Глава 23 -Теплоотдача при кипении и конденсации (1062523)
Текст из файла
Глава XXIII. ТЕПЛООТДАЧА ПРИ КИПЕНИИ II ПРИ КОНДЕНСАЦИИ
§ 102. Теплоотдача при кипении жидкости
Кипением называется процесс образования пара в жидкости при ее нагревании. Температура образующегося пара носит название температуры насыщения t". Величина температуры насыщения определяется давлением р, под которым находится кипящая жидкость. Опыт показывает, что температура кипящей жидкости tf всегда немного выше температуры насыщения t", т. е. жидкость при кипении перегрета относительно пара. Перегрев жидкости максимален для частиц, прилегающих к нагреваемой поверхности: tmах = tw — t". Установлено, что интенсивность процесса кипения в основном определяется перегревом жидкости относительно температуры насыщения. От степени перегрева t зависят число центров парообразования и теплоотдача, поэтому при определении коэффициента теплоотдачи в качестве разности температур принимается t = tw — t", т. е.
На рис. 170 даны типичные зависимости q = f (t) и α = f (t). В области АВ при малых значениях t значение коэффициента теплоотдачи невелико и определяется условиями сво- бодной конвекции жидкости. При увеличении t (участок BC) число возникающих пузырей возрастает, усиливается перемешива-
271
ние жидкости у поверхности и потому интенсивность теплоотдачи резко возрастает. Такой режим кипения носит название пузырчатого кипения.
При дальнейшем увеличении t до tкр число центров парообразования возрастет настолько, что пузыри сливаются между собой и на поверхности нагрева образуется пленка пара, которая оттесняет жидкость от нагреваемой стенки, в связи с чем теплоотдача резко снижается. Такой режим кипения называется пленочным. Уменьшение коэффициента теплоотдачи α приводит к тому, что передача того же самого количества теплоты от стенки к жидкости qкр становится возможной только при соответствующем увеличении температуры перегрева стенки по сравнению с tкр. Это часто приводит к прогару стенки. Таким образом, наиболее эффективным является пузырьковое (пузырчатое) кипение при критических тепловых потоках qкр. Однако для выбора оптимального и безопасного температурного режима работы кипятильных и выпарных аппаратов необходимо знать величины tкр и qкр.
На основе многочисленных опытов с различными жидкостями были установлены следующие зависимости:
где В = А3,33 ; обе величины за-висят от рода жидкости и давления. Как показали эксперименты, с ростом давления значение qкр сначала резко увеличивается, достигает некоторого максимума, затем уменьшается и при критическом давлении становится равным нулю (рис. 171). По этим данным для воды наивысшее значение qкр ~ 4,6*103 кдж/(м2сек) должно быть при р ~ 80 бар (для воды ркр ~ 225 бар).
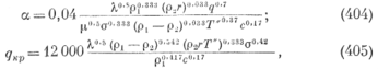
Для расчета теплоотдачи при объемном кипении чистых жидкостей в условиях свободной конвекции наиболее удачна обобщенная зависимость, полученная Г. П. Кружилиным. Формулы для расчета α и qкр в области пузырчатого кипения имеют вид
где , c — соответственно теплопроводность, динамическая вязкость, поверхностное натяжение и тепло-
емкость жидкости при температуре насыщения;
р1 и р2 — плотности жидкости и пара;
r — теплота парообразования.
§ 103. Теплоотдача при конденсации пара
На поверхности теплообмена, температура которой ниже температуры насыщения, возникает конденсация пара. Если образующийся конденсат смачивает поверхность, то конденсация носит название пленочной, если конденсат не смачивает поверхности, конденсация — капельная. Капельная конденсация отличается особенно интенсивной теплоотдачей так как при ней всегда сохраняется непосредственный контакт пара с холодной стенкой, однако на практике капельная конденсация встречается довольно редко, поэтому будем в дальнейшем рассматривать процесс пленочной конденсации.
При пленочной конденсации вся теплота, выделившаяся при конденсации пара, проходит через пленку и отводится через стенку. При ламинарном режиме течения конденсата перенос теплоты через пленку осуществляется теплопроводностью.
В этом случае количество теплоты, переданное единице поверхности, определяется следующим образом (рис. 172):
где tw — температура частиц конденсата,
соприкасающихся со стенкой; t" — температура насыщения; x — толщина слоя в сечении х; — коэффициент теплопроводности
конденсата.
Это же количество теплоты можно представить выражением, используя гипотезу Ньютона:
тогда
Определение коэффициента теплоотдачи, таким образом, сво-дится к определению толщины x конденсата, которая находится из условия равновесия сил трения, тяжести, поверхностного натяжения и инерции элемента конденсата.
273
Пример. Определить коэффициент теплоотдачи и количество сконденсировавшегося насыщенного водяного пара рабс=3,92 бар и х=0,7 на вертикальной трубе высотой Н=1,5м и диаметром d=0,65 м, температура поверхности трубы t=55oC.
Нуссельтом была получена зависимость для определения толщины пленки конденсата в виде
где μ, r — соответственно динамическая вязкость, плотность
и теплота парообразования конденсата. После подстановки х в уравнение (408) получим
Из приведенных соотношений следует, что по мере стекания жидкости толщина пленки увеличивается, а значение коэффициента теплоотдачи соответственно уменьшается.
