Вопросы ГЭК 2009new (1094840), страница 4
Текст из файла (страница 4)
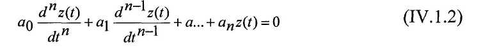
Признаки устойчивости. Теперь к математической стороне вопроса. Любая САР с входным сигналом (внешней силой) х и выходным сигналом z, имеющая передаточную функцию может быть описана линейным неоднородным дифференциальным уравнением п-го порядка с постоянными коэффициентами
Решение этого неоднородного уравнения z(t) состоит из общего решения zсв(t) однородного дифференциального уравнения
И частного вынужденного решения zвын(t) неоднородного дифференциального уравнения (IV.1.1.)
Из определения устойчивости, данного выше, следует, что устойчивость САР устанавливают в ней, после того как устраняется внешняя сила, выведшая САР из состояния равновесия. Иными словами, устойчивость системы определяет переходный процесс zсв(t), т.е. решение однородного дифференциального уравнения (IV.1.2.). Таким образом, признаками устойчивости системы являются:
если
(исправить бесконечность на 0) , то система устойчива;
если
, то система неустойчива;
е
сли
, то система нейтральна, т.е. находится на гране устойчивости.
Дифференциальному уравнению (IV.1.2.) соответствует характеристическое уравнение
корни, которых могут быть либо вещественными (в том числе нулевыми) либо комплексно-сопряженными (в том числе чисто мнимыми).
Решение дифференциального уравнения (IV.1.2.) имеет следующий вид:
где Аi- постоянные интегрирования, определяемые параметрами системы и начальными условиями;
Pi - корни характеристического уравнения (IV.1.3.). Из всего выше сказанного можно сделать ряд важных выводов.
Е
сли все корни характеристического уравнения (IV.4) будут отрицательные вещественные или комплексно-сопряженные с отрицательной вещественной частью (т.е. «левые»), то каждое слагаемое правой части выражения (IV.1. 4.) будет с течением времени уменьшаться и при
будут стремиться к нулю. Но если каждое слагаемое правой части этого выражения стремиться к нулю при
, то сумма их будет также стремиться к нулю и условие
будет удовлетворяться, т.е. система будет устойчивой.
Е
сли среди корней характеристического уравнения (IV.1.3) будет, хотя бы один вещественный положительный корень или, если это уравнение будет иметь хотя бы одну пару сопряженных комплексных корней с положительной вещественной частью (т.е. будут иметь место «правые» корни), то одно из слагаемых правой части (IV.1. 4) для вещественного «правого» корня или пары комплексно-сопряженных корней с положительной вещественной частью с течением времени будет неограниченно расти. В этом случае имеет место неустойчивость системы, т.к.
П
оложим теперь, что корни уравнения (IV.1.3) «левые» за исключением одного вещественного нулевого (ps=0) или одной пары чисто мнимых корней Ps,s+1=jßs. Составляющие переходного процесса, соответствующие «левым» корням при
исчезнут, и останется либо постоянная составляющая
в случае нулевого корня либо незатухающая колебательная составляющая,
с
оответствующая паре чисто мнимых корней.
В обоих случаях согласно определению признаков устойчивости система находится на границе устойчивости.
Таким образом, необходимым и достаточным условием устойчивости САР является соблюдения того, чтобы все корни характеристического уравнения системы имели отрицательные вещественные части.
Если представить корни характеристического уравнения на комплексной плоскости Гаусса, то для устойчивой системы требуется, чтобы все корни лежали в левой полуплоскости, т.е. были бы «левыми».
Устойчивость является необходимым условием нормального функционирования САР. В п. IV. 3. 1 было показано, что если АФХ разомкнутой системы не охватывает критической точки (-1, j0), то САР в замкнутом состоянии устойчива (кривая 1 на рис. IV. 25), а если указанная АФХ проходит через т. (-1, j0), то замкнутая САР находится на границе устойчивости (кривая 2 на рис. IV. 25).
Отметим при этом, что чем ближе находится кривая 1 к критической точке (-1, j0), тем менее устойчивой становится замкнутая САР. Поскольку положение АФХ Wp(jω) на плоскости Гаусса определяется параметрами системы (коэффициентами усиления, постоянными времени и т.п. звеньев), то расположение кривых Wp(jω) вблизи притяжений точки может привести к ошибочным выводам об устойчивости САР. В самом деле, пусть в исходном состоянии параметры САР таковы, что отвечающая им кривая АФХ заняла положение 1. Однако, со временем в процессе эксплуатации параметры САР изменяются, и соответствующая этим измененным параметрам кривая Wp(jω) уже станет охватывать т. (-1, j0), т.е. займет положение 3. Это означает, что со временем, рассчитанная как устойчивая, САР станет неустойчивой.
Это ситуации не возникнет, если САР работает не вблизи границы устойчивости, а в достаточном удалении от нее. Иначе говоря, САР должна обладать некоторым запасом устойчивости, обеспечивающим работоспособность ее в различных условиях эксплуатации.
Т
ак как устойчивость замкнутой системы оценивается критерием Найквиста по расположению АФХ разомкнутой системы относительно критической точки, то в качестве меры оценки запаса устойчивости можно принять расстояние между АФХ Wp(jω) и критической точки (-1, j0). Но положение АФХ Wp(jω) на комплексной плоскости для каждого значения частоты характеризуется фазой и модулем. Именно поэтому вводят понятия запасов устойчивости по модулю (амплитуде) и фазе.
