Материал для подготовки к экзамену по электротехнике (1092854), страница 13
Текст из файла (страница 13)
1. Передачу электрической энергии осуществлять при возможно более высоком технико-экономически обоснованном напряжении (обычно 500– 750 кВ). С этой целью производитель (поставщик) электрической энергии устанавливает в начале ЛЭП повышающие трансформаторы.
2. Повышать коэффициент мощности потребителей электрической энергии, т. е. повышать качество использования электрической энергии потребителем.
Мероприятия по компенсации реактивной мощности потребителей
В случае недостаточной эффективности естественного способа повышения коэффициента мощности с помощью мероприятий по оптимизации режима работы электрооборудования необходимо использовать искусственный способ - мероприятия по компенсации реактивной мощности (параллельная компенсация реактивной мощности).
Суть этих мероприятий заключается в том, что для получения реактивной мощности, необходимой потребителю (например, асинхронному двигателю), используется собственный местный источник реактивной мощности (компенсирующая установка), который устанавливается непосредственно на предприятии и включается в питающую сеть параллельно с реактивным потребителем электрической энергии.
В режиме полной компенсации потребляемой реактивной мощности потребителя (асинхронного двигателя) результирующий коэффициент мощности (асинхронного двигателя и компенсирующей установки) cos = 1 – наступает режим резонанса токов и в этом случае происходит полное разделение потоков электрической энергии получаемой потребителем: 1. активную мощность асинхронный двигатель в полном объеме по-прежнему получает от централизованного источника электроснабжения (генераторов электростанции),
2. реактивную мощность асинхронный двигатель в полном объеме получает от собственной местной компенсирующей установки – местного генератора реактивной мощности.
В случае проведения неполной (частичной) компенсации результирующий коэффициент мощности (асинхронного двигателя и компенсирующей установки) cos < 1, поэтому некоторую часть своей реактивной мощности асинхронный двигатель будет по-прежнему получать от питающей сети (генераторов электростанции), а недостающую часть - от местной компенсирующей установки, генерирующей реактивную мощность.
Определение мощности компенсирующих устройств
При компенсации реактивной мощности небольших промышленных установок (например, асинхронного электродвигателя) применяется индивидуальная параллельная (поперечная) компенсация, когда компенсирующую установку - батарею статических конденсаторов (БСК) - устанавливают вблизи потребителя электрической энергии и включают параллельно вместе с ним в питающую сеть. В случае асинхронного электродвигателя батарею статических конденсаторов можно подключить непосредственно к клеммам двигателя или магнитного пускателя (контактора).
Схема параллельной компенсации реактивной мощности (режим полной компенсации)
С помощью подключения статических конденсаторов различной емкости к зажимам потребителя, можно повысить результирующий коэффициент мощности cos до любого значения вплоть до cos = 1 ( режим полной компенсации). Однако экономически целесообразно повышение результирующего коэффициента мощности до нормируемого значения cos = 0,92 - 0,95, поскольку при дальнейшем его увеличении ток в сети уменьшается очень незначительно, хотя мощность и стоимость батареи конденсаторов значительно возрастают.
Емкость батареи конденсаторов при индивидуальной компенсации, необходимая для получения заданного результирующего коэффициента мощности cos может быть рассчитана по следующей формуле:
, Р НОМ - номинальная мощность потребителя, β РНОМ - рабочая (полезная) мощность потребителя, β - коэффициент загрузки, - коэффициент полезного действия потребителя, U - питающее напряжение, - угол сдвига фаз в потребителе (в питающей сети до компенсации), - результирующий угол сдвига фаз в питающей сети после компенсации.
Из формулы видно, что при прочих равных условиях емкость компенсирующей батареи конденсаторов обратно пропорциональна квадрату напряжения на ее зажимах (С ~ 1/ U 2 ). Поэтому с целью снижения емкости, габаритов и стоимости компенсирующей батареи в случае трёхфазного потребителя её следует собирать по схеме «треугольник», при этом иногда оказывается выгодным подключать конденсаторную установку через повышающий трансформатор. Кроме того, с целью снижения тепловых потерь в соединительных проводах, компенсирующую установку размещают возможно ближе к потребителю электрической энергии (асинхронному двигателю).
22. Основные характеристики магнитного поля. Свойство ферромагнитных материалов и особенности их поведения в переменных магнитных полях. Явления гистерезиса и вихревых токов.
ОСНОВНЫЕ ХАРАКТЕРИСТИКИ МАГНИТНОГО ПОЛЯ
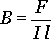
1) Магнитная индукция B - единица измерения - Тесла [Тл] - векторная величина, основной силовой параметр магнитного поля, характеризующий интенсивность магнитного поля в данной точке с учётом влияния среды. Величина магнитной индукции определяется по силовому воздействию магнитного поля на проводник с током:
[Н, ньютон] =>
[Тл, тесла].
Магнитная индукция зависит от напряжённости магнитного поля в данной точке поля Н [А/м] и от магнитных свойств (магнитной проницаемости ) материала, вещества или среды, в которой создаётся магнитное поле:
.
