Глава 17 Циклы холодильных машин (1062516)
Текст из файла
Глава XVII. ЦИКЛЫ ХОЛОДИЛЬНЫХ МАШИН
§ 83. Общие сведения и основные определения
Охлаждение тел до температуры ниже температуры окружающей среды и поддержание их в охлажденном состоянии в течение длительного времени составляют основную задачу сравнительно молодой отрасли техники — холодильной. Для многих производств такое охлаждение различных веществ, или, как его называют, производство холода, является неотъемлемой частью технологических процессов. В быту и на транспорте производство холода получило широкое распространение при хранении и транспортировании продуктов и для создания «искусственного микроклимата» (кондиционирование воздуха). Для многих научных исследований требуется охлаждать исследуемые объекты до очень низких температур.
Процессы, связанные с производством холода, осуществляются в комплексе специальных устройств, куда входят машины, теп-лообменные аппараты, арматура и т. п. Такой комплекс, в сущности, представляет собой установку, подобную теплосиловой, но принято называть ее холодильной машиной.
С термодинамической точки зрения производство холода — это процесс передачи теплоты от менее нагретых тел к более нагретым. Как следует из второго закона термодинамики, такой процесс не может протекать самопроизвольно. Для его обеспечения необходима затрата некоторого количества энергии. Чаще всего энергия затрачивается в форме работы. Поэтому обычно подробному рассмотрению подвергают процессы, протекающие в холодильных установках, потребляющих работу от некоторого внешнего источника. В таких установках в отличие от теплосиловых установок должен осуществляться обратный, или, как его часто называют, холодильный цикл.
Общий вид обратного цикла показан на рис. 135. По нижней его ветви 1А2 от источников теплоты, которые в данном случае служат «менее нагретыми телами», к рабочему телу отводится теплота q2, которой соответствует площадка а1А2b. В процессе 2В1 (верхняя ветвь цикла) от рабочего тела отводится теплота q1, пред-
211
ставляемая площадкой b2В1а. Эта теплота передается холодильникам, являющимся «более нагретыми телами». Для того чтобы процесс 2В1 был возможен, необходимо повысить температуру рабочего тела и поддерживать ее в соответствии с изменениями температуры источника теплоты. Это достигается путем подвода к рабочему телу энергии в форме работы. Величина этой работы эквивалентна площадке 1А2В1.
Рабочее тело отдает теплоту, отнятую источниками теплоты, холодильникам, а также теплоту, эквивалентную работе, затраченной при осуществлении цикла.
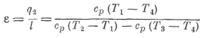
Очевидно, эффективность холодильного цикла определяется двумя величинами: количеством теплоты, отведенной от охлаждаемых тел (источников теплоты), и затрачиваемой за цикл работой. Отношение
Таким образом, теплота, отводимая от источников теплоты, по абсолютному значению меньше теплоты, передаваемой холодильникам, на величину работы, затраченной за цикл, т. е.
называется холодильным коэффициентом цикла.
В отличие от термического к. п. д. прямого цикла, который всегда меньше единицы, холодильный коэффициент обратного цикла может быть больше, меньше или равен единице.
Важной характеристикой холодильной машины является количество теплоты, отводимой от охлаждаемого тела в единицу времени. Эту величину называют холодопроизводителъностъю холодильной машины. Холодопроизводительность, отнесенная к единице рабочего тела, при помощи которого осуществляется цикл, т. е. к единице так называемого холодильного агента, называется удельной холодопроизводителъностъю. Обычно пользуются массовой холодопроизводительностью, т. е. отнесенной к 1 кг холодильного агента. Применяется также понятие объемной холодопроиз-водительности, отнесенной к единице объема рабочего тела (холодильного агента), взятого при некоторых условно выбранных параметрах.
Обычно у охлаждаемого тела (источник теплоты) и у тела, воспринимающего теплоту (холодильник), поддерживают постоянные температуры. На практике первым телом является холодильная
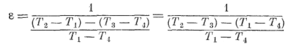
камера с помещенными в ней предметами, вторым — вода, взятая из естественных водоемов, или воздух. В соответствии с этим теоретически система, в которой осуществляется холодильный цикл, состоит из двух источников теплоты постоянных температур. В такой системе наиболее эффективным циклом является обратимый цикл Карно (рис. 136).
