Материал для подготовки к экзамену по электротехнике (1092854), страница 11
Текст из файла (страница 11)
2. Мероприятия по компенсации реактивной мощности потребителей за счет использования специальных компенсирующих устройств, вырабатывающих реактивную мощность (косвенный или искусственный способ повышения коэффициента мощности - так называемая параллельная (поперечная) компенсация ).
Выполнение этого комплекса мероприятий позволяет потребителю при той же потребляемой активной мощности электрооборудования повысить качество использования электрической энергии - уменьшить реактивную составляющую тока и тем самым снизить силу тока, потребляемого получателем электрической энергии от питающей сети. В свою очередь, снижение потребляемого тока благоприятно сказывается на работе всей системы электроснабжения:
1. Снижаются тепловые потери в линиях электропередачи и повышается экономичность передачи и распределения электрической энергии.
2. Снижаются тепловые потери в источнике (генераторе) и повышается экономичность производства электрической энергии.
3. Генератор разгружается от выработки реактивной энергии и при той же полной мощности может дополнительно вырабатывать активную мощность:
4. Уменьшается падение напряжения в линии электропередачи
, что улучшает такой важный показатель качества получаемой электрической энергии как постоянство (стабильность) напряжения в питающей сети. Например, при снижении напряжения на 10 % вращающий момент асинхронных двигателей снижается примерно на 19 % , а световой поток ламп накаливания ослабляется почти на 30 % . При повышении напряжения на 10 % срок службы ламп накаливания сокращается примерно в 5 раз.
5. Наконец, самое важное для потребителя – снижаются финансовые расходы на оплату получаемой электрической энергии, что позволяет достаточно быстро окупить все затраты по выполнению мероприятий, связанных с повышением коэффициента использования мощности cos φ.
Цель трансформации напряжения:
U1U2≈W1W2
Следовательно, подбирая соответствующим образом числа витков обмоток, при заданном напряжении U1 можно получить желаемое напряжение U2.
19. Экономия и рациональное использование электрической энергии. Передача электрической энергии и потери мощности в ЛЭП. Номинальная мощность и режимы работы электродвигателя. Мероприятия по снижению реактивной мощности индуктивных потребителей. Выбор мощности электродвигателя для продолжительного режима.
Передача электрической энергии и потери мощности в ЛЭП
Практически вся электрическая энергия, вырабатываемая генераторами мощных электростанций, передаётся по линиям электропередачи (ЛЭП) потребителям, находящимся в большинстве случаев достаточно далеко – за сотни и тысячи километров - от места централизованного производства электрической энергии.
При производстве электрической энергии и передаче ее потребителю неизбежно возникают тепловые потери электрической энергии, пропорциональные квадрату силы тока (так называемые «джоулевы потери» р = I 2 R ). Поэтому и при производстве электрической энергии, и при передаче ее дальние расстояния большое экономическое значение имеет величина тока в ЛЭП, от которой зависят сечение проводов, расход материалов и стоимость ЛЭП, её экономичность и другие технико-экономические показатели. В современных ЛЭП потери мощности достаточно велики и составляют около 7 – 10 % от передаваемой мощности, поэтому вопросы снижения этих потерь и повышения КПД линий электропередачи имеют большое экономическое значение.
Экономичность ЛЭП определяется, в основном, тепловыми (джоулевыми) потерями, которые для трёхфазной ЛЭП можно определить по формуле: р = 3 IЛ2 R ,
здесь R – сопротивление фазы ЛЭП, I Л - сила тока в линии (фазе) ЛЭП (линейный ток).
Из формулы активной мощности трехфазной цепи (трёхфазного потребителя): P =
UЛ IЛ сos следует, что сила тока в фазе трёхфазной ЛЭП, обратно пропорциональна линейному напряжению и коэффициенту мощности потребителя сos :
. Тогда для тепловых потерь мощности в трехфазной ЛЭП можно записать
. Отсюда следует, что при одинаковой передаваемой мощности :
1. Тепловые потери в ЛЭП обратно пропорциональны квадрату линейного напряжения;
2. Тепловые потери в ЛЭП обратно пропорциональны квадрату коэффициента мощности потребителя сos
Поэтому при передаче электроэнергии от электростанции к потребителю с целью снижения тепловых потерь в ЛЭП и повышения ее технико-экономических показателей необходимо:
1. Передачу электрической энергии осуществлять при возможно более высоком технико-экономически обоснованном напряжении (обычно 500– 750 кВ). С этой целью производитель (поставщик) электрической энергии устанавливает в начале ЛЭП повышающие трансформаторы.
2. Повышать коэффициент мощности потребителей электрической энергии, т. е. повышать качество использования электрической энергии потребителем.
Мероприятия по снижению реактивной мощности потребителей
Основными потребителями реактивной индуктивной мощности на промышленных предприятиях являются асинхронные двигатели и мощные силовые трансформаторы, поэтому коэффициент мощности потребителя (промышленного предприятия) во многом зависит от правильного выбора мощности трансформаторов, а также типа и мощности электропривода производственных механизмов, аппаратов и др.
