КОЭ (1084716), страница 7
Текст из файла (страница 7)
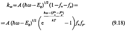
Преобразуем:
Зависимости (9.18) для двух температур
проиллюстрированы на рис. 9.17. При высоких уровнях накачки в области энергий фотонов
в полном соответствиис (9.18) показатель поглощения
становится отрицательным. Этот диапазон энергий с отрицательным показателем поглощения как раз является спектральным диапазоном, в котором возможно усиление. Очевидно, что с ростом интенсивности накачки увеличивается расстояние между квазиуровнями Ферми, показатель усиления
в области низких энергий насыщается, а его максимум сдвигается в сторону больших
Поскольку минимальное энергетическое расстояние между
равно ширине запрещенной зоны
, это неравенство можно записать в виде
Соотношение (4.76) определяет условие инверсии населенностей в собственном полупроводнике для переходов зона—зона. Для того чтобы обеспечить преобладание усиления за счет процессов вынужденного испускания в полупроводнике над процессами собственного поглощения, необходимо создать такие избыточные неравновесные концентрации носителей заряда в зоне проводимости и в валентной зоне, при которых расстояние между квазиуровнями Ферми будет превышать ширину запрещенной зоны полупроводника. т. е. возбуждение должно быть настолько интенсивным, чтобы создать вырождение в зоне проводимости и в валентной зоне.
В общем случае, применяя аналогичные рассуждения, нетрудно получить условие инверсии для любых типов излучательных переходов с испусканием фотона
Условие (4.76а) является необходимым, но не достаточным для получения усиления или генерации в системе в целом.
28. Конструкция полупроводникового инжекционного лазера. Условия генерации.
Особенностью полупроводников, выделяющей их в отдельный класс материалов, является возможность управляемо изменять (инвертировать) тип их электропроводности. При этом диапазон изменения удельного сопротивления может достигать двадцати и более порядков. Использование процессов излучательной рекомбинации в полупроводниках при инжекции неосновных носителей заряда через p-n-переход позволило создать новые классы приборов — светодиоды и полупроводниковые инжекционные лазеры.
Преимущества: малые габариты, мгновенная готовность к работе, низкие рабочие напряжения, надежность, совместимость с интегральной полупроводниковой технологией, экономичность,— светодиоды и инжекционные лазеры с высокой эффективностью преобразуют электрическую энергию (сигнал) в световую. Светодиоды преобразуют электрический сигнал в некогерентное, а инжекционные лазеры — в когерентное излучение оптического диапазона.
Есть возможность получения высоких значений коэффициентов усиления с единицы длины.
Второй особенностью полупроводников является возможность непосредственного преобразования электрической энергии в световую при инжекционной электролюминесценции. Эта особенность реализуется только в инжекционных лазерах
По механизму возбуждения полупроводниковые лазеры разделяют на лазеры с электронной или оптической накачкой и на инжекционные лазеры.
В инжекционных лазерах накачка производится путем инжекции неосновных носителей заряда через p-n-переход при пропускании через него тока в прямом направлении.
О
бщая схема инжекционного лазера приведена на рис. 9.22. При подаче смещения в прямом направлении электроны инжектируются в p-область, а дырки — в n-область, создавая вблизи p-n-перехода активный слой, в котором происходит излучательная рекомбинация. При большой плотности тока в вырожденном переходе в этом слое может быть реализовано условие инверсии. Плоскость p-n-перехода должна быть строго перпендикулярна сколотым граням резонатора, как показано на рис. 9.22. Для обеспечения эффективного взаимодействия света с активной средой необходимо совместить область, в которой создана инверсия, с областью распространения светового излучения, т. е. в одном и том же активном слое локализовать неравновесные носители заряда и фотоны.
В полупроводниковых лазерах, как и в лазерах других типов, условие инверсии является необходимым, но не достаточным для возникновения генерации. Достаточным условием является преобладание усиления над потерями.
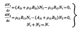
29. Скоростные (балансные) уравнения для концентраций электронов и фотонов.
Чтобы определить, при каких условиях можно получить инверсию населенностей между конкретными энергетическими уровнями, следует знать кинетику заполнения энергетических состояний при наличии накачки. Для этого необходимо составить и решить соответствующие кинетические уравнения (уравнениями баланса).