Для этого цикла холодильный коэффициент
Очевидно, что при одной и той же температуре Т2 источника теплоты понижение температуры Т1 холодильника приводит к уменьшению работы, затраченной за цикл, и в конечном счете к увеличению холодильного коэффициента е. При прочих равных условиях выгодно иметь возможно меньшую температуру холодильника, т. е. тела, воспринимающего теплоту q1 от рабочего тела. Понижение температуры охлаждаемого тела (углубление холода) при неизменяющихся прочих условиях влечет за собой увеличение работы, затраченной за цикл при одновременном уменьшении количества теплоты, отводимой от охлаждаемого тела. Это уменьшает холодильный коэффициент. При равенстве q2 = l холодильный коэффициент равен единице. Обратный цикл Карно, так же как и прямой цикл, является идеальным и служит для оценки совершенства циклов реальных холодильных машин.
Циклы холодильных машин и их схемы определяются назначением, глубиной охлаждения и свойствами используемого в них рабочего тела (холодильного агента).
§ 84. Типы холодильных машин
Воздушная холодильная машина. На рис. 137 показана схема воздушной холодильной машины. Если рабочее тело (воздух) считать идеальным газом, то идеальный цикл воздушной холодильной машины в координатах р — v и Т — s представится фигурой 1234 (рис. 138 и 139).
213
Работа машины протекает следующим образом (рис. 137): воздух из холодильной камеры ХК с параметрами, соответствующими точке 1, поступает в компрессор КМ, где он сжимается
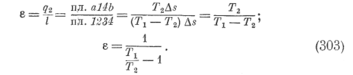
Холодильный коэффициент цикла
по изобаре 4—1, отбирает теплоту от охлаждаемых тел. Эта теплота соответствует площадке d41e (рис. 139). Затем цикл повторяется в том же порядке.
Работа, затрачиваемая за цикл, равна алгебраической сумме работ компрессора lК и детандера lд (рис. 138):
Эта работа выражается через разности энтальпий, т. е.
Теплота, отводимая от охлаждаемого тела, определится как теплота в изобарическом процессе (рис. 139):
тогда, считая теплоемкость воздуха ср постоянной, получим
д
Выражение (139) можно преобразовать следующим образом:
метрами точки 3 рабочее тело поступает в расширительную машину или детандер Д, где расширяется по адиабате 3—4. В результате расширения воздух снижает свою температуру до температуры точки 4 и поступает в холодильную камеру ХК, где, нагреваясь,
Для адиабаты сжатия 1—2
Для адиабаты расширения 3—4
Из сравнения уравнений (311) и (312) заключаем, что
По свойствам пропорций
Теперь выражения для холодильного коэффициента цикла принимают следующий вид:
Холодильный коэффициент можно выразить также и через отношения давлений
Уравнения (315) и (316) легко преобразовываются в следующие:
Уравнение (319) — это холодильный коэффициент идеального цикла воздушной холодильной машины.
В настоящее время воздушные холодильные машины применяются только для производства так называемого глубокого холода, т. е. для сжижения воздуха или его очистки.
Паровая компрессорная холодильная машина. В паровой компрессорной холодильной машине в качестве рабочего тела (холодильного агента) применяются легкокипящие жидкости т. е. вещества, имеющие при любой температуре цикла невысокие давления насыщения. К этим жидкостям относятся: углекислота С02, аммиак NH3, хлорметил СН3С1, сернистый ангидрид S02 фреоны.
Холодильный цикл этой машины близок к обратному циклу Карно.
Абсорбционные холодильные машины. Абсорбцией называется процесс поглощения одного тела другим. На этом принципе работают абсорбционные холодильные машины. Обычно в качестве поглощающего агента применяется вода, поглощаемым агентом
служит аммиак. Основной частью установки является испаритель. В нем при постоянных температуре и давлении аммиак испаряется, при этом он отбирает теплоту от теплоносителя, вследствие чего температура в холодильной камере понижается. Пар аммиака поглощается водой. Абсорбционные машины получили большое распространение в бытовых холодильниках.
Характеристики
Тип файла документ
Документы такого типа открываются такими программами, как Microsoft Office Word на компьютерах Windows, Apple Pages на компьютерах Mac, Open Office - бесплатная альтернатива на различных платформах, в том числе Linux. Наиболее простым и современным решением будут Google документы, так как открываются онлайн без скачивания прямо в браузере на любой платформе. Существуют российские качественные аналоги, например от Яндекса.
Будьте внимательны на мобильных устройствах, так как там используются упрощённый функционал даже в официальном приложении от Microsoft, поэтому для просмотра скачивайте PDF-версию. А если нужно редактировать файл, то используйте оригинальный файл.
Файлы такого типа обычно разбиты на страницы, а текст может быть форматированным (жирный, курсив, выбор шрифта, таблицы и т.п.), а также в него можно добавлять изображения. Формат идеально подходит для рефератов, докладов и РПЗ курсовых проектов, которые необходимо распечатать. Кстати перед печатью также сохраняйте файл в PDF, так как принтер может начудить со шрифтами.
















