КОЭ (1084716), страница 8
Текст из файла (страница 8)
П
оляризация кристалла в поле световой волны в общем случае может зависеть от направления вектора E, а потому связь между вектором электрической индукции D и напряженностью электрического поля E должна быть записана в виде, позволяющем учесть анизотропию, а именно соотношением, в котором каждая компонента вектора D связана линейно с компонентами Е:
(3.37)
Д
евять величин
являются постоянными среды (на самом деле они зависят от частоты и температуры) и составляют тензор диэлектрической проницаемости. Вектор D равен произведению этого тензора на вектор Е. В анизотропной среде эти векторы неколлинеарны.Соотношения (3.37) можно записать в более компактной форме:
В
кристаллооптике доказывается, что из закона сохранения энергии следует симметричность компонент тензора диэлектрической проницаемости, т. е.
Там же доказывается, что для любого кристалла можно найти три таких главных направления х, у и z, для которых справедливы соотношения:
(3.38)
Система координат, в которой тензор диагонализован, называется главной системой координат, а её оси — главными диэлектрическими осями. Для кристаллических тел главная система координат обычно совпадает с кристаллографической. Симметрия кристаллов накладывает некоторые ограничения на диагональные компоненты
которые называются главными значениями тензора
В кубических кристаллах
Это означает, что в таких кристаллах
и по своим оптическим свойствам они изотропны. В кристаллах с гексагональной, тригональной и тетрагональной сингониями
В кристаллах, имеющих более низкую симметрию,
Их оптические свойства анизотропны.
Соответствующие главным значениям тензора диэлектрической проницаемости показатели преломления
и
называются главными показателями преломления .
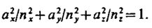
В общем случае плотность электрической энергии в электромагнитной волне
В главной системе координат
откуда следует, что поверхность постоянной плотности энергии
в пространстве
имеет форму эллипсоида. Действительно, если обозначить вектор
через а, то уравнение для поверхности постоянной плотности энергии (3.40) можно переписать
Это есть уравнение эллипсоида с главными осями вдоль направлений х, у, z. Длины полуосей эллипсоида равны соответственно
Этот эллипсоид определяет поверхность постоянной плотности энергии и называется эллипсоидом показателя преломления или оптической индикатрисой.
В анизотропных средах в общем случае направление потока энергии неколлинеарно направлению распространения фазы, т. е.
.
В анизотропных кристаллах понятие «показатель преломления» не имеет такого простого отношения к закону преломления, как в изотропных средах. В общем случае в анизотропной среде в одном и том же направлении могут распространяться две плоские электромагнитные волны, плоскости поляризации которых взаимно перпендикулярны. Показатели преломления и скорости распространения этих волн различны. Такое явление называется двулучепреломлением. Определить два разрешенных направления поляризации и соответствующие им показатели преломления можно с помощью оптической индикатрисы. Для этого через центр эллипсоида проводят плоскость, перпендикулярную направлению распространения. Линия пересечения этой плоскости с эллипсоидом образует эллипс, две оси которого параллельны двум искомым направлениям поляризации, а длины полуосей равны показателям преломления. Отметим, что под направлением распространения здесь подразумевается направление нормали, а не потока энергии к волновому фронту. В кристаллах кубической симметрии оптическая индикатриса представляет собой сферу.Свет, распространяющийся вдоль оптической оси кристалла, не испытывает двулучепреломления.
В
одноосных кристаллах уравнение эллипсоида показателей преломления (3.41) упрощается:
Здесь оптическая ось направлена по z и совпадает с осью симметрии кристалла. Величина
называется показателем преломления для обыкновенного луча, а
— главным показателем преломления для необыкновенного луча.
Поляризационные преобразования. Если лазерный пучок не поляризован, то выделить из него составляющую с заданной поляризацией возможно с помощью поляризатора. Поляризатором называют оптическое устройство, которое преобразует про-
проходящий через него естественный свет в поляризованный. В зависимости от типа создаваемой поляризации поляризатор называют линейным, циркулярным или эллиптическим.. Действие поляризатора состоит в том, что он, разделяя первоначальный пучок на две ортогональные по поляризации компоненты, пропускает одну из них и поглощает или отклоняет другую. Для этой цели могут быть использованы оптические явления: дихроизм, двойное лучепреломление, отражение и рассеяние.
