Глава 05 -Первый закон термодинамики (1062505)
Текст из файла
Глава V. ПЕРВЫЙ ЗАКОН ТЕРМОДИНАМИКИ
§ 21. Формулировки первого закона термодинамики
Применение к тепловым процессам всеобщего закона природы — закона сохранения и превращения энергии — приводит к установлению первого закона термодинамики, лежащего в основе всех термодинамических исследований.
Так как первый закон термодинамики есть частный случай закона сохранения энергии, то его можно сформулировать следующим образом: при тепловых процессах, так же как и при любых других, невозможно возникновение или уничтожение энергии.
Если бы удалось построить двигатель, который производил бы работу, не получая энергии от каких-либо внешних источников, то теоретически он мог бы быть вечным. Однако такой двигатель, называемый обычно «вечным двигателем» (perpetuum mobile) первого рода, осуществить невозможно, что следует из закона сохранения энергии. Из этого вытекает еще одна формулировка первого закона термодинамики: вечный двигатель первого рода невозможен.
§ 22. Аналитическое выражение первого закона термодинамики
(уравнение теплоты)
Первый закон термодинамики позволяет установить связь между изменением внутренней энергии тела в каком-либо термодинамическом процессе и энергией, переданной в форме теплоты и работы в этом процессе.
Рассмотрим цилиндр, плотно закрытый поршнем с поперечным сечением F м2, который может перемещаться вдоль оси цилиндра без трения (рис. 13). В цилиндре с поршнем помещается 1 кг рабочего тела. На поршень действует внешняя сила Р, которая в каждый момент процесса уравновешивается силой давления р (н/мг) рабочего тела на поршень.
К рабочему телу извне, от некоторого другого тела — источника теплоты, подводится бесконечно малое количество энергии в форме теплоты dq. Одновременно с подводом к рабочему телу
43
бесконечно малого количества теплоты изменяются внутренняя кинетическая и потенциальная энергии на бесконечно малые величины den — den. Бесконечно малое приращение получит также и объем, занимаемый рабочим телом, dv = Fdh. При этом перемещение поршня на величину dh может происходить или под действием внешней силы pF, приложенной к поршню (объем уменьшается), или при преодолении этой силы (объем увеличивается). Во втором случае при деформации рабочего тела оно произведет работу, а в первом случае — работа затрачивается. Этим определяется обмен энергией в форме работы между рабочим телом и некоторым другим телом, механически взаимодействующим с ним. Если рабочее тело совершает работу, то оно отдает внешнему телу часть своей энергии; если же для деформации рабочего тела над ним совершается работа, то оно получает энергию от внешнего тела. Если объем рабочего тела не изменяется, работа не совершается. В этом случае рабочее тело обменивается с другими телами энергией только в форме теплоты. В таком частном случае аналитическим выражением закона сохранения энергии явится уравнение
По правилам дифференцирования сумму бесконечно малых изменений внутренней кинетической и потенциальной энергии
можно представить как бесконечно малое приращение суммы этих
тогда для рассматриваемого случая
энергий, т. е.
Полученное уравнение нужно понимать так: подведенная к рабочему телу энергия в форме теплоты превращается во внутреннюю энергию тела.
где dl — работа, совершаемая рабочим телом при увеличении занимаемого объема (работа преодоления внешней силы, приложенной к рабочему телу, т. е. силы pF), или, наоборот,
В общем случае в энергетическом балансе должна быть учтена и энергия, переданная в форме работы; при этом уравнение энергетического баланса запишется следующим образом:
работа, совершаемая внешней силой над рабочим телом, при уменьшении объема последнего.
Уравнения (79) и (80) получены в предположении, что к рабочему телу теплота подводится. Однако тот же самый результат, те же уравнения будут получены, если предположить, что происходит отвод теплоты от рабочего тела, помещенного в цилиндре под поршнем (рис. 13). Разница будет только в знаках величины dq. Однако если все величины, входящие в уравнения (79) и (80), рассматривать как алгебраические, т. е. могущие быть как положительными, так и отрицательными, и в частных случаях принимать нулевые значения, то не изменится и общий вид этих уравнений. Таким образом, входящие в уравнение (80) величины dq и dl выражают соответственно тепловое (термическое) и механическое (силовое) взаимодействия рабочего тела с внешними телами.
Нужно сказать, что могут быть и другие виды взаимодействий рабочего тела с внешними телами, которые также приводят к взаимным обменам энергией. Но в технической термодинамике обычно ограничиваются рассмотрением таких случаев, которые характеризуются только термическим и механическим взаимодействиями.
