Шпоры (1134616)

Файл №1134616 Шпоры (Шпоры)Шпоры (1134616)2019-05-12СтудИзба
Просмтор этого файла доступен только зарегистрированным пользователям. Но у нас супер быстрая регистрация: достаточно только электронной почты!

Текст из файла

1. Основные понятия термодинамики. Классификация термодинамических систем, параметров, состояний, функций, процессов. Функции состояния и функции перехода.

Сист.: открытые, закрытые,изолированные.

Сост. сист. описывают с помощью параметров. Параметры: внутренние, опред. только корд. тел системы ( , внутр. U);внешние, опред. коорд. тел в ОС (V),экстенсивные, пропорциональны массе (V, U, S, C);интенсивные, не зависят от массы (T, , p). Экст/экст=инт

состояния т/д систем: стационарное (параметры сист. не зависят от времени, но в сист. есть потоки); равновесное (п.с. не зависят от времени и нет потоков); неравновесное (п.с. зависят от времени).

Среди т/д параметров выделяют обобщенные силы и обобщенные координаты.

Обобщенные силы описывают состояние равновесия, интенсивные параметры (p, , , ).

Обобщенные координаты - величины, кот. изменяются под действием соотв. обобщенных сил, экстенсивные параметры (V, n, e, W).

Состояние сист. описывается также с помощью т/д функций, кот. зависят от параметров:Ф-ции состояния, зависят только от состояния системы и не зависят от пути, по которому это состояние получено;

Ф-ции перехода, зависят от пути, по которому происходит изменение системы.

Ф-ции состояния характеризуются след. св-вами:

  1. б. м. изменение ф-ции f является полным дифференциалом

  2. изменение ф-ции при переходе из состояния 1 в состояние 2

  1. в результате любого циклического процесса ф-ция состояния не изменяется:

Процесс - если хотя бы один из п.с. меняется со временем.

Процессы: обратимые (переход сист. из одного состояния в др. и обратно может происходить по одному и тому же пути, и после возвращения в исх. сост. в ОС не остается макроскопических изменений);

квазистатические, или равновесные (происходят под действием б.м. разности обобщенных сил); необратимые, или неравновесные (параметры меняются с конечной скоростью).

2. Уравнения состояния для идеальных и реальных газов. Уравнение состояния в вириальной форме.

Ур-е, связывающее внутр. параметры с внеш. параметрами и с Т, называют уравнением состояния т/д системы. В общем случае ур-е состояния имеет вид:

Или

, где a - совокупность внутр. параметров, b - совокупность внеш. параметров, T - температура.

Если внутренним параметром является давление, а внешним - объем, то уравнение состояния называют термическим.

Если внутренним параметром является энергия, а внешним - объем, то уравнение состояния называют калорическим.

Если известны термическое и калорическое ур-я состояния, то с помощью ЗТД можно определить все т/д св-ва сист., т.е. получить ее полное т/д описание. Сами ур-я состояния нельзя вывести методами классической т/д, но их можно определить экспериментально.

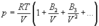
Простейшее ур-е состояния описывает сист. невзаимодействующих частиц точечного размера - идеальный газ:

Для описания реальных газов, в которых частицы имеют конечные размеры и взаимодействуют друг с другом, используют более сложные ур-я состояния:

(уравнение Ван-дер-Ваальса)

(уравнение Бертло)

(I уравнение Дитеричи)

(II уравнение Дитеричи)

Все эти ур-я записаны для одного моля газа; величины a и b - индивидуальные постоянные газов.

С высокой точностью поведение любого реального газа можно описать с помощью вириального разложения по степеням обратного объема:

или давления ,

где Bi, Bi' - i-ые вириальные коэффициенты, кот. зависят от Т.

Ур-е состояния идеального газа и вириальное ур-е состояния реального газа можно вывести методами статистической т/д.

Иногда ур-я состояния реальных газов записывают через так называемые приведенные переменные, которые определяют через параметры критического состояния газов: pr = p / pкр, Vr = V / Vкр, Tr = T / Tкр, где критические параметры определяются как координаты точки перегиба на изотерме реального газа:

3. Первый закон термодинамики, его формулировки и аналитические выражения. Взаимные превращения теплоты и работы для различных процессов.

