15 (1022399)
Текст из файла
Билет №15
2) Дифракционная решетка. Дифракционные спектры. Дисперсия и разрешающая способность решетки.
Дифракционная решетка и дифракционные спектры. Дифракционной решеткой называется последовательность из большого числа N одинаковых параллельных щелей. Ширина каждой щели равна b, расстояние между соседними щелями, которое называется периодом решетки, равно d. Расположим параллельно решетке собирательную линзу, в фокальной пл-ти которой поставим экран. Выясним характер диф. картины, получающейся на экране при падении на решетку световой волны (для простоты будем считать, что волна падает на решетку нормально). Каждая из щелей даст на экране картину, описываемую кривой. Картины от всех щелей придутся на одно и то же место экрана (независимо от положения щели, центральный максимум лежит против центра линзы). Если бы колебания, приходящие в точку Р от различных щелей, были некогерентными, результирующая картина от N щелей отличалась бы от картины, создаваемой одной щелью лишь тем, что все интенсивности выросли бы в N раз. Однако, колебания от различных щелей являются в большей или меньшей степени когерентными; поэтому результирующая интенсивность будет отлична от
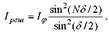
интенсивность, создаваемая одной щелью). Предполагая, что радиус когерентности (максимальное поперечное направлению распространению волны расст., на котором возможно проявление интерференции) падающей волны намного превышает длину решетки. Так что колебания от всех щелей можно считать когерентными друг относительно друга. В этом случае результир. колеб в точке Р пред ставл. собой сумму N колебаний с одинаковыми ампл. Aϕ, сдвинутых друг относительно друга по фазе на одну и ту же величину 5 . Интенсивность при этих условиях равна:
где
- интенсивность, создаваемая
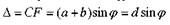
каждым из лучей в отдельности. Из верхнего рисунка видно, что разность хода от соседн щелей равна А = d sin q> Следов, разность фаз
Дифракционный спектр Распределение интенсивности на экране, получаемое вследствие дифракции (это явление приведено на нижнем рис.). Основная часть световой энергии сосредоточена в центральном максимуме. Сужение щели приводит к тому, что центральный максимум расплывается, а его яркость уменьшается (это, естественно, относится и к другим максимумам). Наоборот, чем щель шире (b > X ), тем картина ярче, но дифракционные полосы уже, а число самих полос больше. При b » X в центре получается резкое изображение источника света, т.е. имеет мет прямолинейное распространение света. Эта картина будет иметь место только для монохроматического света. При освещении щели белым светом, центральный максимум будет иметь место белой полоски, он общий для всех длин волн (при (р = О разность хода равна нулю для всех длин волн)
Разрешающей способностью спектрального прибора назовем безразмерную величину
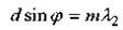
-- абсолютное значение минимальной разности длин волн двух соседних спектральных линий, при которой эти линии регистрируются раздельно. Пусть максимум m-го порядка для длины волны λ2 наблюдается под
углом ϕ, т.е.
. При переходе от максимума к соседнему минимуму, разность хода меняется на
, где N – число щелей решетки.
Следовательно минимум λ1 , наблюдаемый под углом ϕmin , удовлетворяет условию
. По критерию Релея
(Изображения двух близлежащих одинаковых точечных источников или двух близлежащих спектральных линий с равными интенсивностями и одинаковыми симметричными контурами разрешимы (разделены для восприятия), если центральный максимум дифракционной картины от одного источника (линии) совпадает с первым минимумом дифр. картины от другого),
,т.е.,
или
близки между собой, т.е.
, то согласно
:
. Таким образом
разр. способность дифр решетки пропорциональна порядку m спектров и числу Nщелей, т.е. при заданном N увеличивается при переходе к спектрам высших порядков. Современные решетки обладают разр способностью до 2*105.
Дифракция решетки. Дифракционная картина на решетке определяется как р-тат взаимной интерференции волн, идущих от всех щелей. Т.е. в диф. решетке осуществляется многолучевая интерференция когерентных дифрагированных пучков света, идущих от всех щелей. Пусть плоская монохроматическая волна падает нормально к пл-ти решетки Так как щели нх-ся на одинак. друг от друга расст., то разность хода лучей, идущих от двух соседних щелей, будут для данного направления ϕодинаковы в пределах всей дифракционной
решетки:
.
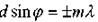
Очевидно что в тех направлениях ,в которых ни одна из щелей не распространяет свет, он не будет распространяться и при двух щелях, т.е. прежние минимумы интенсивности будут наблюдаться в направл, опред-мых усл-ием
Кроме того, вследствие взаимной интерференции световых лучей, посылаемых двумя щелями, в некоторых направлениях они будут гасить друг друга, т.е. возникнут дополнительные минимумы. Очевидно, что эти дополнительные минимумы будут наблюдаться в тех направлениях, которым соответствует разность хода лучей λ/ 2,3λ/ 2,... , посылаемых, например, от крайних левых точек М и С обеих щелей. Условие дополнительных минимумов:
. Наоборот, действие одной щели будет усиливать действие другой, если
т.е. условие максимумов. При двух щелях между двумя главными максимумами располагается один дополнительный минимум, а между каждыми главными максимумами при трех щелях располагается два дополнительных минимума, при четырех – три. Если диф. реш. состоит из N щелей, то условием главных минимумов является условие
а усл. глав-
ных максимумов --
а
условием дополнительных минимумов
, где m' может принимать все целочисленные значения, кроме
т.е.
