Глава 19 -Конвективный теплообмен и основы теории подобия (1062518)
Текст из файла
Глава XIX. КОНВЕКТИВНЫЙ ТЕПЛООБМЕН И ОСНОВЫ ТЕОРИИ ПОДОБИЯ
§ 90. Общие понятия и основы теории подобия
Конвективным теплообменом или теплоотдачей называют процесс теплообмена, который осуществляется между какой-либо твердой поверхностью и омывающей ее жидкостью или газом.
Научают и рассчитывают конвективный теплообмен на основе
закона Ньютона:
где tf — tw — разность температур жидкости и стенки; α — коэффициент теплоотдачи.
Значение α зависит от термодинамического состояния и физических свойств среды, омывающей поверхность (от ее температуры, вязкости, теплопроводности и т. д.); от скорости и режима движения среды (ламинарного или турбулентного); от формы и размеров поверхности теплообмена и др.
Исследовать опытным путем влияние каждого из этих факторов на значение коэффициента теплоотдачи α не представляется возможным, так как изменение одного из них неизбежно повлечет за собой изменение, других. Например, если изменить температуру среды, неизбежно изменятся ее плотность, вязкость, теплопроводность, при этом может также измениться режим движения жидкости. В силу этого полученное опытным путем значение коэффициента теплоотдачи α было бы справедливо только в тех условиях, в которых был проведен опыт. Для теоретического исследования зависимости коэффициента теплоотдачи от упомянутых выше факторов для каждого явления пришлось бы решать систему дифференциальных уравнений конвективного теплообмена (дифференциальные уравнения движения, энергии, сплошности, теплообмена) совместно с условиями однозначности. Однако решение такой системы дифференциальных уравнений связано с математическими трудностями.
Результаты же отдельных экспериментов не позволяют распространять их на другие явления. На помощь приходит теория
235
подобия, которая дает возможность результаты единичного опыта распространить на целую группу «подобных» явлений.
Теория подобия состоит из трех основных теорем. Первая теорема подобия гласит: у подобных явлений значения одноименных критериев подобия одинаковы, индикаторы подобия равны единице. Для получения критериев подобия дифференциальные уравнения, описывающие процесс, должны быть подвергнуты преобразованию подобия, которое заключается в следующем.
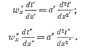
Если имеются две подобные системы, то для каждой из них можно написать
Возьмем отношения
Рассмотрим уравнение энергии конвективного теплообмена для стационарного одномерного случая
которые служат константами подобия.
Выразим переменные величины уравнения (335) через константы подобия и переменные величины первой системы:
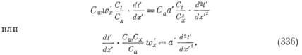
Из сравнения выражения (336) с уравнением (335) видно, что комплекс, составленный из констант подобия, должен быть равен единице.
Такие комплексы, составленные из констант подобия, называют индикаторами подобия:
Заменим в уравнении (336) константы подобия переменными величинами, тогда
Полученный комплекс безразмерен и носит название критерия подобия Пекле. Аналогично с помощью других дифференциальных уравнений, описывающих данное явление, могут быть получены необходимые критерии подобия.
Критерии подобия могут быть составлены из величин, входящих в условия однозначности, тогда они носят название определяющих, или содержать искомую величину, тогда критерий является определяемым.
Вторая теорема подобия говорит о том, что математическое описание изучаемого явления должно быть представлено в виде критериального уравнения, т. е. функциональной зависимости между определяемым критерием и определяющими константами. Значение второй теоремы подобия заключается в том, что она указывает, как должны быть обработаны результаты исследований изучаемого явления. При обработке результатов эксперимента в виде критериального уравнения последним можно пользоваться для всех подобных явлений. Какие явления подобны? На этот вопрос отвечает третья теорема подобия: подобными следует считать такие явления, для которых математическое описание совпадает и одноименные определяющие критерии подобия численно равны.
Значение третьей теоремы подобия заключается в том, что она дает возможность выделить группу явлений, на которую можно распространять данные единичных опытов, представленные в виде критериальных уравнений.
Наиболее часто мы будем встречаться со следующими критериями:
Критерий теплоотдачи (Нуссельта)
Критерий Нуссельта является определяемым критерием и характеризует интенсивность теплообмена на границе жидкость — стенка.
Критерий динамического подобия (Рейнольдса) Re=wl0/v
характеризующий соотношение сил инерции и сил вязкости в потоке жидкости.,
Критерий Грасгофа Gr=gl30t/v2, характеризующий взаимодействие подъемных сил и сил вязкости. Критерий Прандтля Рг= v/a, характеризующий физические свойства жидкости.
Произведение критериев Re*Рг = Ре носит название крите-рия Пекле.
Критерии Re, Gr, Рг, Ре являются определяющими. В этих формулах: w — скорость;
α — коэффициент теплоотдачи; v — кинематическая вязкость; а — коэффициент температуропроводности;
237
= 1/T коэффициент объемного расширения;
l0 — размер, которым определяется развитие
процесса.
