Глава 11 ДВС (1062511)
Текст из файла
Глава XI, ЦИКЛЫ ДВИГАТЕЛЕЙ ВНУТРЕННЕГО СГОРАНИЯ
§ 57. Схема устройства п работа двигателей внутреннего сгорания
Двигателем внутреннего сгорания называется поршневой двигатель, рабочим телом в котором являются продукты сгорания топлива (жидкого или газообразного), сгорающего непосредственно в объеме цилиндра.
На рис. 80 показаны схема устройства двигателя и его индикаторная диаграмма, т. е. графическое изображение зависимости давления в цилиндре р н/м2 от хода поршня hM или от объема цилиндра V м3. Различают теоретическую и действительную индикаторные диаграммы. Индикаторной диаграммой весьма наглядно представляется рабочий цикл двигателя, т. е. некоторое вполне закономерное чередование различных процессов, протекающих в рабочем объеме его цилиндра за один или два оборота вала. При этом следует иметь в виду, что в число процессов, составляющих рабочий цикл реального двигателя, входят процессы, в течение которых количество рабочего тела меняется (впуск и выпуск), а также процессы изменения химического состава вещества (горение). Поэтому рабочий цикл двигателя не следует смешивать с термодинамическим циклом, характеризуемым постоянным количеством вещества не изменяющегося химического состава.
Рассмотрение отдельных процессов, характеризующих работу двигателя внутреннего сгорания, обычно начинают, предполагая идеальные условия работы всех его органов. Эти условия подразумевают отсутствие гидравлических сопротивлений впускного и выпускного клапанов, полное сгорание топлива при любом желаемом характере, изменения давления рабочего тела в цилиндре и процессе сгорания и адиабатное протекание процессов сжатия и расширения. При таких идеальных (теоретических) условиях рабочий цикл двигателя будет характеризоваться теоретической индикаторной диаграммой (сплошная линия на рис. 80).
В течение хода поршня от верхней точки (точки 6) к нижней (точке 1) через открытый впускной клапан поступает воздух из
атмосферы или специального ресивера. Во время всасывания давление в цилиндре равно давлению той среды, откуда происходит впуск рабочего тела. Последнее объясняется отсутствием гидравлических сопротивлений клапана. В конце впуска закрывается впускной клапан, и при ходе поршня от нижней мертвой точки к верхней сжимается свежая порция воздуха. При идеальных условиях сжатие протекает адиабатно. К концу сжатия температура повышается так, что подаваемое в цилиндр через топливный клапан (форсунку) топливо сгорает. Топливо вводится в цилиндр двумя порциями: первая подается так, чтобы она сгорела мгновенно; при этом повышается давление в цилиндре от р2 до р1 теоретически при постоянном его объеме; подача второй порции регулируется так, чтобы при его постепенном горении давление в цилиндре оставалось постоянным, несмотря на движение поршня и увеличение объема от Va до F4. Следует оговориться, что наличие в одном цикле процессов сгорания топлива при V=const и при р = const необязательно: известны циклы, в которых топливо сгорает только при р=const или при V=const.
После полного сгорания всего топлива образовавшиеся продукты сгорания адиабатно расширяются. При подходе поршня к нижней мертвой точке открывается выпускной клапан (вып.) и происходит выпуск по линии 5—1 и выталкивание по линии 1—6. В результате выпуска давление в цилиндре падает практически мгновенно (при V = const), и в течение выталкивания давление остается постоянным и равным давлению той среды, куда производится выпуск отработавших газов.
Реальные условия работы двигателей резко отличаются от идеальных. Впускной и выпускной клапаны всегда оказывают гидравлические сопротивления проходящему через них газу. Процессы сжатия и расширения в реальных условиях не могут протекать адиабатно. Сгорание также не может происходить точно при V = const и при р = const и быть полным. Отдельные порции топлива сгорают на линии расширения и даже в процессе выпуска (выпуска и выталкивания). Нужно также иметь в виду, что в течение всего рабочего цикла некоторая часть рабочего тела утекает
135
из рабочего объема через неплотности в поршневых кольцах. Это также влияет на характер действительного рабочего цикла.
В результате этого реальный рабочий процесс, представляемый действительной индикаторной диаграммой (пунктирная линия на рис. 80), существенно отличается от идеального.
Двигатели, схема которых показана на рис. 80, называют двигателями с воспламенением от сжатия, или дизелями. Другого типа двигателями являются двигатели с принудительным зажиганием. В цилиндры такого двигателя подают уже готовую смесь
топлива с воздухом, приготовленную вне цилиндра в специальных устройствах (карбюраторах). Подобные двигатели не нуждаются в топливных клапанах, но имеют особое устройство для зажигания горючей смеси в конце сжатия (электрозажигание). Если рабочий цикл двигателя совершается за четыре хода поршня (два оборота вала), то двигатель называют четырехтактным, если— за два хода поршня (один оборот вала), двигатель называют двухтактным.
