Вопросы ГЭК 2009new (1094840), страница 5
Текст из файла (страница 5)
Переход амплитудно-фазовой характеристикой разомкнутой CAP Wp(jω) ростом частоты отрезка действительной оси (-∞;-1] сверху вниз называется
положительным (+), а снизу в верх - отрицательным (-).
Т
огда критерий Найквиста в формулировке Цыпкина предстает в следующем виде: Замкнутая САР устойчива, если разность между числом положительных и отрицательных переходов равна , где т - число правых корней характеристического уравнения разомкнутой системы.
На рис. IV.17 изображен случай, когда имеется два положительных и один отрицательный переход, т.е.
и, значит, если характеристическое уравнение разомкнутой САР имеет 2 правых корня (только в этом случае!), то замкнутая САР устойчива. Подчеркнем еще раз, что при подсчете переходов исследуется только тот участок (-∞;-1] и не принимается во внимание остальная часть действительной оси.
Сейчас мы рассмотрим случай IV. 3. 3. 2 для неустойчивой разомкнутой САР. Однако, вышеприведенная формулировка Цыпкина критерия Найквиста применима к случаю IV.3. 3. 1, т. е. для устойчивой разомкнутой САР (рис. IV. 18).
На рисунке изображена АФХ разомкнутой системы, имеющая 1 положительный и 1 отрицательный переходы. По Цыпкину
таким образом, система будет устойчива, если разомкнутая система тоже устойчива, т.е. имеет т=0 правых корней своего характеристического уравнения, а это и есть случай IV. 3.3.1.
Критерий устойчивости А.М. Ляпунова для нелинейных систем.
Нелинейные САР, в отличие от линейных, не обладают принципом суперпозиции, поэтому методика определения устойчивости нелинейных САР, базирующаяся на исследовании свободных колебаний, как в линейных, здесь не годится. Возможность автоколебаний в нелинейных САР ещё более усложняет вопрос.
Основоположником теории устойчивости нелинейных САР был русский математик А.М.Ляпунов, который в 1892 г. поставил общую задачу об устойчивости движения и сформулировал понятия устойчивости.
При исследовании устойчивости по Ляпунову рассматриваются понятия невозмущённых и возмущённых движений системы. Под невозмущённым движением понимают одно из возможных расчётных движений системы при некоторых определённых начальных условиях. Состояния установившегося процесса, равновесия и установившегося режима автоколебаний можно рассматривать как важные частные случаи невозмущённых движений, а отклонения от них - возмущенные движения.
Для общего суждения об устойчивости движения пользуются понятием устойчивости, данное A.M. Ляпуновым: движение устойчиво, если для любой сколь угодно малой заданной области ε допустимых отклонений хi (возмущённое движение) от точки хi=0
(невозмущённое движение) можно указать область начальных значений δ(ε),
лежащую внутри области ε и обладающую тем свойством, что ни одно возмущённое движение, начавшееся внутри области δ, никогда не достигнет границы области ε. Если такой области (S(ε)) не существует, то движение
н
еустойчиво. Интерес представляет случай, когда все возможные движения при
стягиваются в начало координат, т.е.
(1). Такое движение называют асимптотически устойчивым. Если для выполнения (1) требуется, чтобы область начальных отклонений δ была достаточно мала, то говорят об асимптотической устойчивости в малой. Если область δ может иметь конечные размеры, то говорят об асимптотической устойчивости в большом. Если, наконец, (1) выполняется при сколь угодно больших начальных отклонениях, то говорят об асимптотической устойчивости в целом.
Для описания нелинейных систем будем пользоваться дифференциальными уравнениями в форме Коши, полагая, что они записаны для переходных процессов в отклонениях всех переменных от их значений (т.е. для возмущённых движений хi(ti)) в установившемся процессе (т.е. невозмущённого движения хi=0. Следовательно, эти уравнения для нелинейных систем n-го порядка будут
где функции Xi произвольны и содержат любого вида нелинейности, но всегда удовлетворяют условиям Х1 = Х2 =... = Хп = 0 при х1 = х2 =... = хп = 0 (3), т.к. в установившемся состоянии все отклонения переменных и их производные равны, очевидно, нулю по самому определению понятия этих отклонений.
Пусть имеется функция нескольких переменных V =V(x1, х2 …хn), где х1 не обязательно хi из (2), т.е. отклонения от установившегося значения. Представим себе n-мерное фазовое пространство, в котором х1, х2...хп являются прямоугольными координатами (это будет, в частности фазовая плоскость при n =2 и обычное трехмерному пространство при n=3. тогда в каждой точке указанного пространства функция V будет иметь некоторое определённое значение.
