24 (1022425)
Текст из файла
Билет №24
2) Электромагнитная природа света. Сложение световых волн, понятие о когерентности. Интерференция света. Расчет интерференционной картины от двух источников.
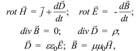
Во второй половине XIX века Максвелл, анализируя опыты Фарадея и Ампера в области электромагнетизма, приходит к выводу, что их физические представления можно записать в форме математических уравнений:
Из уравнений видно, что любой ток создает магнитное поле в окружающих точках пространства. Постоянный ток создает постоянное магнитное поле. Вокруг переменного тока создается переменное магнитное поле, способное создавать в "следующем" элементе пространства электрическое поле, которое, в свою очередь, создает новое магнитное поле и т.д. Таким образом, электромагнитное поле распространяется в пространстве со скоростью света в виде незатухающей поперечной волны
Предсказанные Максвеллом электромагнитные волны были обнаружены Г.Герцем и исследованы на опыте. Колебания возбуждались вибратором, состоящим из двух цинковых шариков, разделенных искровым промежутком.
Было показано,что возбуждаемые волны являются поперечными и обнаруживают явления дифракции, поляризации, интерференции. Что касается отличий, существующих между электромагнитными волнами, обнаруженными Герцем, и световыми, то они могут быть объяснены только отличием длин волн.
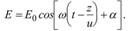
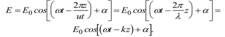
Можно было утверждать, что явления оптические представляют собой частный случай более общего класса электромагнитных явлений.Наиболее простым, но важным частным случаем электромагнитной волны, является волна, возникающая в результате гармонических колебаний с частотой со и распространяющаяся вдоль оси z со скоростью и. Она записывается следующим образом:
Выражение можно записать любым из приводимых ниже способов:
В теории колебаний показывается, что результирующее колебание
имеет ту же частоту, а амплитуда и фаза определяются из соотношений:
-разность фаз складывающихся колебании Два колебательных процесса называются когерентными, если разность фаз складывающихся колебаний остается постоянной в течение времени, достаточного для наблюдений.
Расчет интерференционной картины от двух когерентных источников
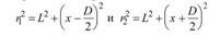
Пусть имеется два когерентных источника S1 и S2 в виде двух узких длинных параллельных щелей, лежащих в одной плоскости и расположенных в воздухе (w=l) на расстоянии D друг от друга. Экран, на котором наблюдается интерференционная картина, расположен в плоскости, параллельной плоскости источников, на расстоянии L от нее/S1и S2 являются источниками волн с цилиндрическим фронтом частотой со. На экране в области перекрытия световых пучков АВ (называемой полем интерференции) наблюдается интерференционная картина в виде полос, параллельных щелям
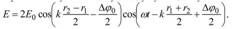
Рассчитаем интенсивность результирующего колебания в произвольной точке М, отстоящей на расстоянии х от оси симметрии системы Будем считать, что амплитуды световых волн от источников S1 и S2 одинаковы и равны Ео.
Тогда колебания, дошедшие в точку М, будут
где г\ и г2 - расстояния от точки М до источников S\ и Si,
волновое число, Аф0 - начальная разность фаз световых волн, испускаемых источниками S\ и Si.
Складываясь в точке М, колебания дадут
Воспользовавшись известной тригонометрической формулой преобразования суммы косинусов двух углов, получим
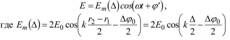
В только последний сомножитель описывает волновой процесс, следовательно, это выражение можно переписать в следующем виде:
амплитуда колебании в точке М, а ср - начальная фаза колебаний. Согласно (1.12) интенсивность световых колебаний в точке М будет
(источники S1 и S2 когерентные), то интенсивность результирующего колебания будет зависеть только от разности хода
, из-за наличия которой между лучами, дошедшими до точки М, возникает разность фаз
тогда
Если
где m=0,1,2,3... - целое число, называемое порядком интерференции, то разность фаз оказывается кратной 2m, колебания в точке М будут происходить в фазе - наблюдается максимум интенсивности.