На практике чаще всего используют двупреломляющие или отражательные фазовые пластинки. К первым относятся пластинки из кристаллического кварца или исландского шпата, вырезанные параллельно оптической оси, а также пластинки слюды, пленки ориентированного целлофана или поливинилового спирта, стеклянные пластинки с остаточным натяжением и т. п. Для создания сдвига по фазе может быть использован эффект Фарадея. При работе в микроволновом радио диапазоне в качестве фазовых пластинок используются решетки из металлических проволок, стержней или пластин.
32. Линейный электрооптический эффект, матрица электрооптических коэффициентов.
Под электрооптическими, магнитооптическими и пьезооптическими эффектами понимают эффекты, связанные с изменением оптических свойств вещества под воздействием внешних электрических и магнитных полей или упругих механических деформаций
Общим для указанных эффектов является то, что внешние воздействия приводят к изменению симметрии кристалла, следствием чего является изменение его свойств. Линейный и квадратичный электрооптнческие эффекты.
Тензор а, так же как и тензор ε, является симметричным тензором второго ранга, а его компоненты — компонентами тензора диэлектрической непроницаемости, или поляризационными константами. В главной системе координат при Е=0
(10.2)
_
При наложении электрического поля эллипсоид оптической индикатрисы поворачивается и деформируется. Главные оси этого эллипсоида в общем случае не будут совпадать с главными осями исходного эллипсоида, в системе координат xyz которого уравнение оптической индикатрисы принимает вид
(10.3)
Изменение коэффициента оптической индикатрисы под воздействием внешнего электрического поля в общем случае будет описываться соотношением:
где
— компоненты вектора напряженности внешнего поля Е.
Первое слагаемое в правой части выражает линейный электрооптический эффект, второе — квадратичный электрооптический эффект, остальные слагаемые соответствуют эффектам более высокого порядка.
Коэффициенты
составляют тензор третьего ранга, компоненты которого называются линейными электрооптическими коэффициентами. Этот тензор симметричен по первым двум индексам и по симметрии аналогичен тензору пьезоэлектрических модулей. В центросимметричных кристаллах все компоненты тензора коэффициентов линейного электрооптического эффекта обращаются в нуль. Поэтому линейный электрооптический эффект возможен только в кристаллах, не обладающих центром инверсии. Изменение показателя преломления
в слабых полях пропорционально приложенному полю.
Для сокращения записи часто вместо трехиндексовой системы обозначений rijk используют двухиндексовую (матричную) систему, заменяя два индекса, по которым тензор симметричен. Тогда линейное изменение поляризационных констант под воздействием внешнего электрического поля Е будет определяться выражением
(10.5)
где индекс суммирования j означает х= 1; у=2 и z = 3. Уравнение (10.5) можно записать в матричной форме:
(10.6)
Матрица 6x3с элементами
есть матрица электрооптических коэффициентов. Отметим, что линейный электрооптический эффект проявляется в тех же классах кристаллов, в которых существует пьезоэффект, т. е. в пьезоэлектриках.
Таким образом, с приложением электрического поля к кристаллу в уравнении эллипсоида показателя преломления появляются «смешанные» члены ху, yz, xz. Это означает, что главные оси эллипсоида при наличии поля не параллельны осям кристалла х, у, z. Для того чтобы найти направления и длины главных полуосей нового эллипсоида, необходимо диагонализовать матрицу, элементами которой являются константы эллипсоида (10.3).
Рассмотренный линейный электрооптический эффект называется первичным или истинным. При воздействии электрического поля на механически не закрепленные кристаллы они деформируются за счет обратного пьезоэффекта. Эти деформации из-за упругооптического эффекта приводят к дополнительному изменению оптической индикатрисы (вторичный электрооптический эффект). Так как деформация кристалла зависит от способа его закрепления и частоты внешнего поля, то вторичный электрооптический эффект будет максимален на частоте собственных колебаний кристалла в держателе. В механически зажатом кристалле, когда он не может деформироваться под воздействием поля Е, или на высоких частотах, когда деформация не успевает следовать за изменением поля, будет проявляться только истинный электрооптический эффект.
