Будем называть функцию V знакоопределённой в некоторой области, если она во всех точках этой области вокруг начала координат сохраняет один и тот же знак и нигде не обращается в нуль, кроме только самого начала координат.
Функция V называется знакопостоянной, если она сохраняет один и тот же знак, но может обращаться в нуль не только в начале координат, но и в других точках вокруг начала координат.
Функция V называется знакопеременной, если она в данной области вокруг начала координат может иметь разные знаки (а в начале координат - нуль).
Примеры. 1.Пусть n=2 и V=x21 + x22. Это знакоопределённая положительная функция, т.к. V=0 только тогда, когда x1 = х2 = 0 одновременно, а V>0 для любых других хi. Аналогично при любом п функция V = х12 +х22...х2n, будет знакоопределённой положительной, а V = –(х12 + ...х2n)-знакоопределённой отрицательной.
2.Если взять функцию V = xl2 + x22 при n=3, то она уже не будет знакоопределённой, т.к., оставаясь положительной при любых х1, х2, х3. Она может обращаться в нуль не только при х1 = х2 = х3 = 0, но и при любом значении х3, если только х1=х2=0 (т.е.на всей оси х3).3начит, это знакопостоянная положительная функция.
3.Наконец, функция V=xl+x2 ,будет знакопеременной, т.к. она положительна для всех точек справа от прямой х1 = -х2 и отрицательна слева от этой прямой.
Любую функцию V =V(x1, x2...xn), тождественно обращающуюся в нуль при xl=x2=...= xn = 0 будем называть функцией Ляпунова, если в ней в качестве величин х1, х2 ...xn взяты те отклонения переменных системы регулирования в переходном процессе x1=x1(t),…xm, в которых записываются уравнения (2) для этой системы.
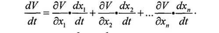
Производная от функции Ляпунова по времени будет
Подставив сюда значения
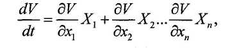
из (2) получим производную от функции Ляпунова в виде
где х1, х2,...Хп - правые части уравнений (2) САР, представляющие собой заданные функции от отклонений x1, х2…хп.
С
ледовательно, производная от функции Ляпунова по времени, так же как и сама V, является некоторой функцией отклонений, т.е.
причем эта функция W, так же как и сама V тождественно обращается в нуль при х1 = х2 =... = хп = 0. Поэтому к ней в одинаковой степени можно применить все те же понятия знакоопределенности, знакопостоянства и знакопеременности в некоторых областях вокруг начала координат, как и к функции V.
ТЕОРЕМА ЛЯПУНОВА ОБ УСТОЙЧИВОСТИ ДВИЖЕНЯ НЕЛИНЕЙНОЙ САР
Если при заданных в форме (2) уравнениях системы n-го порядка можно подобрать такую знакоопределенную функцию Ляпунова V(x1,x2,…хп), чтобы её производная по времени W(х1,х2,...хn) тоже была знакоопределённой (знакопостоянной), но имела знак, противоположному знаку V, то данная система асимптотически устойчива (устойчива).
Недостатки последовательной коррекции.
В настоящее время широкое применение при синтезе систем автоматики нашёл метод ЛАЧХ (логарифмических амплитудно-частотных характеристик). Этот метод обладает достаточной простотой и наглядностью. Идея метода основана на том, что устанавливается связь между переходным процессом и логарифмической характеристикой, которая выражается в достаточно простом виде. Зная желаемый вид переходного процесса, легко построить соответствующую такому процессу желаемую логарифмическую характеристику. Далее, зная вид желаемой ЛАЧХ, к этому виду приближают исходную ЛАЧХ нескорректированной системы. Это также осуществляется достаточно просто. Корректирование характеристики имеет свои особенности в зависимости от применяемого вида включения корректирующего устройства, т.е. последовательного или параллельного включения его в основную цепь системы.
Последовательное включение в цепь системы дифференцирующих элементов (опережающих по фазе), позволяет ускорить протекание переходного процесса, а включение интегрирующего элемента (отстающего по фазе)- снизить установившуюся ошибку.
Преимущества последовательной коррекции:
1) относительная простота включения элементов коррекции;
2) расширение полосы пропускания частот при включении дифференцирующего элемента в цепь регулирования.
Недостатки последовательной коррекции:
1) необходимость согласования сопротивлений корректирующих элементов с входным и выходным сопротивлениями элементов системы, к которым подключены вход и выход корректирующего элемента;
2) снижение величины основного сигнала в цепи регулирования, что требует его дополнительного усиления до нужного значения. Отсюда вытекает ограниченность корректируемой системы по мощности.















