КОЭ (1084716), страница 5
Текст из файла (страница 5)
Исключительно важное значение в оптоэлектронике и интегральной оптике играют диэлектрические волноводы (световоды), где пучок света распространяется, испытывая многократное отражение и рефракцию.
Рассмотрим прохождение света через границу раздела двух непоглощающих (диэлектрических) сред. Пусть эта граница будет плоской (зеркальной). При падении на такую границу плоской монохроматической волны часть ее отразится, а часть пройдет в другую среду. Амплитуды, фазы и направления распространения отраженной и преломленной (прошедшей) волн определяются согласованием волновых полей в соответствии с граничными условиями. Требование непрерывности фазы приводит к равенству тангенциальных (параллельных границе раздела) составляющих волновых векторов падающей (индекс 1), отраженной (индекс R) и преломленной (индекс 2) волн;
при этом
— длина волны света в веществе. В случае изотропных сред нормальные составляющие для отраженной и падающей волн равны по величине и противоположны по направлению:
Это допускает лучевую трактовку прохождения границы раздела двух изотропных сред в приближении геометрической оптики, как показано на рис. 3.5, а. При падении пучка света с интенсивностью
из изотропной среды с показателем преломления
на плоскую границу раздела с изотропной однородной средой с показателем преломления п2 часть его
отражается, а часть
проходит (преломляется)
Эффект полного внутреннего отражения. Рассмотрение вопроса о прохождении электромагнитной волны через границу раздела показывает следующее. Если луч падает на поверхность раздела под углом, большим критического угла полного внутреннего отражения:
то он отражается не точно в месте падения, а проникает на некоторое расстояние во вторую среду с
и снова выходит, но на расстоянии D вдоль поверхности раздела под углом, равным углу отражения. При этом амплитуда прошедшей волны экспоненциально затухает по мере удаления от границы раздела с показателем затухания
Следовательно, при углах падения, при которых
прошедшая (преломленная) волна представляет собой поверхностную волну, амплитуда которой экспоненциально затухает по нормали к поверхности раздела.
При полном внутреннем отражении отраженная волна приобретает фазовый сдвиг е-iФ, зависящий от угла падения. Эта зависимость может быть получена из (3.26), (3.27):
Можно показать, что полное внутреннее отражение плоской волны на границе раздела двух диэлектрических сред сопровождается теми же эффектами, что и отражение от идеальной металлической плоскости, смещенной на некоторое расстояние х0 от поверхности раздела рассматриваемых сред (рис. 3.6, б). Важно, что х0 зависит от угла падения. Из рис. 3.6, б нетрудно найти:
Фазовый сдвиг
связанный с разностью хода
К этому сдвигу необходимо добавить скачок фазы, равный
который появляется при отражении от металлической поверхности. В результате получаем соотношение
, которое полезно сравнить с (3.28).
Эффект полного внутреннего отражения широко используется для направленной передачи света по различного рода диэлектрическим волноводам, называемым также световодами.
Рассмотрим распространение света по простейшему планарному волноводу, представляющему собой оптически прозрачный диэлектрический слой толщиной d с показателем преломления
расположенный между двумя диэлектрическими полупространствами с показателями преломления
так, что
Распространение светового луча в таком волноводе схематически показано на рис. 3.7. Световая волна испытывает многократное полное внутреннее отражение и распространяется по зигзагообразному пути, поэтому ее иногда называют зигзагообразной волной. Для количественного описания электромагнитной волны необходимо решить уравнения Максвелла с соответствующими граничными условиями.
Р
аспространяясь по оптическому волноводу накладывается сама на себя. Результирующая волна в волноводе представляет собой сумму полей первоначальной и отраженных волн. Ее интенсивность будет нарастать только в том случае, если основная и отраженная волны складываются в фазе. Волна, распределение поля в которой удовлетворяет условию резонанса, называется волноводной модой. Каждой из разрешенных для данного волновода мод в геометрическом приближении может быть сопоставлен определенный дискретный угол распространения и эффективный показатель преломления
определяющий скорость движения волноводной моды вдоль оптической оси.