На рис. 81 показаны схема двухтактного
двигателя и его теоретическая индикаторная диаграмма. В нижней части цилиндр имеет окна, которые открываются непосредственно поршнем при приближении его к нижней мертвой точке. В одной половине окружности цилиндра расположены выпускные окна, в другой — продувочные. Первые имеют большую высоту и открываются поэтому раньше вторых. К тому моменту, когда поршень открывает продувочные окна, значительная часть газов уже удалена из цилиндра через выпускные окна в выпускной коллектор и из последнего в атмосферу. После открытия продувочных окон воздух из продувочного ресивера под давлением вдувается в цилиндр; при этом из цилиндра удаляется большая часть оставшихся после выпуска продуктов сгорания. При движении поршня от нижней мертвой точки он в положении, соответствующем точке 1, закрывает выпускные окна. Продувочные окна закрываются несколько раньше. От точки 1 начинается сжатие, и дальше ра-
бочий процесс протекает так, как он протекал у четырехтактного двигателя.
Так как рабочие циклы двигателей четырех- и двухтактных включают в себя процессы, в течение которых меняется количество рабочего тела и его химический состав, то непосредственный термодинамический анализ этих процессов невозможен.
Поэтому в термодинамике рабочие циклы реальных двигателей заменяют соответствующими идеальными термодинамическими циклами двигателя, предполагая, что при осуществлении цикла химический состав рабочего тела не меняется. В таком цикле процессы сгорания топлива и выпуска продуктов сгорания заменяют соответственно процессами подвода и отвода теплоты. Само собой разумеется, что идеальный термодинамический цикл не может быть осуществлен в реальном двигателе, даже если представить теоретические условия его работы. Идеальный термодинамический цикл можно осуществить в двигателе, если из крышки цилиндра удалить клапаны, между крышкой и поршнем поместить 1 кг рабочего тела, а процессы сгорания топлива и выпуска заменить соответственно процессами подвода и отвода теплоты (рис. 82). Идеальный термодинамический цикл должен в точности соответствовать теоретическому рабочему циклу, т. е. оба цикла должны представляться в координатах р — v совпадающими фигурами, а подводимая в идеальном цикле теплота должна равняться теплоте, выделяемой при полном сгорании топлива.
§ 58. Характеристики термодинамических циклов двигателей внутреннего сгорания
Важнейшими характеристиками всякого цикла двигателя являются следующие безразмерные величины:
137
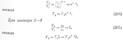
Степень сжатия — отношение удельного объема рабочего тела, соответствующего началу сжатия (точка 1 на рис. 82), к удельному объему в конце сжатия (точка 2):
Степень дополнительного повышения давления — отношение давления в конце подвода теплоты при v = const к давлению в конце сжатия:
ного объема в конце процесса подвода теплоты при р = const к удельному объему в начале этого процесса:
3) цикл с. подводом теплоты при v — const (рис. 84); степень предварительного расширения равна единице ( = 1); степень последующего расширения равна степени сжатия ( = ).
Каждый из этих циклов служит в качестве идеального для определенной группы двигателей: смешанный — для так называемых бескомпрессорных дизелей (топливо впрыскивается и распыли-вается специальным насосом); цикл с подводом теплоты при р = const — для компрессорных дизелей (топливо впрыскивается и распылпвается сжатым воздухом). Для двигателей с принудительным зажиганием (карбюраторных и газовых) идеальным циклом является цикл с подводом теплоты при v = const.
§ 59. Экономичность идеальных циклов
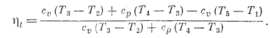
Для всякого идеального цикла показателем экономичности является его термический к. п. д.
Тогда
Определим к. п. д. смешанного цикла (см. рис. 82):
Степень последующего расширения — отношение удельных объемов в конце и в начале процесса адиабатного расширения. Последняя величина равна объему в конце процессов подвода теплоты:
Значения основных характеристик цикла оказывают решающее влияние на величину его работы и экономичность.
В зависимости от значении основных характеристик различают следующие циклы:
-
смешанный цикл; ни одна из основных характеристик не
равна единице (рис. 82); -
цикл с подводом теплоты при р = const (рис. 83); степень
повышения давления равна единице ( = 1);
Разделив правую часть последнего уравнения на сv, получаем
Для адиабаты сжатия 1—2 имеем
139
Характеристики
Тип файла документ
Документы такого типа открываются такими программами, как Microsoft Office Word на компьютерах Windows, Apple Pages на компьютерах Mac, Open Office - бесплатная альтернатива на различных платформах, в том числе Linux. Наиболее простым и современным решением будут Google документы, так как открываются онлайн без скачивания прямо в браузере на любой платформе. Существуют российские качественные аналоги, например от Яндекса.
Будьте внимательны на мобильных устройствах, так как там используются упрощённый функционал даже в официальном приложении от Microsoft, поэтому для просмотра скачивайте PDF-версию. А если нужно редактировать файл, то используйте оригинальный файл.
Файлы такого типа обычно разбиты на страницы, а текст может быть форматированным (жирный, курсив, выбор шрифта, таблицы и т.п.), а также в него можно добавлять изображения. Формат идеально подходит для рефератов, докладов и РПЗ курсовых проектов, которые необходимо распечатать. Кстати перед печатью также сохраняйте файл в PDF, так как принтер может начудить со шрифтами.
















