27 (1022434)
Текст из файла
27
2) Интерференция света. Пространственная и временная когерентность. Оптическая длина пути и оптическая разность хода. Способы наблюдения интерференционных картин.
Явление, при котором происходит пространственное перераспределение энергии светового излучения при наложении двух или нескольких световых волн, называется интерференцией.
Два колебательных процесса называются когерентными, если разность фаз Δφ=φ1 - φ2 складывающихся колебаний остается постоянной в течение времени, достаточного для наблюдений.
Свет состоит из последовательности кратковременных импульсов (цугов волн) со средней длительностью τ, фаза которых имеет случайную величину. Пусть средняя длина цугов равна l0, очевидно, что взаимодействовать между собой могут только те цуги волн, пространственное расстояние между которыми l ког < l0, в противном случае в точке наблюдения цуги, между которыми рассматривается взаимодействие, просто не встретятся. Величина l ког=l0 называется длиной когерентности, и она определяет максимально допустимую разность хода между взаимодействующими волнами, при которой еще может наблюдаться явление интерференции. А время, равное средней длительности излучения цугов, называется временем когерентности t ког=< τ >. В течение этого времени начальная фаза волны сохраняет свою постоянную величину. Время и длина когерентности связаны между собой очевидным соотношением
l ког = с*t ког
Оптическая длина пути.
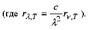
L = S*n, S - геометрическая длина пути, n – показатель преломления среды.
Оптическая разность хода – разность оптических длин, проходимых волнами.
Δ = L2 - L1 = S2*n2 – S1*n1
Способы получения интерференционных картин.
М
етод Юнга. Свет от ярко освещено щели падает на две щели играющие роль когерентных источников.
З
еркала Френеля. Свет от источника падает расходящимся пучком на 2 плоских зеркала, расположенных под малым углом. Роль когерентных источников играют мнимые изображения источника. Экран защищен от прямого попадания лучей заслонкой.
Б
ипризма Френеля. Свет от источника преломляется в призмах, в результате чего за бипризмой распространяются световые лучи, как бы исходящие из мнимых когерентных источников.
З
еркало Ллойда. Точечный источник находится близко к поверхности плоского зеркала. Когерентными источниками служат сам источник и его мнимое изображение.
3) Тепловое излучение. Квантовая гипотеза и формула Планка. Следствия формулы Планка (закон Стефана-Больцмана, Вина, Рэлея-Джинса).
Тепловое излучение. Тела, нагреты до достаточно высоких температур, светятся. Свечение тел, обусловленное нагреванием, называется тепловым излучением. Тепловое излучение является самым распространенным в природе, совершается за счет энерги теплового движения атомов и молекул в-ва (т.е. за счет его внутренней энергии) и свойственно всем телам при температуре выше 0 К. Тепловое излучение характеризуется сплошным спектром, положение максимума которого зависит от температуры. При высоких температурах излучаются короткие (видимые и ультрафиолетовые) электромагнитные волны, при низких – преимущественно длинные (инфракрасные). Тепловое излучение – практически единственный тип излучения, который может быть равновесным. Предположим, что нагретое тело помещено в полость, ограниченное идеально отражающей оболочкой. С течением времени, в р-тате непрерывного обмена энергией между телом и излучением, наступит равновесие, т.е. тело в единицу времени будет поглощать столько же сколько и излучать.
Законы теплового излучения абсолютно черного тела (Закон Стефана Больцмана). Тело наз-ся черным (абсолютно черным), если оно при любой температуре полностью поглощает всю энергию падающих на него электромагнитных волн независимо от их частоты, поляризации (упорядочивания светового в-ра) и направления распространения. Следовательно, коэф-т поглощения абсолютно черного тела (АЧТ) тождественно равен единице. Спектральная плотность энергетической светимости АТЧ зависит только от частоты νизлучения и термодинамической температуры Т тела. Закон Кирхгофа: Отношение спектральной плотности энергетической светимости к спектральной поглощательной способности н.з. от природы тела; оно является для всех тел универсальной ф-цией частоты.
(длины волны) и температуры:
. Для
черного тела, поэтому из закона К.
