Материал для подготовки к экзамену по электротехнике (1092854), страница 6
Текст из файла (страница 6)
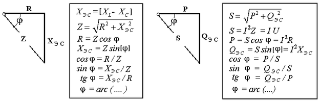
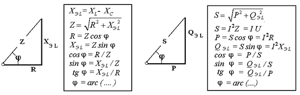
Из треугольника напряжений можно получить скалярные прямоугольные треугольники - треугольник сопротивлений (если стороны треугольника напряжений разделить на силу тока I) и треугольник мощностей (если стороны треугольника напряжений умножить на силу тока I). Из этих треугольников можно получить дополнительные количественные соотношения, необходимые для расчета электрической цепи:
2. Активно-ёмкостный режим работы последовательной (L- R- C) цепи возникает при условии X L < X C (U L < U C) и полученные при этом соотношения можно представить на плоскости в виде векторной диаграммы, на которой вектор общего напряжения U (напряжения на зажимах цепи) является замыкающей многоугольника векторов U C , U R и U L :
Вектор ( U L - U C ) = U Х ( C ) - определяет результирующе напряжение на индуктивном и ёмкостном элементах, т.е. является реактивной составляющей напряжения цепи U (в данном случае - ёмкостной составляющей напряжения цепи).
Если вектор напряжения цепи U разложить на активную составляющую (U R - совпадающую по фазе с током) и реактивную составляющую (U X - ортогональную к току), получим прямоугольный треугольник напряжений последовательной цепи, образованный векторами U, U R = I R и U Х (С ) = I (X L - X С ).
Разность реактивных сопротивлений (X L - X С ) = Х Э - называется эквивалентным реактивным сопротивлением, определяющим реактивный характер последовательной (R- L- С) цепи.
В данном случае соотношение (X L - X С ) < 0 определяет ёмкостный характер цепи, а модуль разности [X L - X С ] = Х Э C - называется эквивалентным ёмкостным сопротивлением (R- L- С) цепи.
В этом случае последовательную (R- L- C) цепь на эквивалентной схеме замещения можно представить в виде последовательного соединения резистивного R и эквивалентного ёмкостного Х Э С элементов:
и записать закон Ома для действующих значений:
.
здесь
- полное сопротивление (R- L- С) цепи.
Из треугольника напряжений можно получить скалярные прямоугольные треугольники - треугольник сопротивлений (если стороны треугольника напряжений разделить на силу тока I) и треугольник мощностей (если стороны треугольника напряжений умножить на силу тока I). Из этих треугольников можно получить дополнительные количественные соотношения, необходимые для расчета электрической цепи:
3. Особый режим работы - резонанс напряжений – возникает в последовательной (L- R- C) цепи при условии X L = X C (U L = U C). Полученные при этом соотношения можно представить на плоскости в виде векторной диаграммы, на которой вектор общего напряжения U (напряжения на зажимах цепи) является замыкающей многоугольника векторов U C , U R и U L :
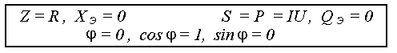
При резонансе напряжений разность реактивных сопротивлений (X L - X С ) = 0, т. е. в цепи отсутствует эквивалентное реактивное сопротивление Х Э = 0 и последовательную (R- L- C) - цепь на эквивалентной схеме замещения можно представить в виде только одного резистивного R элемента:
.В этом случае можно записать закон Ома для действующих значений:
Основные количественные соотношения в последовательной (R- L- C) - цепи при резонансе напряжений можно представить в следующем виде:
12. Расчет последовательной цепи переменного тока. Схема замещения. Резонанс напряжений. Особенности цепи.
При расчете электрической цепи обычно известны приложенное напряжение и сопротивления элементов цепи, а в результате расчёта необходимо определить ток и построить векторную диаграмму электрической цепи.
Неразветвлённая цепь переменного тока в общем случае является многоэлементной и может содержать различные комбинации последовательно включенных реальных и идеализированных элементов:
Такая последовательная цепь путем суммирования сопротивлений содержащихся в ней активных и реактивных элементов может быть приведена к простой эквивалентной схеме замещения, содержащей в общем случае три идеальных элемента:
- здесь R = ∑ R i = R 1 + R 3 + R 4 + R 5 - общее активное сопротивление последовательной цепи,
Х L = ∑ X L i = X L 1 - общее индуктивное сопротивление,
X C = ∑ X C i = X C 2 + X C 4 - общее ёмкостное сопротивление,
X L - X C = X Э - эквивалентное реактивное сопротивление,
- полное сопротивление последовательной цепи.,
- сдвиг фаз в последовательной цепи.