Для стенки, наклоненной под углом , коэффициент теплоотдачи α определяется по формуле
Среднее значение коэффициента теплоотдачи при ламинарном течении пленки по вертикальной стенке или трубе высотой Н можно определить следующим образом:
Задача о теплообмене при конденсации пара на основе теории подобия была решена С. С. Кутателадзе, который нашел для этого случая критерии подобия:
где Ga — критерий Галилея;
l — характерный размер. Для вертикальных труб это их
высота, для горизонтальных труб — диаметр. Для расчета конденсаций критериальные уравнения имеют вид:
б) для среднего коэффициента теплоотдачи горизонтальной трубы
а) для среднего значения α вертикальной стенки или трубы
В качестве определяющей температуры принята температура t" насыщения.
При конденсации пара теплоотдача зависит от ряда факторов: направления течения пара, состояния поверхности, содержания в паре неконденсирующихся газов, конструкции теплообменника и др.
Так, например, если движение пара совпадает с направлением течения пленки, то вследствие трения скорость течения пленки увеличивается, толщина уменьшается и коэффициент теплоотдачи возрастает. При движении же пара и пленки в противопо-ложные стороны течение пленки тормозится, толщина ее увели-чивается и коэффициент теплоотдачи несколько уменьшается.
Если поверхность шероховата или покрыта слоем накипи солей, то вследствие дополнительного сопротивления течению пленки толщина ее увеличивается, а коэффициент теплоотдачи снижается на 30% и более. При наличии в паре неконденсирующихся газов (например, воздуха) теплоотдача при конденсации сильно снижается.
Это происходит потому, что на холодной стенке конденсируется пар, а воздух не конденсируется и оказывает препятствие продвижению пара к стенке.
При содержании в паре даже 1 % воздуха коэффициент теплоотдачи снижается на 60%. Поэтому в промышленных конденсаторах воздух непрерывно откачивают.
Вопросы для самопроверки по разделу «Теплопередача»
-
Какие три основных вида теплообмена вы знаете?
-
Как формулируется основной закон теплопроводности Фурье?
-
Что такое коэффициент теплопроводности и какова его размерность
в системе СИ? -
Как записывается дифференциальное уравнение теплопроводности
и каков его физический смысл? -
Что такое условие однозначности?
-
Что такое коэффициент теплоотдачи и какова его размерность в си-
стеме СИ? -
Какие процессы называют стационарными и какие нестационарными?
-
Каковы основные положения теплообмена соприкосновением?
-
Каковы методы снижения термического контактного сопротивления?
-
Что называется конвективным теплообменом?
-
Для чего введена теория подобия и какие теоремы этой теории вы
знаете? -
Какие критерии подобия вы знаете?
-
Каковы особенности теплоотдачи при свободном движении жид-
кости? -
Как записывается в общем виде критериальное уравнение для рас-
чета теплоотдачи при вынужденном движении жидкости? -
Каковы особенности теплоотдачи при течении газа с большими
скоростями? -
Напишите уравнение, связывающее коэффициент трения и коэф-
фициент теплоотдачи. -
Какие основные законы лучистого теплообмена вы знаете?
-
Как учитывается солнечное излучение?
-
Каковы особенности излучения газов?
-
Что такое коэффициент теплопередачи?
-
Как производится интенсификация и снижение теплопередачи?
-
Что такое теплообменный аппарат?
-
Что называется водяным эквивалентом теплоносителя?
-
Какую схему движения теплоносителей мы называем прямотоком
и какую противотоком? -
Каковы преимущества схемы противотока перед схемой прямотока?
-
Как производится оценка экономичности теплообменного аппарата?
-
Что такое теплота парообразования?
-
Какие режимы кипения и конденсации вы знаете?
Система единиц измерения
1 января 1963 г. Государственным стандартом 9867—61 в СССР в качестве предпочтительной введена Международная система единиц (СИ).
Внедрение этой системы единиц устранит ненормальное положение. создавшееся в результате применения у нас в стране множества систем единиц измерения (например МКС, СГС, МКГСС). Система СИ включает в себя шесть основных единиц измерения: метр, килограмм (масса), секунда, градус Кельвина, ампер и свеча. При изложении материала учебника использовалась в основном эта система единиц.
Характеристики
Тип файла документ
Документы такого типа открываются такими программами, как Microsoft Office Word на компьютерах Windows, Apple Pages на компьютерах Mac, Open Office - бесплатная альтернатива на различных платформах, в том числе Linux. Наиболее простым и современным решением будут Google документы, так как открываются онлайн без скачивания прямо в браузере на любой платформе. Существуют российские качественные аналоги, например от Яндекса.
Будьте внимательны на мобильных устройствах, так как там используются упрощённый функционал даже в официальном приложении от Microsoft, поэтому для просмотра скачивайте PDF-версию. А если нужно редактировать файл, то используйте оригинальный файл.
Файлы такого типа обычно разбиты на страницы, а текст может быть форматированным (жирный, курсив, выбор шрифта, таблицы и т.п.), а также в него можно добавлять изображения. Формат идеально подходит для рефератов, докладов и РПЗ курсовых проектов, которые необходимо распечатать. Кстати перед печатью также сохраняйте файл в PDF, так как принтер может начудить со шрифтами.
