I ЗТД (ЗСЭ): энергия изолир. сист. постоянна. В неизолир. сист. энергия может изменяться за счет: а) совершения работы над окружающей средой; б) теплообмена с окружающей средой.

Для описания этих изменений вводят ф-цию состояния - внутреннюю энергию U и две ф-ции перехода - теплоту Q и работу A.

dU = Q - A (дифференциальная форма) (1)

U = Q - A (интегральная форма) (2)

Буква в ур-и (1) отражает тот факт, что Q и A – ф-ции перехода и их б.м. изменение не является полным дифференциалом.

Теплота считается «+», если она передается системе. Напротив, работа считается «+», если она совершается системой над ОС.

Существуют разные виды работы: мех., электр., магнитн., поверхностная и др. Б.м. работу любого вида можно представить как произведение обобщенной силы на приращение обобщенной координаты, напр.:

Aмех = p. dV; Aэл = . ; Aпов = . dW (3)

( - электрический потенциал, e - заряд, - поверхностное натяжение, W - площадь поверхности). С учетом (3), дифференциальное выражение I ЗТД можно представить в виде:

dU = Q - p. dV Aнемех (4)

В дальнейшем изложении немех. видами работы мы будем пренебрегать.

Мех/ работу, производимую при расширении против внешнего давления pex, рассчитывают по формуле:

A = (5)

Если процесс расширения обратим, то внешнее давление отличается от давления сист. (например, газа) на бесконечно малую величину: pex = pin - dp и в формулу (5) можно подставлять давление самой системы, которое определяется по уравнению состояния.

При обратимом процессе совершаемая работа максимальна.

Теплота может переходить в систему при нагревании. Для расчета теплоты используют понятие теплоемкости:

C = (6)

Если нагревание происходит при постоянном V или p, то теплоемкость обозначают соответствующим нижним индексом:

CV = ; Cp = . (7)

Из определения (6) следует, что конечную теплоту, полученную сист. при нагревании, можно рассчитать как интеграл:

= (8)

Теплоемкость - экспериментально измеряемая экстенсивная величина.

При комнатной Т для одноат. ид. газов мольная теплоемкость CV = 3/2 R, для двухат. газов CV = 5/2 R.

Теплоемкость определяется через теплоту, переданную сист., но ее можно связать и с изменением внутр. энергии. При постоянном объеме мех. работа не совершается и теплота равна изменению внутр. энергии: QV = dU, поэтому

CV = . (9)

  1. Энтальпия как функция состояния. Связь энтальпии с внутренней энергией.

Энтальпи́я (тепловая функция и теплосодержание)т/д потенциал, характеризующий состояние сист. в т/д равновесии при выборе в качестве независимых переменных давления, энтропии и числа частиц.

При постоянном давлении теплота равна изменению другой ф-ции состояния, кот. называют энтальпией:

Qp = dU + pdV = d (U+pV) = dH,

где H = U+pV - энтальпия системы. Cp определяет зависимость Н от T.

Cp = .

Внутреннюю энергию можно рассматривать, как ф-цию T и V:

Для ид. газа экспериментально обнаружено, что U не зависит от V, , откуда можно получить калорическое ур-е состояния:

dU = CV dT,



Характеристики

Тип файла
Документ
Размер
1,43 Mb
Материал
Тип материала
Высшее учебное заведение

Тип файла документ

Документы такого типа открываются такими программами, как Microsoft Office Word на компьютерах Windows, Apple Pages на компьютерах Mac, Open Office - бесплатная альтернатива на различных платформах, в том числе Linux. Наиболее простым и современным решением будут Google документы, так как открываются онлайн без скачивания прямо в браузере на любой платформе. Существуют российские качественные аналоги, например от Яндекса.

Будьте внимательны на мобильных устройствах, так как там используются упрощённый функционал даже в официальном приложении от Microsoft, поэтому для просмотра скачивайте PDF-версию. А если нужно редактировать файл, то используйте оригинальный файл.

Файлы такого типа обычно разбиты на страницы, а текст может быть форматированным (жирный, курсив, выбор шрифта, таблицы и т.п.), а также в него можно добавлять изображения. Формат идеально подходит для рефератов, докладов и РПЗ курсовых проектов, которые необходимо распечатать. Кстати перед печатью также сохраняйте файл в PDF, так как принтер может начудить со шрифтами.

