Материал для подготовки к экзамену по электротехнике (1092854), страница 5
Текст из файла (страница 5)
- катушка (реальная катушка с тепловыми потерями):
- конденсатор (реальный конденсатор с тепловыми потерями):
1. Катушка (активно-индуктивный R- L элемент) в цепи переменного тока
Реальная катушка Z наряду с индуктивностью L [Гн], связанной с наличием переменного магнитного поля в катушке, обладает активным сопротивлением R , обусловленным сопротивлением провода, из которого изготовлена катушка: R = ρ l /S [Ом].
На этом сопротивлении в катушке происходят тепловые потери электрической энергии Р = I 2 R [Вт] (так называемые “джоулевы потери”), поэтому такая катушка на схеме замещения может быть представлена в виде последовательного, а иногда параллельного, соединения активного R и индуктивного L идеальных элементов:
При включении активно-индуктивной цепи в сеть переменного тока на напряжение u в ней протекает ток i = Im Sin ωt и по второму правилу Кирхгофа для мгновенных значений напряжений можно записать:u=u R + u L ,
- или, переходя к действующим значениям напряжений, можно записать в векторной форме:
, U - напряжение на зажимах питающей сети (напряжение цепи),
- U R = I R - напряжение на активном элементе (активная составляющая)
- U L = I X L - напряжение на индуктивном элементе (индуктивная составляющая)
Полученные соотношения можно представить на плоскости в виде векторной диаграммы:
Векторы напряжений U, U R = I R и U L = I X L образуют прямоугольный треугольник напряжений, поэтому можно записать:
U 2 = (I R)2 + (I X L)2 или
откуда получаем выражение закона Ома для активно-индуктивной (R-L) цепи переменного тока:
-
здесь
- полное сопротивление активно-индуктивной (R- L) цепи.
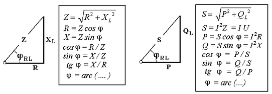
Из треугольника напряжений можно получить скалярные прямоугольные треугольники - треугольник сопротивлений (если стороны треугольника напряжений разделить на силу тока I) и треугольник мощностей (если стороны треугольника напряжений умножить на силу тока I). Из этих треугольников можно получить дополнительные количественные соотношения, необходимые для расчета электрической цепи:
2. Конденсатор (активно-ёмкостный R- С элемент) в цепи переменного тока
В конденсаторе с идеальным диэлектриком (идеальный конденсатор) предполагается полное отсутствие тока проводимости и тепловых потерь электрической энергии. В реальном же конденсаторе в отличие от идеального существуют тепловые потери ∆P [Вт], поэтому такой конденсатор может быть представлен на схеме замещения в виде последовательного, а иногда параллельного, соединения активного элемента R , учитывающего тепловые потери в диэлектрике (т.е. нагрев конденсатора - R = ∆P/ I 2 ) и ёмкостного элемента (ёмкости) С [Ф] , связанной с наличием переменного электрического поля в конденсаторе.
При включении активно-ёмкостной цепи в сеть переменного тока на напряжение u в ней протекает ток i = Im Sin ωt и по второму правилу Кирхгофа для мгновенных значений напряжений можно записать: u = u R + u С ,
- или, переходя к действующим значениям напряжений, можно записать в векторной форме:
, U-напряжение на зажимах питающей сети (напряжение цепи),
- U R = I R - напряжение на активном элементе (активная составляющая),
- U С = I X С - напряжение на ёмкостном элементе (ёмкостная составляющая напряжения цепи U или ёмкостное напряжение) отстает по фазе от тока.
Полученные соотношения можно представить на плоскости в виде векторной диаграммы:
Векторы напряжений U, U R = I R и U С = I X С образуют прямоугольный треугольник напряжений , поэтому можно записать: U 2 = (I R)2 + (I X С)2 или
-
-откуда получаем выражение закона Ома для активно-ёмкостной (R- С) цепи переменного тока:
, здесь
- полное сопротивление активно-ёмкостной (R- С) цепи.
Из треугольника напряжений можно получить скалярные прямоугольные треугольники - треугольник сопротивлений (если стороны треугольника напряжений разделить на силу тока I) и треугольник мощностей (если стороны треугольника напряжений умножить на силу тока I). Из этих треугольников можно получить дополнительные количественные соотношения, необходимые для расчета электрической цепи:
Понятие об активной, реактивной и полной мощностях.
В цепях переменного тока в связи с периодическим изменением электрического тока энергия электрических и магнитных полей периодически изменяется и между этими полями и источником электрической энергии происходит обратимый периодический процесс обмена электрической энергией. Скорость такого обратимого процесса обмена электрической энергией между источником и электрической цепью характеризуется понятием реактивная мощность Q [ ВАр], (Вольт-Ампер реактивный).
