14 (1022396)
Текст из файла
Билет №14
2) Дифракция Фраунгофера на нескольких щелях. Дифракционная решетка.
Дифракция от щели. Бесконечно длинную щель можно образовать, расположив ряжом две обращенные в разные стороны полуплоскости. Следовательно, задача и дифракции Френеля от щели может быть решена с помощью спирали Карню. Волновую пов-ть падающего света, плоскость щели и экран, на котором наблюдается дифракционная картина, будем считать параллельными друг другу. Для точки Р, лежащей против середины щели, начало и конец результирующего вектора находятся в симметричных относительно начала координат точках спирали. Если сместиться в точку Р’, лежащую против края щели, начало результирующего вектора переместится в середину спирали О.
Конец вектора переместится по спирали в направлении полюса F1. При углублении в область геометрической тени начало и конец результирующего вектора будут скользить по спирали и в конце концов окажутся на наименьшем расстоянии друг от друга
Интенсивность света при этом достигнет минимума. При дальнейшем скольжении по спирали начало и конец вектора снова отойдут друг от друга и интенсивность будет расти. То же самое будет происходить при смещении из точки Р в противоположное сторону, так как дифракционная картина симметрична относительно середины щели.
Если изменять ширину щели, сдвигая полуплоскости в противоположные стороны, интенсивность в средней точке Р будет пульсировать, проходя попеременно через максимумы (а) и отличные от нуля минимумы (б)
Дифракционная решетка и дифракционные спектры. Дифракционной решеткой называется последовательность из большого числа N одинаковых параллельных щелей. Ширина каждой щели равна b, расстояние между соседними щелями, которое называется периодом решетки, равно d. Расположим параллельно решетке собирательную линзу, в фокальной пл-ти которой поставим экран. Выясним характер диф. картины, получающейся на экране при падении на решетку световой волны (для простоты будем считать, что волна падает на решетку нормально). Каждая из щелей даст на экране картину, описываемую кривой. Картины от всех щелей придутся на одно и то же место экрана (независимо от положения щели, центральный максимум лежит против центра линзы). Если бы колебания, приходящие в точку Р от различных щелей, были некогерентными, результирующая картина от N щелей отличалась бы от картины, создаваемой одной щелью лишь тем, что все интенсивности выросли бы в N раз. Однако, колебания от различных щелей являются в большей или меньшей степени когерентными; поэтому результирующая интенсивность будет отлична от
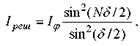
интенсивность, создаваемая одной щелью). Предполагая, что радиус когерентности (максимальное поперечное направлению распространению волны расст., на котором возможно проявление интерференции) падающей волны намного превышает длину решетки. Так что колебания от всех щелей можно считать когерентными друг относительно друга. В этом случае результир. колеб в точке Р пред ставл. собой сумму N колебаний с одинаковыми ампл. Aϕ, сдвинутых друг относительно друга по фазе на одну и ту же величину 5 . Интенсивность при этих условиях равна:
где
- интенсивность, создаваемая
каждым из лучей в отдельности. Из верхнего рисунка видно, что разность хода от соседн щелей равна А = d sin q> Следов, разность фаз
Дифракционный спектр Распределение интенсивности на экране, получаемое вследствие дифракции (это явление приведено на нижнем рис.). Основная часть световой энергии сосредоточена в центральном максимуме. Сужение щели приводит к тому, что центральный максимум расплывается, а его яркость уменьшается (это, естественно, относится и к другим максимумам). Наоборот, чем щель шире (b > X ), тем картина ярче, но дифракционные полосы уже, а число самих полос больше. При b » X в центре получается резкое изображение источника света, т.е. имеет мет прямолинейное распространение света. Эта картина будет иметь место только для монохроматического света. При освещении щели белым светом, центральный максимум будет иметь место белой полоски, он общий для всех длин волн (при (р = О разность хода равна нулю для всех длин волн)
3) Уравнение Шредингера. Квантомеханическое описание частицы в бесконечно глубокой прямоугольной потенциальной яме.
Частица в яме. Проведем качественный анализ решений уравнения Шредингера применительно к частице в одномерной прямоугольной «потенциальной яме» с бесконечно высокими «стенками». Такая «яма» описывается потенциальной энергией вида (для простоты принимаем, что частица движется вдоль оси х)
где / — ширина «ямы», а энергия отсчиты-вается от ее дна (рис. 296).
Уравнение Шредингера (217.5) для стационарных состояний в случае одномерной задачи запишется в виде
На границах «ямы» (при х = 0и х = /) непрерывная
волновая функция
также должна
обращаться в нуль. Следовательно, граничные условия в данном случае имеют вид
микрочастиц описывается принципиально по-новому — с помощью волновой функции, которая является основным носителем информации об их корпускулярных и волновых свойствах. Вероятность нахождения частицы в элементе объемом dV равна
Величина
(квадрат модуля Чг-функции) имеет смыслу
плотности вероятности, т. е. определяет
вероятность нахождения частицы в единичном
объеме в окрестности точки с координатами х, у, z.
Таким образом, физический смысл имеет не
сама ^--функция, а квадрат ее
модуля.-К I , которым задается интенсивность волн де Бройля.
Вероятность найти частицу в момент времени в конечном объеме V, согласно теореме сложения вероятностей, равна
Характеристики
Тип файла документ
Документы такого типа открываются такими программами, как Microsoft Office Word на компьютерах Windows, Apple Pages на компьютерах Mac, Open Office - бесплатная альтернатива на различных платформах, в том числе Linux. Наиболее простым и современным решением будут Google документы, так как открываются онлайн без скачивания прямо в браузере на любой платформе. Существуют российские качественные аналоги, например от Яндекса.
Будьте внимательны на мобильных устройствах, так как там используются упрощённый функционал даже в официальном приложении от Microsoft, поэтому для просмотра скачивайте PDF-версию. А если нужно редактировать файл, то используйте оригинальный файл.
Файлы такого типа обычно разбиты на страницы, а текст может быть форматированным (жирный, курсив, выбор шрифта, таблицы и т.п.), а также в него можно добавлять изображения. Формат идеально подходит для рефератов, докладов и РПЗ курсовых проектов, которые необходимо распечатать. Кстати перед печатью также сохраняйте файл в PDF, так как принтер может начудить со шрифтами.
