Собственная волноводная мода соответствует замкнутому в сердцевине свету. Для нее коэффициент распространения определяется из условия формирования двух стоячих плоских волн
а потому
принимает дискретные собственные значения
Найдем собственные значения угла
. Для образования стоячей волны должны интерферировать между собой такие бегущие волны, которые в точке с одной и той же координатой х имеют одинаковые фазы
Существует максимальное значение т, вытекающее из условия полного внутреннего отражения. Максимальный угол
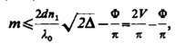
при котором происходит полное отражение, определяется как
Параметр ∆ называется удельной разницей показателей преломления и определяется через показатели преломления волновода и оболочек
Из (3.33), (3.34), (3.35) находим
Каждому значению
отвечает своя волноводная мода, распространяющаяся в световоде с минимальными потерями. Каждой моде соответствует свое распределение поля. Скорость распространения волноводной моды вдоль оси z различна для разных мод:
где эффективный показатель преломления
связан с ее постоянной распространения
24. Характеристики лазерного излучения. Спектр излучения, когерентность, расходимость выходного излучения.
Когерентность характеризует согласованность (корреляцию) протекающих во времени и в пространстве колебательных и волновых процессов. Математически степень когерентности описывается с помощью корреляционных функций, а экспериментально определяется по наблюдению интерференционной картины.
Наивысшей (полной) когерентностью обладает идеально монохроматическая линейно поляризованная волна. Когерентность лазерного излучения является следствием согласованности процессов вынужденного испускания, лежащих в основе действия лазера.
Для электромагнитной волны можно определить два независимых понятия — пространственную и временную когерентность. Под пространственной когерентностью понимают корреляцию фаз э.в., испущенных из двух различных точек источника в одинаковые моменты времени. Под временной когерентностью подразумевают корреляцию фаз э. в., испущенных из одной и той же точки источника в различные моменты времени.
С
тепень взаимной когерентности можно экспериментально оценить по контрасту интерференционной картины
где
— интенсивности в минимуме и максимуме интерференционных полос. Измерив интенсивности
вблизи выбранной точки экрана, можно определить функцию
характеризующую степень взаимной когерентности первого порядка:
Направленность определяет расходимость светового пучка в пространстве и характеризуется плоским или телесным углом.
Направленность излучения, генерируемого лазером, определяется свойствами резонатора. Расходимость лазерного пучка при генерации на одной аксиальной моде близка к предельно достижимой расходимости, которая ограничивается явлениями дифракции.
Дифракционная расходимость является следствием естественного расширения лазерного пучка по мере движения световых волн в пространстве. Мерой дифракции и мерой расходимости может служить угол θD, под которым из отверстия виден диаметр первого темного кольца. Вычисления дают, что при d» λ угол расходимости: θD=2,44λ/d
25. Способы селекции мод в лазере. (Неустойчивый резонатор, диафрагма, поглощающая пластинка, дисперсионные и решеточные элементы, пластинка под углом Брюстера)
Р
езонаторы с произвольными сферическими зеркалами. Эти резонаторы состоят из двух соосных сферических зеркал радиусами R1 и R2, расположенных на расстоянии L друг от друга.
Сферический резонатор может быть либо устойчивым, либо неустойчивым (в последнем случае резонатор теряет свои резонансные свойства). Например, если резонатор образован двумя одинаковыми сферическими зеркалами радиусами R, причем L>2R, то, ему невозможно подобрать эквивалентный конфокальный резонатор. Это означает, что в таких резонаторах невозможно образование устойчивого стационарного распределения электромагнитного поля с малыми потерями. Неустойчивые резонаторы применяют для селекции (отбора) неаксиальных колебаний.
Иногда необходима, чтобы генерация осуществлялась бы на одной моде. Такой режим называется одномодовым. Для этого необходимо выделить основную моду при подавлении поперечных мод. Это можно сделать за счет увеличения потерь при увеличении поперечных индексов мод m и n. Но в устойчивых резонаторах дифракционные потери существенно меньше потерь на частичное пропускание зеркал, а потому добротность Q резонатора для аксиальных (продольных) и неаксиальных (поперечных) колебаний низших порядков слабо зависит от m и n. В этом случае разница в дифракционных потерях не может служить основой для селекции колебаний, но она может быть основана на различии в пространственном распределении поля мод с различными поперечными индексами m и n. Поскольку в резонаторах со сферическими зеркалами основная мода имеет гауссово распределение с минимальной шириной пучка r1/e, то простейшим и часто применяемым на практике способом селекции является диафрагмирование пучка внутри резонатора. Для этого внутри резонатора помещают диафрагму, размер отверстия которой примерно равен поперечному размеру моды, следующей за основной. Такая диафрагма будет создавать большие потери для неаксиальных колебаний, большая часть энергии которых сосредоточена по периферии. Очевидно, что при наличии диафрагмы внутри резонатора число Френеля N будет определяться не поперечным размером зеркала, а размером отверстия этой диафрагмы.















