назначается на 2 - ой объект.
При каждом налёте на 1 - ый объект получают эффективность C1 ( Yi ) и оставшееся число средств P1 ( Yi ) . При каждом налёте на 2 - ой объект получают эффективность C2 ( Xi - Yi ) и оставшееся число средств P2 ( Xi - Yi ) .
После 1 - го , 2 - го , i - го налёта количество средств не пополняется , а оставшиеся средства перераспределяются.
Требуется так выбрать Y1, Y2, ... и т.д. , чтобы получить максимальную эффективность, т.е. R( X1, Y1, Y2, ... , Yn ) =
= C1( Y1 ) + C2( X1 - Y1 ) + C1( Y2 ) + C2( X2 - Y2 ) + ... + C1( Y1 ) + + C2( Xn - Yn ).
Задача решается численным методом.
Последовательность вычислений.
1. Обратный ход
Рассчитывается с шагом h таблицы функций
где
. . . . . . . . . . . . . . . . . . . . . . . . . . . . . . . . . . . . . . .
f (x1) =
1
max [
0 y1 x1
Значения определяются путём линейной интерполяции по таблицам для аргумента
2. Прямой ход
После расчёта таблиц , имея на каждом i - ом шаге xi , определяем по таблице значение yi , с использованием линейной интерполяции
yi +
yi =
(xi - yj)
xj xi xj+1
и рассчитывается значение :
Рекомендации по организации программы:
1) Удобно выделить массивы (см. пример )
Y , X1 , R1 : ( 3 + m ) * m/2 ( Столбцы 2, 3, 4 ),
где
X1 - число средств перед первым
(антье) налётом ;
YТ , РТ [1 : n , 1 : m ]
где РТ - максимальное значение R( X ) ,
YТ - значения Y , соответствующие максимальным значениям.
-
Программа может содержать 3 части .
-
я часть : Заполнение массивов Y , X1 , R и массивов YT ,
PT [n , j ] ( n - й шаг ) .
2 - я часть : Заполнение массивов YT , PT [ i , j ] ( i = n - 1, ... , 1 ) .
3 - я часть : Определение параметров управления на каждом шаге
Yi ( i = n , ... , 1 ) в прямом ходе .
Пример расчёта
n = 3 , x1 = 3 .
Функции С1( х ) , C2( x ) , P1( x ) , P2 ( x) заданы в виде :
C1( x ) = 0,8x
C2( x ) = 0,7x
P1( x ) = 0,5x
P2( x ) = 0,6x . Схема расчёта приведена в таблицах :
| Обратный ход | 3 - й шаг | 2 - й шаг | 1 -й шаг | ||||
| 1 | 2 | 3 | 4 | 5 | 6 | 7 | 8 |
| xi-1 | yi-1 | xi = P1(yi-1)+ +P2(xi-1-yi-1) | R(x)=C1(y)+ +C2(x-y) f3(x3)=maxR(x) | f3(x2) | f2(x2)= R(x)+ + f3(x2) | f2(x1) | f1(x1)= R(x)+ + f2(x1) |
|
| 0 1 | 0,6 0,5 | 0,7 0,8 | 0,48 0,40 | 1,18 1,20 | 0,72 0,60 | 1,42 1,40 |
| 2 | 0 1 2 | 1,2 1,1 1,0 | 1,4 1,5 | 0,96 0,88 0,80 | 2,38 2,40 | 1,44 1,32 1,20 | 2,84 2,82 2,80 |
|
| 0 1 2 3 | 1,8 1,7 1,6 1,5 | 2,1 2,2 2,3 2,4 | 1,44 1,36 1,28 1,20 | 3, 3,56 3,58 3,60 | 2,16 2,06 1,92 1,80 | 4,26 4,24 4,22 4,20 |
Прямой ход .
| i | 1 | 2 | 3 |
| Yi | 0 | 1,8 | 0,9 |
| Xi - Yi | 3 | 0 | 0 |
| Xi+1 | 1,8 | 0,9 | |
| Ri | 2,1 | 1,44 | 0,72 |
Ri = 4,26
Исходные данные
n = 5 ; X1 = 20 ; h = 1;
- x
C1( x ) = 1 - e
-2 x
C2( x ) = 1 - eP1( x ) = 0,75x
P2( x ) = 0,3x
Результаты счёта:
Выдать на печать исходные данные , оптимальное распределение количества средств при n налётах и Ri .
ЗАДАЧА 1002
Задача выбора оптимального маршрута.
Постановка задачи.
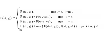
Для оценки радиационной обстановки проведено в разных точках местности ряд замеров уровней радиации. После обработки и интерполяции была получена сеть , узлам которой поставлены в соответствие числа P(xi , yj), представляющие собой уровни радиации в данных точках ( i = 1, ... , n ; j = 1, ... , m ). Определить маршрут движения от пункта S( x1, y1) до пункта Sk(xn , ym) , при котором будет получена минимальная суммарная доза радиации.
Последовательность вычислений.
Необходимо найти такую последовательность точек Sr(xi , yj) (r = 1, ... , n + m-1 ; i = 1, ... , m ; j = 1, ... ,m ; x 0 ; y 0) , чтобы
1. Обратный ход
2. Прямой ход
После узла S(xi , yj ) выбирается один из узлов S(xi+1 , yj ) или S(xi , yj+1 ) , для которого найдётся min { F(xi+1 , yj ) , F(xi , yj+1 ) } .
Исходные данные
P [ 1 : n , 1 : m ] , n = 8 , m = 7 .
| Y7 | 20 | 18 | 16 | 15 | 14 | 12 | 15 | 17 |
| Y6 | 17 | 14 | 13 | 10 | 11 | 13 | 14 | 17 |
| Y5 | 14 | 13 | 12 | 10 | 9 | 8 | 11 | 15 |
| Y4 | 12 | 13 | 12 | 10 | 11 | 13 | 15 | 20 |
| Y3 | 10 | 8 | 8 | 81 | 10 | 12 | 13 | 15 |
| Y2 | 11 | 9 | 8 | 70 | 0 | 13 | 14 | 18 |
| Y1 | 12 | 11 | 10 | 9 | 13 | 14 | 17 | 20 |
| X1 | X2 | X3 | X4 | X5 | X6 | X7 | X8 |
Результаты счёта:
наборы { i , j } и полученная суммарная доза радиации .
1