Учитывая все сказанное, уравнение (80) можно рассматривать как уравнение, полностью учитывающее энергетические взаимодействия рабочего тела с окружающими телами в термодинамических процессах. Таким образом, это уравнение является аналитическим выражением первого закона термодинамики.
то уравнение первого закона можно записать следующим образом:
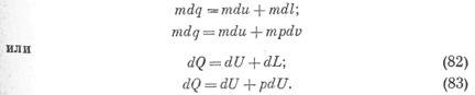
Уравнения (80) и (81) являются уравнениями первого закона термодинамики для 1 кг рабочего тела. Для произвольного количества т кг они принимают следующий вид:
Так как в технической термодинамике учитывается только работа, связанная с изменением объема тела, которая, как установлено выше (см. гл. II), при бесконечно малом изменении объема
В этих уравнениях q, и, I имеют размерность дж/кг; Q, U, L имеют размерность дж.
Уравнения (80) и (82) относятся к таким процессам, для которых все три входящих в них члена являются величинами беско-
45
нечно малыми. Такие процессы будем называть элементарными. Они характерны тем, что при протекании процесса параметры состояния изменяются на бесконечно малые величины (в частных случаях некоторые из параметров остаются постоянными).
Для процессов, протекающих между состояниями, характеризующимися изменениями параметров на конечные величины, уравнения первого закона термодинамики соответственно принимают вид
Как уже говорилось, в технической термодинамике принято считать теплоту положительной (dq > 0, q > 0), если она подводится к рабочему телу извне, и отрицательной, когда она отдается рабочим телом наружу, некоторому внешнему источнику (dq <0, q <0). Знак изменения внутренней энергии определяется тем, увеличивается она или уменьшается в результате процесса; в первом случае du или Дм положительно, во втором отрицательно. Если в результате процесса объем, занимаемый рабочим телом, увеличивается (dv > 0), т. е. рабочее тело расширяется, то производимая им работа положительна (dl > 0); при уменьшении объема (dv < 0), т. е. при сжатии рабочего тела, работа отрицательна (dl < 0).
§ 23. Энтальпия. Уравнение первого закона термодинамики, выраженное через энтальпию
Для удобства многих термодинамических расчетов полезно сумму внутренней энергии газа и произведение pv рассматривать как некоторую характеристику состояния рабочего тела, т. е. его параметр. Эту сумму
называют энтальпией или теплосодержанием. Последнее название крайне неудачно, так как оно противоречит физическому смыслу теплоты; нельзя говорить о содержании теплоты в теле, так как теплота является характеристикой процесса.
Понятие энтальпии введено на основе чисто формальных соображений, но можно установить и физический смысл этой величины. Первое слагаемое и представляет собой внутреннюю энергию данного тела.
Физический смысл произведения pv можно уяснить из следующего примера. Пусть имеется цилиндр с подвижным поршнем и краном внизу (рис. 14). На поверхность F м2 поршня действует постоянное давление р н/м2. Если в цилиндр ввести 1 кг газа, то поршень поднимется на высоту h и газ совершит работу против
Подставляя значение du в уравнение теплоты (81), получим
внешней силы, равную hpF. Но hF представляет собой объем 1 кг газа, т. е. его удельный объем v. Тогда произведенная газом работа будет равна pv. Следовательно, произведение pv представляет собой работу, совершаемую 1 кг газа при вводе его в среду с давлением р. Из уравнения (86) следует
Это есть одна из форм уравнения первого закона термодинамики.
Произведение vdp представляет собой бес- конечно малую площадку, ограниченную элементом рассматриваемого процесса, отнесенную к оси ординат, т. е. площадку, заключенную между абсциссами точек начала и конца элементарного процесса (рис. 15). Величина vdp имеет такую же размерность,
Характеристики
Тип файла документ
Документы такого типа открываются такими программами, как Microsoft Office Word на компьютерах Windows, Apple Pages на компьютерах Mac, Open Office - бесплатная альтернатива на различных платформах, в том числе Linux. Наиболее простым и современным решением будут Google документы, так как открываются онлайн без скачивания прямо в браузере на любой платформе. Существуют российские качественные аналоги, например от Яндекса.
Будьте внимательны на мобильных устройствах, так как там используются упрощённый функционал даже в официальном приложении от Microsoft, поэтому для просмотра скачивайте PDF-версию. А если нужно редактировать файл, то используйте оригинальный файл.
Файлы такого типа обычно разбиты на страницы, а текст может быть форматированным (жирный, курсив, выбор шрифта, таблицы и т.п.), а также в него можно добавлять изображения. Формат идеально подходит для рефератов, докладов и РПЗ курсовых проектов, которые необходимо распечатать. Кстати перед печатью также сохраняйте файл в PDF, так как принтер может начудить со шрифтами.
