тех, при которых
переходит в
. Следовательно, в случае N щелей между двумя главными максимумами располагается N-1дополнительных минимумов, разделенных вторичными максимумами. Чем больше щелей N, тем большее количество световой энергии пройдет через решетку, тем больше минимумов образуется между соседними главными максимумами, тем, след, более интенсивными и более острыми будут максимумы. На след рисунке представлена картина от восьми щелей. Так как
не может быть больше 1, то
, т.е. число главных максимумов определяется отношением периода решетки к длине волны.
3) Тепловое излучение. Основные характеристики теплового излучения. Абсолютно черное тело. Законы теплового излучения. Распределение энергии в спектре излучения абсолютно черного тела.
Тепловое излучение. Тела, нагреты до достаточно высоких температур, светятся. Свечение тел, обусловленное нагреванием, называется тепловым излучением. Тепловое излучение является самым распространенным в природе, совершается за счет энерги теплового движения атомов и молекул в-ва (т.е. за счет его внутренней энергии) и свойственно всем телам при температуре выше 0 К. Тепловое излучение характеризуется сплошным спектром, положение максимума которого зависит от температуры. При высоких температурах излучаются короткие (видимые и ультрафиолетовые) электромагнитные волны, при низких – преимущественно длинные (инфракрасные). Тепловое излучение – практически единственный тип излучения, который может быть равновесным. Предположим, что нагретое тело помещено в полость, ограниченное идеально отражающей оболочкой. С течением времени, в р-тате непрерывного обмена энергией между телом и излучением, наступит равновесие, т.е. тело в единицу времени будет поглощать столько же сколько и излучать.
Испускательная и поглощательная способность. Спектральной хар-кой теплового излучения тела служит спектральная плотность энергетической светимости (испускательная
способность), равная
, где
-- энергия электромагнитного излучения,
испускаемого за единицу времени с единицы площади поверхности тела в интервале частот от
Спектральная плотность энергетической светимости численно равна мощности излучения с единицы площади пов-ти этого тела в интервале частот единичной ширины. Единицей измерения является
Дж/(м2с)
Спектральной хар-кой поглощения электромагнитных волн телом служит спектральная поглощательная способность
(поглощательная способность)..
Он показывает, какая доля энергии dW
падающего на пов-ть тела эл. магн излучения с частотами от
поглощается телом.
Эта величина – безразмерная.
Законы теплового излучения абсолютно черного тела (Закон Стефана Больцмана). Тело наз-ся черным (абсолютно черным), если оно при любой температуре полностью поглощает всю энергию падающих на него электромагнитных волн независимо от их частоты, поляризации (упорядочивания светового в-ра) и направления распространения. Следовательно, коэф-т поглощения абсолютно черного тела (АЧТ) тождественно равен единице. Спектральная плотность энергетической светимости АТЧ зависит только от частоты νизлучения и термодинамической температуры Т тела. Закон Кирхгофа: Отношение спектральной плотности энергетической светимости к спектральной поглощательной способности н.з. от природы тела; оно является для всех тел универсальной ф-цией частоты.(длины волны) и температуры:
. Для
черного тела, поэтому из закона К.
вытекает, что
ля черного тела равна
Таким образом, универсальная функция Кирхгофа
есть не что иное, как спектральная
плотность энергетической светимости черного тела. Энергетическая светимость АТЧ зависит только от температуры, т.е. Энергетическая светимость АТЧ пропорциональна четвертой степени его термодинамической температуры:
, где σ-- постоянная Больцмана. Этот
Характеристики
Тип файла документ
Документы такого типа открываются такими программами, как Microsoft Office Word на компьютерах Windows, Apple Pages на компьютерах Mac, Open Office - бесплатная альтернатива на различных платформах, в том числе Linux. Наиболее простым и современным решением будут Google документы, так как открываются онлайн без скачивания прямо в браузере на любой платформе. Существуют российские качественные аналоги, например от Яндекса.
Будьте внимательны на мобильных устройствах, так как там используются упрощённый функционал даже в официальном приложении от Microsoft, поэтому для просмотра скачивайте PDF-версию. А если нужно редактировать файл, то используйте оригинальный файл.
Файлы такого типа обычно разбиты на страницы, а текст может быть форматированным (жирный, курсив, выбор шрифта, таблицы и т.п.), а также в него можно добавлять изображения. Формат идеально подходит для рефератов, докладов и РПЗ курсовых проектов, которые необходимо распечатать. Кстати перед печатью также сохраняйте файл в PDF, так как принтер может начудить со шрифтами.
