Строение (конфигурацию) магнитного поля часто изображают графически с помощью так называемых магнитных силовых линий или линии магнитной индукции.
Магнитной силовой линией называется геометрическая линия, в каждой точке которой вектор магнитной индукции является касательной к этой линии.
За положительное направление магнитного поля (магнитной индукции) условно принимают направление, указываемое северным полюсом магнитной стрелки, т.е. вне магнита – положительное направление индукции от северного полюса магнита N к южному S , а внутри магнита – от южного полюса S к северному N.
2) Магнитный поток Ф - единица измерения - Вебер [Вб] - величина, численно равная количеству линии магнитной индукции, пересекающих данную площадь. Магнитный поток определяется как поток вектора магнитной индукции через выбранную поверхность S [м2]:
Магнитный поток - скалярная величина, но если в некоторых случаях указывается направление магнитного потока, то это означает направление вектора магнитной индукции.
3) Напряженность Н [А/м] – векторная величина, характеристика магнитного поля, которая не зависит от свойств среды, а определяется конфигурацией устройства и величиной тока, создающего магнитное поле.
В однородной среде направление вектора напряжённости магнитного поля Н совпадает с направлением вектора магнитной индукции В и определяется касательной, проведённой в данной точке поля к силовой линии.
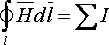
Зависимость напряжённости магнитного поля от величины намагничивающего тока, создающего магнитное поле, описывает закон полного тока:
линейный интеграл напряжённости магнитного поля по замкнутому контуру равен полному току, проходящему через этот контур:
В случае, когда магнитное поле создаётся катушкой, полный ток равен произведению силы тока в катушке на число витков обмотки катушки = I W .
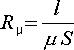
Величина магнитного потока в магнитной цепи и намагничивающая сила связаны между собой выражением, по структуре аналогичным закону Ома и называемым – закон Ома для магнитной цепи:
, где
- магнитное сопротивление магнитопровода; l, S - длина и площадь сечения магнитопровода;
- магнитная проницаемость материала среды (магнитопровода).
4) Магнитная проницаемость
[Гн/м] – характеристика магнитных свойств материала или среды, определяет свойство материала намагничиваться, т.е. создавать собственное магнитное поле под действием внешней намагничивающей силы.
Магнитная индукция и напряженность магнитного поля связаны соотношением:
.
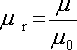
Для сравнения магнитных свойств различных материалов обычно используется безразмерная величина - относительная магнитная проницаемость
[-],- здесь
[Гн/м] - магнитная постоянная, характеризующая магнитные свойства вакуума.
Ферромагнитные материалы - получили широкое применение в промышленной электротехнике в качестве материала для изготовления магнитопроводов электротехнических устройств, аппаратов, электрических машин и другого электрооборудования.
Применение ФММ с высокой магнитной проницаемостью для изготовления магнитопроводов (сердечников) позволяет получать сильные магнитные поля и тем самым повысить мощность и технико-экономические показатели электротехнического оборудования :
Особые свойства ферромагнетиков связаны с особенностями их молекулярного строения - даже в отсутствии внешнего магнитного поля в ферромагнетике существуют самопроизвольно (спонтанно) намагниченные микрообласти - так называемые домены, размером порядка 10 - 2 - 10 – 4 см.
В целом доменная структура кристалла ферромагнетика представляет собой множество хаотически ориентированных намагниченных доменов, в результате чего их локальные магнитные поля взаимно компенсируются и кристалл ферромагнетика не обладает магнитным полем.
При внесении ферромагнитного образца во внешнее магнитное поле происходит частичное разрушение и упорядочение хаотической ориентации магнитных полей доменов в направлении внешнего магнитного поля, что приводит к резкому усилению магнитного поля, т.е. к увеличению магнитной индукции.
По мере увеличения внешнего магнитного поля при некотором его значении (довольно большом - порядка 1,0 - 1,5 Тл) наступает полная упорядоченная ориентация доменов. При этом материал теряет свои ферромагнитные свойства и проявляет сильные парамагнитные свойства - наступает явление магнитного насыщения, после чего магнитная индукция остаётся практически постоянной В ≈ const .
Особенности поведения ферромагнитных материалов в переменном магнитном поле
В большинстве электротехнических установок ферромагнитные материалы (ФММ) работают в переменных магнитных полях и при этом подвергаются периодическому (циклическому) перемагничиванию.
Явление гистерезиса
При помещении образца ферромагнитного материала в переменное магнитное поле происходит циклическое перемагничивание ФММ, которое сопровождается периодической переориентацией магнитных полей доменов и частичным разрушением доменной структуры ферромагнетика. При этом вследствие запаздывания (инерцией) структурных изменений в образце ФММ изменение магнитной индукции В также будет запаздывать от изменения напряженности внешнего магнитного поля Н.
Явление запаздывания изменений магнитной индукции В от изменений напряженности магнитного поля Н называется магнитным гистерезисом.
Явление гистерезиса объясняется инерцией изменений ориентации магнитных полей и структуры доменов ферромагнитных материалов.
