Если
то световые волны до точки М дойдут в противофазе - наблюдается минимум интенсивности.Рассчитаем основные характеристики интерференционной картины, т.е. положение максимумов и минимумов на экране и их периодичность. Будем попрежнему считать, что показатель преломления среды n=1 .Видно, что
тогда
Но обычно при наблюдении интерференционных картин выполняется соотношение D«x«L , тогда можно считать, что r1+r2~2L и получаем
Находим координаты точек, где будут наблюдаться максимумы интенсивности
координаты минимумов интенсивности:
Расстояние между соседними максимумами или минимумами назовем шириной интерференционной полосы:
Видно, что расстояние между интерференционными полосами увеличивается с уменьшением расстояния между источниками D. Для того, чтобы интерференционная картина наблюдалась отчетливо, необходимо выполнение условия D«L.
3) Ядерные реакции. Реакции деления и синтеза. Цепная реакция. Законы сохранения в ядерных реакциях.
Ядерными реакциями - превращения атомных ядер, вызванные их взаимодействием с различными частицами или друг с другом. Ядерные реакции могут сопровождаться как поглощением, так и выделением энергии. Энергия Q, выделяющаяся в результате реакции (тепловой эффект реакции), определяется разностью масс покоя исходных Мi и конечных Мk ядер и частиц: Q = ( ∑Мi - ∑Мk )*c^2. Q>0 – экзотермическая реакция (выделение тепла), Q<0 – эндотермическая.
Тяжелое ядро, возбужденное при захвате нейтрона, может разделиться на 2 равные части (осколки деления). Неустойчивость тяжелых ядер обусловлена взаимным отталкиванием большого числа протонов. Деление ядра сопровождается выделением энергии. Тяжелые ядра способны к делению если Z^2/A ≥ 17, где Z^2/A – параметр деления.
(Z^2/A)крит = 49 – критический параметр деления.
Реакция синтеза – образование из легких ядер более тяжелых. Выделяется значительно больше энергии чем при деление.
Каждый из мгновенных нейтронов, возникших в реакции деления, взаимодействуя с соседними ядрами делящегося в-ва, вызывает в них реакцию деления. При этом идет рост числа актов деления – начинается цепная реакция – ядерная реакция, в которой частицы, вызывающие реакцию, образуются как продукты этой реакции. Условие – наличие размножающихся нейтронов. k – коэффициент размножения нейтронов – отношение числа нейтронов, возникающих в некотором звене реакции, к числу нейтронов в предшествующем звене. Необходимое условие – k>1.
При протекании любой ядерной реакции выполняются все фундаментальные законы сохранения (энергии, импульса, заряда и др.), кроме того выполняется ряд законов сохранения, специфических только для ядерных реакций, к ним относятся законы сохранения барионного (числа нуклонов) и лептонного (числа лептонов) зарядов.
Характеристики
Тип файла документ
Документы такого типа открываются такими программами, как Microsoft Office Word на компьютерах Windows, Apple Pages на компьютерах Mac, Open Office - бесплатная альтернатива на различных платформах, в том числе Linux. Наиболее простым и современным решением будут Google документы, так как открываются онлайн без скачивания прямо в браузере на любой платформе. Существуют российские качественные аналоги, например от Яндекса.
Будьте внимательны на мобильных устройствах, так как там используются упрощённый функционал даже в официальном приложении от Microsoft, поэтому для просмотра скачивайте PDF-версию. А если нужно редактировать файл, то используйте оригинальный файл.
Файлы такого типа обычно разбиты на страницы, а текст может быть форматированным (жирный, курсив, выбор шрифта, таблицы и т.п.), а также в него можно добавлять изображения. Формат идеально подходит для рефератов, докладов и РПЗ курсовых проектов, которые необходимо распечатать. Кстати перед печатью также сохраняйте файл в PDF, так как принтер может начудить со шрифтами.
