Список файлов ответов (шпаргалок)

Свежие статьи
Популярно сейчас
Почему делать на заказ в разы дороже, чем купить готовую учебную работу на СтудИзбе? Наши учебные работы продаются каждый год, тогда как большинство заказов выполняются с нуля. Найдите подходящий учебный материал на СтудИзбе!
Ответы на популярные вопросы
Да! Наши авторы собирают и выкладывают те работы, которые сдаются в Вашем учебном заведении ежегодно и уже проверены преподавателями.
Да! У нас любой человек может выложить любую учебную работу и зарабатывать на её продажах! Но каждый учебный материал публикуется только после тщательной проверки администрацией.
Вернём деньги! А если быть более точными, то автору даётся немного времени на исправление, а если не исправит или выйдет время, то вернём деньги в полном объёме!
Да! На равне с готовыми студенческими работами у нас продаются услуги. Цены на услуги видны сразу, то есть Вам нужно только указать параметры и сразу можно оплачивать.
Отзывы студентов
Ставлю 10/10
Все нравится, очень удобный сайт, помогает в учебе. Кроме этого, можно заработать самому, выставляя готовые учебные материалы на продажу здесь. Рейтинги и отзывы на преподавателей очень помогают сориентироваться в начале нового семестра. Спасибо за такую функцию. Ставлю максимальную оценку.
Лучшая платформа для успешной сдачи сессии
Познакомился со СтудИзбой благодаря своему другу, очень нравится интерфейс, количество доступных файлов, цена, в общем, все прекрасно. Даже сам продаю какие-то свои работы.
Студизба ван лав ❤
Очень офигенный сайт для студентов. Много полезных учебных материалов. Пользуюсь студизбой с октября 2021 года. Серьёзных нареканий нет. Хотелось бы, что бы ввели подписочную модель и сделали материалы дешевле 300 рублей в рамках подписки бесплатными.
Отличный сайт
Лично меня всё устраивает - и покупка, и продажа; и цены, и возможность предпросмотра куска файла, и обилие бесплатных файлов (в подборках по авторам, читай, ВУЗам и факультетам). Есть определённые баги, но всё решаемо, да и администраторы реагируют в течение суток.
Маленький отзыв о большом помощнике!
Студизба спасает в те моменты, когда сроки горят, а работ накопилось достаточно. Довольно удобный сайт с простой навигацией и огромным количеством материалов.
Студ. Изба как крупнейший сборник работ для студентов
Тут дофига бывает всего полезного. Печально, что бывают предметы по которым даже одного бесплатного решения нет, но это скорее вопрос к студентам. В остальном всё здорово.
Спасательный островок
Если уже не успеваешь разобраться или застрял на каком-то задание поможет тебе быстро и недорого решить твою проблему.
Всё и так отлично
Всё очень удобно. Особенно круто, что есть система бонусов и можно выводить остатки денег. Очень много качественных бесплатных файлов.
Отзыв о системе "Студизба"
Отличная платформа для распространения работ, востребованных студентами. Хорошо налаженная и качественная работа сайта, огромная база заданий и аудитория.
Отличный помощник
Отличный сайт с кучей полезных файлов, позволяющий найти много методичек / учебников / отзывов о вузах и преподователях.
Отлично помогает студентам в любой момент для решения трудных и незамедлительных задач
Хотелось бы больше конкретной информации о преподавателях. А так в принципе хороший сайт, всегда им пользуюсь и ни разу не было желания прекратить. Хороший сайт для помощи студентам, удобный и приятный интерфейс. Из недостатков можно выделить только отсутствия небольшого количества файлов.
Спасибо за шикарный сайт
Великолепный сайт на котором студент за не большие деньги может найти помощь с дз, проектами курсовыми, лабораторными, а также узнать отзывы на преподавателей и бесплатно скачать пособия.
Популярные преподаватели
Добавляйте материалы
и зарабатывайте!
Продажи идут автоматически
7268
Авторов
на СтудИзбе
244
Средний доход
с одного платного файла
Обучение Подробнее