При обтекании трубы, например, за определяющий размер берут диаметр трубы, при обтекании плиты — ее длину в направлении движения.
В общем случае конвективного теплообмена критериальное уравнение имеет вид
При обработке опытных данных по теплообмену очень важным является усреднение зависящих от температуры физических параметров или выбор так называемой определяющей температуры, по которой находят их значения. Определяющую температуру можно выбирать различно в зависимости от условий поставленной задачи. В некоторых случаях определяющей температурой служит средняя температура жидкости tf, которую находят по зависимости
' и " — рассматриваемые сечения потока. В некоторых случаях в качестве определяющей температуры принимают среднюю температуру стенки tw или среднеарифметическую температуру tm = (tw + tf) / 2
Обычно в критериальных уравнениях указывается, какая температура была принята определяющей, для этого используются подстрочные индексы.
Например, Num означает, что при определении величин, входящих в критерий Нуссельта, за определяющую температуру была принята средняя температура tm. Критериям Nuf и Nuw соответствуют определяющие температуры tt и tw.
§ 91. Теплоотдача при свободном движении жидкости
Движение среды, омывающей твердую поверхность, если оно вызвано разностью плотностей нагретых и холодных частиц, называют свободным.
239
Таким образом, для возникновения - свободного движения жидкости необходима разность температур.
Различают процессы теплообмена протекающие в большом по сравнению с размерами тела «неограниченном» пространстве, и процессы теплообмена, протекающие в ограниченном пространстве.
Теплоотдача в неограниченном пространстве. Исследование уравнений, описывающих свободную конвекцию на основе теории подобия, показывает, что определяющими критериями являются в этом случае Gr и Рг. Определяемым критерием служит критерий
Нуссельта Nu.
Акад. М. А. Михеевым для теплоотдачи в неограниченном пространстве получено критериальное уравнение Num = С (Рг • Gr)nm Значения коэффициента С и показателя п зависят от численного значения комплекса Gr*Рr (табл. 3) и не зависят от формы тела.
На рис. 149 показано изменение коэффициента теплоотдачи при свободном движении воздуха по высоте трубы. По направлению движения жидкости толщина ламинарного пограничного слоя растет. Процесс теплообмена в пограничном слое осуществляется главным образом вследствие явления теплопроводности, поэтому значение коэффициента теплоотдачи а уменьшается с увеличением толщины слоя. Минимальное значение а соответствует точке перехода ламинарного (струйчатого) режима в турбулентный (вихреобразный), после чего теплоотдача растет. В развитии свободного движения форма тела не имеет особого значения. Большое значение имеют протяженность
Рис. 149. Изменение коэффициента теплоотдачи по высоте трубы при свободном движении воздуха
поверхности, вдоль которой движение, и ее положение.
Около нагретых горизонтальных плоских плит движение жидкости имеет иной характер и в сильной мере зависит от положения
плиты и ее размеров (рис. 150). Если нагретая поверхность обращена кверху, то движение протекает по схеме рис. 150, а. При этом если плита имеет большие размеры, то вследствие наличия с краев сплошного потока нагретой жидкости центральная часть плиты оказывается изолированной и движение внутри происходит лишь в результате опускания холодной жидкости сверху по схеме рис. 150, б. Если же нагретая поверхность обращена вниз (рис. 150, в), то движение происходит лишь в тонком слое под
поверхностью, остальная же масса жидкости ниже этого слоя остается неподвижной.
Теплоотдача в ограниченном пространстве. В этом случае характер свободного движения в значительной мере зависит от формы замкнутого пространства и от взаимного расположения теплоот-дающей и тепловоспринимающей поверхностей (рис 151). Для вертикальных щелей характер свободного движения определяется шириной щели, для горизонтальных щелей — расположением теплоотдающей поверхности с температурой tw. Как видно из рис. 151, г при расположении теплоотдающей поверхности сверху конвективные токи отсутствуют.
Характеристики
Тип файла документ
Документы такого типа открываются такими программами, как Microsoft Office Word на компьютерах Windows, Apple Pages на компьютерах Mac, Open Office - бесплатная альтернатива на различных платформах, в том числе Linux. Наиболее простым и современным решением будут Google документы, так как открываются онлайн без скачивания прямо в браузере на любой платформе. Существуют российские качественные аналоги, например от Яндекса.
Будьте внимательны на мобильных устройствах, так как там используются упрощённый функционал даже в официальном приложении от Microsoft, поэтому для просмотра скачивайте PDF-версию. А если нужно редактировать файл, то используйте оригинальный файл.
Файлы такого типа обычно разбиты на страницы, а текст может быть форматированным (жирный, курсив, выбор шрифта, таблицы и т.п.), а также в него можно добавлять изображения. Формат идеально подходит для рефератов, докладов и РПЗ курсовых проектов, которые необходимо распечатать. Кстати перед печатью также сохраняйте файл в PDF, так как принтер может начудить со шрифтами.
