Одновременно в электрической цепи переменного тока происходит необратимый процесс преобразования электрической энергии в тепло, свет и другие виды энергии, т.е. в работу. Скорость такого необратимого процесса преобразования электрической энергии характеризуется понятием активная мощность Р [Вт], (Ватт).
Таким образом, в общем случае в цепи переменного тока одновременно происходят два процесса: процесс преобразования электрической энергии в другие виды (в работу) и процесс обратимого периодического обмена энергией между источником и цепью. Эти два одновременно протекающих процесса, накладываясь друг на друга, создают в цепи сложный единый энергетический процесс, для характеристики которого вводится понятие полная мощность S [ВА], (Вольт-Ампер).
Полученные энергетические соотношения могут быть условно представлены на плоскости в геометрической форме - в виде прямоугольного треугольника - треугольника мощностей, из которого могут быть получены дополнительные формулы, необходимые для выполнения электротехнических расчетов.
11. Последовательная цепь переменного тока, содержащая резистивный, индуктивный и емкостный элементы. Основные соотношения и особенности цепи.
Электрическая цепь, содержащая индуктивный, активный и ёмкостный элементы, является одним из случаев соединения реактивных элементов (индуктивности и ёмкости), в котором обмен реактивной энергией возможен не только между источником электрической энергии и реактивным элементом цепи, но и между реактивными элементами внутри самой цепи. Такая цепь является последовательным колебательным контуром, в котором существует периодический обмен электрической энергией между переменным магнитным полем индуктивности и переменным электрическим полем ёмкости.
При включении (L- R- C) - цепи в сеть переменного тока на напряжение u в ней протекает ток i = Im Sin ωt
Для такой цепи по второму правилу Кирхгофа для мгновенных значений напряжений можно записать: u = u L + u C + u R ,
- или, переходя к действующим значениям напряжений, можно записать в векторной форме:
, U - напряжение на зажимах питающей сети (напряжение цепи), U L = I X L - напряжение на индуктивном элементе (индуктивное напряжение) опережает по фазе ток
- U R = I R - напряжение на активном элементе (активное напряжение) совпадает по фазе с током , U С = I X С - напряжение на ёмкостном элементе (ёмкостное напряжение) отстает по фазе от тока
В зависимости от соотношения величин реактивных сопротивлений различают три режима работы электрической цепи:
1. (X L > X C ) - цепь обладает активно-индуктивным характером.
2. (X L < X C ) - цепь обладает активно-ёмкостным характером.
3. (X L = X C ) - особый режим работы последовательной (L- R- C) цепи - резонанс напряжений - цепь обладает активным (резистивным) характером.
1. Активно-индуктивный режим работы последовательной (L- R- C) цепи возникает при условии X L > X C (U L > U C) и полученные при этом соотношения можно представить на плоскости в виде векторной диаграммы, на которой вектор общего напряжения U (напряжения на зажимах цепи) является замыкающей многоугольника векторов U L , U R и U C :
Вектор ( U L - U C ) = U Х ( L) - определяет результирующе напряжение на индуктивном и ёмкостном элементах, т.е. является реактивной составляющей напряжения цепи U (в данном случае - индуктивной составляющей напряжения цепи).
Если вектор напряжения цепи U разложить на активную составляющую (U R - совпадающую по фазе с током) и реактивную составляющую (U X - ортогональную к току), получим прямоугольный треугольник напряжений последовательной цепи, образованный векторами U, U R = I R и U Х (L) = I X L - I X С = I (X L - X С ).
Из полученного треугольника напряжений можно записать:
U 2 = (I R)2 + [I (X L - X С )]2 или
-
откуда получаем выражение закона Ома для последовательной (R- L- С) цепи переменного тока:
, здесь
- полное сопротивление (R- L- С) цепи.
Разность реактивных сопротивлений (X L - X С ) = Х Э - называется эквивалентным реактивным сопротивлением, определяющим реактивный характер последовательной (R- L- С) цепи.
В данном случае соотношение (X L - X С ) > 0 определяет индуктивный характер цепи, а разность (X L - X С ) = Х Э L - называется эквивалентным индуктивным сопротивлением (R- L- С) цепи.
В этом случае последовательную (R- L- C) цепь на эквивалентной схеме замещения можно представить в виде последовательного соединения резистивного R и эквивалентного индуктивного Х Э L элементов:
и записать закон Ома для действующих значений:
