вытекает, что
ля черного тела равна
Таким образом, универсальная функция Кирхгофа
есть не что иное, как спектральная
плотность энергетической светимости черного тела. Энергетическая светимость АТЧ зависит только от температуры, т.е. Энергетическая светимость АТЧ пропорциональна четвертой степени его термодинамической температуры:
, где σ-- постоянная Больцмана. Этот
закон – закон Стефана-Больцмана.
следствие ф-лы Планка. Согласно квантово теории Планка, атомные осцилляторы излучают энергию не непрерывно, а определенными порциями -- квантами, причем энергия ванта пропорциональна частоте колебания
постоянная Планка. Т.к.
излучение испускается порциями, то энергия осциллятора (стоячей волны) εможет принимать лишь определенные дискретные значения, кратные целому числу эл-тарн порций энергии
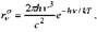
Ф-ла Планка (нахождение универсальной
функции Кирхгофа):
спектральные плотности энергетической светимости ЧТ, X — длина волны, (О — круговая частота, с - скорость света в вакууме, к -постоянная Больцмана, Т - термодинамическая температура, h - постоянная Планка, % — постоянная Планка, дел. на 2ж =
1.05 • 1(Г34 Дж ■ с . Следствие: если
Планка следует ф-ла Релея-Джинса:
. В области больших частот
и единицей в знаметеле.
тогда получим ф-лу
эта ф-ла совпадает с флой
, причем
40. Закон Вина. Опираясь на законы термо- и электродинамики, Вин установил зависимость длины волны λmax , соответствующей максимуму функции rλ,T , от температуры Т. Согласно закону смещения Вина,
Т.е. длина волны Лтах , соответствующая
максимальному значению спектральной плотности энергетической светимости ЧТ, обратно пропорциональна его термодинамической температуре, b—постоянная
Вина = 2.9-10- м-К . Закон Вина - закон смещения т.к. он показывает смещение положения максимума функции Гд j по мере
возрастания температуры в область коротких длин волн. Он объясняет, почему при понижении температуры нагретых тел в их спектре все сильнее преобладает длинноволновое излучение.
Формула Релея-Джинса. Попытка теоретического вывода зависимости универсальной функции Кирхгофа. В данном случае был применен закон равномерного распределения энергии по степеням свободы. Формула Релея-Джинса для спектральной плотности энергетической светимости имеет ви
, где
– средняя энергия
осциллятора с собственной частотой ν.
Для осциллятора, совершающего колебания, средние значения кинетической и потенциальн энергий одинаковы, поэтому средняя степень каждой колебательной степени свободы
согласуется с
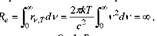
экспериментальными данными только в област достаточно малых частот и больших температу В области больших частот она резко с ними расходится. Если попытаться получить закон Стефана-Больцмана, то получается абсурд, т.к. вычисленная с использованием ф-лы Р.-Д. энергетическая светимость черного тела
в то время как по з. Стеф.-Больц. Re пропорциональна четвертой степени температуры.
Характеристики
Тип файла документ
Документы такого типа открываются такими программами, как Microsoft Office Word на компьютерах Windows, Apple Pages на компьютерах Mac, Open Office - бесплатная альтернатива на различных платформах, в том числе Linux. Наиболее простым и современным решением будут Google документы, так как открываются онлайн без скачивания прямо в браузере на любой платформе. Существуют российские качественные аналоги, например от Яндекса.
Будьте внимательны на мобильных устройствах, так как там используются упрощённый функционал даже в официальном приложении от Microsoft, поэтому для просмотра скачивайте PDF-версию. А если нужно редактировать файл, то используйте оригинальный файл.
Файлы такого типа обычно разбиты на страницы, а текст может быть форматированным (жирный, курсив, выбор шрифта, таблицы и т.п.), а также в него можно добавлять изображения. Формат идеально подходит для рефератов, докладов и РПЗ курсовых проектов, которые необходимо распечатать. Кстати перед печатью также сохраняйте файл в PDF, так как принтер может начудить со шрифтами.
