В настоящее время в качестве приводных двигателей производственных механизмов в основном используются асинхронные электродвигатели, отличающиеся низкой стоимостью, простотой конструкции и надежностью в эксплуатации, однако потребляющие значительную реактивную индуктивную мощность. При этом существенное влияние на коэффициент мощности двигателя как и трансформатора оказывает степень их загрузки , поскольку коэффициент мощности асинхронных двигателей и трансформаторов изменяется от величины 0,1- 0,2 на холостом ходу до 0,75- 0,90 при номинальной нагрузке. Поэтому при проектировании электрических приводов нельзя допускать необоснованного запаса установленной мощности, т. е. необходимое электрооборудование следует выбирать так, чтобы большую часть времени при своей работе оно было загружено на расчетную номинальную мощность.
С целью повышения коэффициента мощности и снижения реактивной мощности электроустановок (потребителей) используют следующие мероприятия, повышающие качество использования электрической энергии:
1. Упорядочение технологического процесса и улучшение энергетического режима работы оборудования;
2. Правильный выбор типа, мощности и конструктивного исполнения электрооборудования, обеспечивающий номинальный или близкий к номинальному режим его работы;
3. Переключение статорных обмоток асинхронных двигателей с треугольника на звезду при коэффициенте загрузки менее 40 %;
4. Устранение длительной работы асинхронных двигателей в режиме холостого хода (без нагрузки);
5. Отключение или замена трансформаторов, загруженных в среднем менее чем на 30% от их номинальной мощности;
6. Замена асинхронных двигателей, работающих в режиме сильной недогрузки ( менее 40 %), на двигатели меньшей мощности;
7. Замена асинхронных двигателей синхронными двигателями той же мощности, если это возможно по технико-экономическим соображениям;
8. Применение синхронных двигателей вместо асинхронных для новых проектируемых установок электропривода, если это целесообразно по технико-экономическим соображениям.
Номинальная мощность электродвигателя Р НОМ - это наибольшая полезная механическая мощность на валу электродвигателя, при которой обеспечиваются высокие технико-экономические показатели его работы и допустимый тепловой режим (без перегрева), гарантирующий длительный срок службы электродвигателя в течение 15 – 20 лет.
В зависимости от соотношения фактической мощности нагрузки на валу электродвигателя Р НАГР и его номинальной мощности Р НОМ , т. е. в зависимости от коэффициента загрузки β = Р НАГР / Р НОМ , различают три нагрузочных режима:
1. Номинальный режим: РНАГР = Р НОМ β = 1 характеризуется высокими технико-экономическими показателями работы и обеспечивает длительный срок службы электродвигателя.
2. Режим недогрузки: РНАГР < Р НОМ β < 1 характеризуется более низкими технико-экономическими показателями работы и не рекомендуется для длительной работы.
3. Режим перегрузки: РНАГР > Р НОМ β > 1 характеризуется пониженными технико-экономическими показателями работы и, кроме того, приводит к перегреву электродвигателя, что увеличивает опасность аварийного отключения, резко снижает срок его службы и поэтому практически не допускается.
S1. ДЛИТЕЛЬНЫЙ (ПРОДОЛЖИТЕЛЬНЫЙ) РЕЖИМ РАБОТЫ — это такой режим, в котором двигатель длительно работает с постоянной нагрузкой РНАГР = const ( рис.1) или с изменяющейся ( переменной) во времени РНАГР = variable (рис.3) и установившаяся температура двигателя за время его работы достигает допустимого значения Т УСТ = Т ДОП. Этот режим характерен для приводов рольгангов прокатных станов, конвейеров, эскалаторов, дымососов, вентиляторов, насосов, компрессоров, мешалок, дробилок, мельниц и др., длительность работы которых составляет часы, сутки, недели.
При работе в длительном режиме с постоянной нагрузкой по заданной мощности нагрузки на валу двигателя Р НАГР производят выбор номинальной мощности и марки двигателя при заданной частоте вращения по каталогу двигателей серии ПВ –100 ( рассчитанных на длительную работу) по условию:
РЭД НОМ = Р НАГР .
Выбранный по этому условию двигатель будет работать в допустимом тепловом режиме и тем самым обеспечит нормальную длительную работу электропривода. При этом дополнительная проверка двигателя на пусковую и перегрузочную способность при постоянной нагрузке не проводится.
Если в каталоге нет двигателя с такой номинальной мощностью, то выбирают двигатель с ближайшей большей номинальной мощностью РЭД НОМ > Р НАГР .
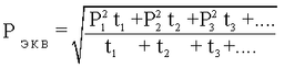
При работе в длительном режиме с переменной нагрузкой (рис.3) выбор номинальной мощности двигателя обычно проводится наиболее простым методом эквивалентной мощности:1. По нагрузочной диаграмме определяется эквивалентная мощность нагрузки на валу двигателя:
Рис.3. Нагрузочная диаграмма электродвигателя при длительном режиме работы с переменной нагрузкой
2. По каталогу двигателей серии ПВ –100 (рассчитанных на длительную работу) выбирают номинальную мощность и типоразмер (марку) двигателя при заданной частоте вращения по условию: РЭД НОМ = Р ЭКВ .
3. При работе двигателя с переменной нагрузкой обязательно необходимо проводить проверку выбранного двигателя на перегрузочную способность.
Двигатели постоянного тока проверяются на перегрузку по току и должны удовлетворять следующему условию: I НОМ ≥ I МАХ НАГР / ( 2 - 2,5) .
Асинхронные двигатели проверяются на перегрузку по пусковому и максимальному моментам и с учетом коэффициентов запаса должны удовлетворять следующим условиям:
1. λ П М НОМ ≥ К П М П НАГР ; 2. λ М М НОМ ≥ К М М М НАГР ,
