Запас устойчивости по модулю (рис. IV. 26 а) характеризует линейное удаление АФХ от критической точки в направлении действительной оси. Величины ∆Н1 и ∆H2 является мерой оценки запаса устойчивости по модулю.(или линейное ростояние точки АФХ РСАУ с фазой - от критической точки (-1,j0)).Иногда вместо этих величин используются величины, с ними связанные, например, вместо ∆Н2 применяется .
наибольший запас устойчивости по модулю (амплитуде) на рис. IV. 26 а соответствует величине ∆Н1. Из графика видно, что системы, обладающие амплитудно-фазовыми характеристиками 1 и 2 и одинаковым запасом устойчивости по фазе γ, потеряют устойчивость при различных приращениях коэффициента усиления. Для этого, чтобы АФХ 2 прошла через критическую точку и система оказалась на границе устойчивости, ее коэффициент усиления должен получив приращение меньше, чем в случае кривой 1. Вообще-то для хорошо спроектированной системы запас устойчивости по модулю должен быть ∆Н=0.5÷0.9 (в терминах 2-н 10).
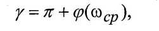
Запас устойчивости по фазе (рис. IV. 26 б) характеризует угловое удаление АФХ Wp(jω) по дуге окружности единичного радиуса от критической точки и определяется углом между отрицательным направлением действительной оси и лучом, поведенным из начала координат в точку пересечения АФХ Wp(jω) с окружностью единичного радиуса,
где
- фазовый угол АФХ ω=ωср, когда модуль Wp(jω) равен 1(или угловое отстояние точки АФХ РСАУ с модулем 1 от критической точки (-1,j0)).
В нашем случае, как это видно из рис. IV. 26 б, Wp(jωср2)≈100°, поэтому запас устойчивости по фазе
, т.е. больше нуля. Система с характеристической 1 имеет меньший запас устойчивости по фазе γ1 по сравнению с системой, обладающий характеристикой 2 и запасом устойчивости по фазе γ2. При изменении параметров системы, например, коэффициента усиления, и, следовательно, формы Wp(jω) в направлении приближения к критической точке системы с меньшим запасом устойчивости по фазе γ2 потеряет устойчивость при меньшей величине приращения параметра (например, коэффициента усиления) по сравнению с системой, имеющей запас устойчивости по фазе γ2. Нетрудно понять, что при переходе системы из устойчивой в неустойчивую, запас устойчивости по фазе из положительного превратится в отрицательный, проходя на границе устойчивости через значения γ = 0.
Для хорошо рассчитанных, т.н. «качественных» систем, запас устойчивости по фазе бывает обычно
Таким образом, для обеспечения работы системы в достаточном отдалении от границы устойчивости, гарантирующим получение нужного качества процесса регулирования и исключающем возможность потери устойчивости при изменении параметров в установленных переходах, необходимо, чтобы АФХ Wp(jω) (кривая 1, рис. IV. 26 в) не заходила в заштрихованную запретную зону, образованную установленными запасами устойчивости по модулю и по фазе.
Критерий устойчивости Найквиста для неустойчивых разомкнутых САР.
Если разомкнутая САР неустойчива, то среди корней ее характеристического уравнения
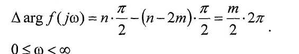
есть т правых корней. Тогда согласно принципу аргумента получим
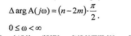
Чтобы замкнутая САР была устойчивой, надо чтобы ее характеристическое уравнение имело бы все корни левые, следовательно, согласно принципу аргумента:
Тогда в этом случае согласно (IV. 3.7) получим (изменение аргумента вспомогательного вектора)
Множитель 2л обозначает, что вектор f(jω) совершает вокруг начала координат полный оборот.
Тогда критерий Найквиста для неустойчивых разомкнутых систем при учете (IV.3. 9) может быть сформулирован следующим образом:
Для устойчивости замкнутой САР при неустойчивой разомкнутой системе необходимо и достаточно, чтобы АФХ разомкнутой CAP Wp(jω), начинаясь на действительной оси, при росте частоты ω от 0 до ∞ охватывала точку (-1, j0) в положительном направлении т/2 раз, где т -число правых корней характеристического уравнения разомкнутой САР.
П
усть Wp(jω) имеет вид, изображенный на рис. IV.1.6, охватывает точку (-1,j0) в положительном направлении 1 раз, т.е. , поэтому m=2.
Е
сли характеристическое уравнение разомкнутой САР имеет 2 правых корня, система в замкнутом состоянии устойчива. Для Wp(jω), изображенной на рис. IV.16, наличие у характеристического уравнения разомкнутой системы числа правых корней не равных 2, означает неустойчивость замкнутой САР.
Ч
асто из-за наличия местных обратных связей АФХ разомкнутой САР совершает несколько оборотов вокруг точки (-1,j0) и имеет достаточно замкнутую конфигурацию (рис. IV.17).
Здесь подсчитывать число оборотов Wp(jω) вокруг точки (-1, j0) затруднительно. Для подобных случаев видный советский ученый Я. 3. Цыпкин предложил удобную методику, базирующуюся на понятиях положительного и отрицательного переходов.