По закону Ома определяется ток в цепи:
,
после чего определяется напряжение на каждом из элементов цепи:
.
По полученным результатам и известному сдвигу фаз в каждом из элементов
строится векторная диаграмма. Построение векторной диаграммы для последовательной цепи удобно начинать с тока I , общего для всех элементов (участков) цепи, вектор которого обычно откладывают по горизонтали.
Из диаграммы следует, что ток в цепи I опережает общее напряжение на зажимах цепи U и общий (результирующий) сдвиг фаз в цепи φ < 0, т. е. в этом случае последовательная цепь по характеру является активно – ёмкостной ( R - С).
Эквивалентную схему замещения такой цепи можно изобразить в виде последовательного соединения активного R и эквивалентного ёмкостного элементов
X Э С = X L - X C = ∑ X L i - ∑ X C i = X L 1 – (X C 2 + X C 4 ).
Явление резонанса напряжений
Режим работы реальной электрической цепи переменного тока, содержащей реактивные элементы (индуктивности и ёмкости), при котором ток в цепи совпадает по фазе с напряжением, называется электрическим резонансом. В зависимости от структуры электрической цепи различают два вида электрического резонанса:
- резонанс напряжений - возникает в последовательной цепи переменного тока, содержащей индуктивность и ёмкость,
- резонанс токов - возникает в параллельной цепи переменного тока, содержащей ветви с индуктивностью и ёмкостью.
Резонанс напряжений возникает в последовательной цепи переменного тока -последовательном колебательном контуре, содержащем индуктивность и ёмкость. Из условия X L = Х C можно найти собственную (резонансную) частоту контура f 0 , определяемую параметрами L [Гн] и C [Ф] контура, при которой в цепи возможен резонанс напряжений:
(формула Томсона).
В цепях переменного тока явление электрического резонанса возникает, когда вынужденная частота источника электрической энергии (частота питающей сети) f совпадает с резонансной частотой контура f = f 0 .
В последовательной цепи, в общем случае содержащей несколько реактивных элементов, резонанс напряжений возникает при условии: ∑ X L = ∑ X C .
В простейшем случае, когда цепь содержит по одному реактивному элементу это условие можно записать: X L = Х C ωL = 1/(ωC
Из этого условия следует, что резонанс напряжений можно получить в цепи следующими способами:
1. Изменением собственной (резонансной) частоты цепи f 0 = var, для чего можно изменять: - индуктивность: L = (w2 μ S)/l, [Гн], при этом обычно изменяют магнитную проницаемость среды μ путем перемещения ферромагнитного (железного) сердечника и изменения длины его части, находящейся в катушке. - емкость : C = ε S/d.
2. Изменением частоты питающего тока f = var, так чтобы частота питающей сети стала равной резонансной частоте контура f = f 0 .
Особенности цепи при резонансе напряжений:
1. Электрическая цепь обладает резистивным (активным) характером: ток совпадает с напряжением (ток и напряжение синфазны), сдвиг фаз в цепи φ = 0 , Z = R и схема замещения содержит только один резистивный элемент:
2. Коэффициент мощности сos φ = 1 – вся поступающая в цепь электрическая энергия преобразуется в работу, как полезную, так и различного рода потери.
3. Полное сопротивление цепи минимально:
и равно активному сопротивлению цепи: X L – X C = 0 Z = R = min .
4. Ток в цепи максимален: I = U / Z = U / R = max и при малой величине активного сопротивления может достигать очень больших и опасных для цепи значений.
-
Цепь потребляет от сети максимальную и только активную мощность, равную полной мощности: P = I 2 R = I U сos φ = IU = S = max.
6. Цепь не потребляет от сети реактивную мощность Q = I U sin φ = 0 - обмена реактивной энергией между источником электрической энергии и цепью не происходит. Однако в самой цепи существует реактивная мощность и между реактивными элементами (катушкой и конденсатором) происходит обмен реактивной энергией. При этом индуктивная и ёмкостная составляющие реактивной мощности в цепи могут быть очень большими, поскольку при резонансе напряжений происходит их взаимная компенсация.
