Пусть известен спектр разрешенных энергетических состояний системы и вероятности переходов wmn между любыми уровнями энергии тип. Тогда изменение числа частиц на уровне Ет выразится соотношением
З
десь первое слагаемое учитывает переход частицы на уровень т со всех остальных уровней л, второе слагаемое — уменьшение населенности m-го уровня за счет переходов из этого состояния во все остальные состояния п. Так как общее число частиц N в единице объема в стационарных условиях остается неизменным, то(2.15)
Для каждого уровня может быть записано свое уравнение баланса, так что получится система из К уравнений (2.10), из которых К-1 уравнений линейно независимы.
Д
остигнув стационарного состояния, когда число частиц на каждом из уровней останется неизменным во времени,
и получится система линейных однородных уравнений:
(2.16)
Элементарные процессы, приводящие к образованию инверсии на рабочих уровнях, определяются переходами между рядом энергетических состояний. Учесть только те переходы, которые вносят существенный вклад в изменение населенности рабочих уровней под воздействием внешнего возбуждения.
Двухуровневая схема. Рассмотрим систему из двух энергетических уровней
, из которых
является основным, т. е. заполненным в условиях термодинамического равновесия. Для простоты будем считать уровни невырожденными
В такой системе возможны спонтанные и индуцированные оптические переходы, как показано на рис. 2.6, а. Будем осуществлять оптическую накачку на частоте перехода
Плотность излучения накачки
. Тогда уравнения баланса в стационарном режиме будут иметь вид
Учитывая, что
, находим населенности уровней:
Если взять два уровня с разными статистическими весами
и
, то аналогично получим, что в пределе
число частицна верхнем уровне2, а на нижнем уровне1
Хотя при
число частиц на уровне
может быть больше, чем на уровне
, населенность верхнего уровня
всегда меньше населенности нижнего уровня
, . инверсии населенностей и усиления нет.
Полученные результаты однозначно показывают, что по двухуровневой схеме квантовые усилители и генераторы с оптической накачкой работать не могут.
30. Характеристики и параметры полупроводникового лазера. Выходная мощность, пороговый ток. Характеристики излучения.
Лазеры на GaAlAs с длиной волны от 640 до 880 нм. Путем изменения концентрации Аl удается управлять межзонным интервалом и, следовательно, длиной волны. В качестве подложки используется GaAs, поэтому такие системы называют также GaAlAs/GaAs- или GaAs-лазерами. Мощность при генерации на одной поперечной моде может составлять до 100 мВт при кпд около 50 %.
Лазеры на InGaAs могут иметь двойную гетероструктуру. С подложкой из InGaP они излучают в красной области спектра при 640 и 700 нм. Если используется подложка InP, то получают длины волн от 900 до 1600 нм. Исполнения на InGaAsP обычно коротко именуют InP-лазерами. Лазеры на InGaAs способны излучать около 1,06 мкм .
Ширина полосы лазерных диодов может быть в диапазоне от 0,1 нм (для одномодовых лазеров с продольной накачкой) до 100 нм (в импульсных лазерах). Длина волны сдвигается на 0,25 нм/°С — при GaxAl1-xAs и на 0,5 нм/°С — при InxGa1-xAsyP1-y, . Эти лазеры нередко генерируют на нескольких модах, и тогда — вследствие изменений температуры — происходят скачки моды (межмодовый интервал ∆λ=λ2/2nL=0,6 нм, п — показатель преломления, L — длина резонатора, λ, — длина волны).
Для эксплуатации непрерывных лазерных диодов требуется источник стабилизованного тока, обязательно защищенный от коммутационных пиков, в противном случае, лазер может быть разрушен под действием перенапряжений.
31. Распространение излучения в анизотропных средах. Тензор диэлектрической проницаемости. Эллипсоид показателя преломления. Одноосный кристалл, двулучепреломление. Изменение поляризации световой волны, четвертьволновая пластинка. Примеры одноосных кристаллов.
Рассмотрим распространение света в кристаллах. Так как период кристаллической решетки (~0,5 нм) во много раз меньше длины световой волны, то кристалл можно рассматривать как однородную, но анизотропную среду. Сначала ограничимся рассмотрением той области частот, в которой отсутствует поглощение, т. е. кристалл прозрачен и ведет себя как диэлектрик.















