13 (1022394)
Текст из файла
Билет №13
2) Дифракция света. Дифракция Френеля от диска и круглого отверстия. Зонная пластинка. Характерные области дифракции света.
Дифракцией называется совокупность явлений, наблюдаемых при распространении света в среде с резкими неоднородностями, например, в близи границ прозрачных или непрозрачных тел, сквозь малые отверстия. Дифракция, в частности, приводит к огибанию световыми волнами препятствий, и проникновению света в область геометрической тени. Между интерференцией и дифракцией нет существенных физических различий. Оба явления заключаются в перераспределении светового потока в рез-тате суперпозиции волн. Перераспределение интенсивности, возникающее вследствие суперпозиции волн, возбуждаемых когерентными источниками, принято называть дифракцией волн. Поэтому говорят, например, об интерференционной картине от двух узких щелей и о дифракционной картине от одной щели. Различают два вида дифракции. Если источник 8 и точка наблюдения Р расположены от препятствия настолько далеко, что лучи, падающие на препятствие, и лучи, идущие в точку Р, образуют практически параллельные пучки, говорят о дифракции Фраунгофера (диф. в параллельных лучах). В противном случае говорят о диф. Френеля.
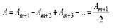
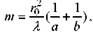
Дифракция Френеля от круглого отверстия и от диска. 1. От круглого отверстия. Поставим на пути сферической световой волны (т.е. для которой А убывает как 1/r, r – расстояние,, отсчитываемое вдоль направления распространения световой волны) непрозрачный экран. Расположим его так, чтобы перпендикуляр, опущенный из источника света S,попал в центр отверстия. На продолжении этого перпендикуляра возьмем точку Р. При радиусе отверстия r0, значительно меньшем, чем указанные на рис. длины a и b, длину a можно считать равной расстоянию от источника S, допреграды, а длину b - от расстояния преграды до Р. Если расстояния а и b довлетворяют
соотношению: r0 =√abm(лямда)/(a+b) , где m-
целое число, то отверстие оставит открытым ровно m первых зон Френеля, построенных для т. Р. Следовательно, число открытых зон будет:
, а амплитуда в точке Р будет
Равна , знак минус берется, если m - нечетное и плюс - четное. 2. Дифракция от круглого диска. Поместим между источником света S и точкой наблюдения Р непрозрачный диск радиуса r0 . Если диск
закроет m первых зон Френеля, амплитуда в точке Р будет равна:
Зонные пластинки. Из теории Френеля (световая волна, возбуждаемая каким-либо источником S, может быть представлена как р-тат суперпозиции когерентных вторичных волн, «излучаемых» фиктивными источниками, такими источниками могут служить бесконечно малые элементы любой замкнутой пов-ти, охватывающей источник S). следует, что в том случае, когда в отверстии кладывается только одна зона Френеля, амплитуда колебаний в точке М А=А1 т.е.в отсутствие непрозрачного экрана с отверстием (соответственно
интенсивность в точке М
.
Амплитуда А можно значительно увеличить с помощью с помощью зонной пластинки – стеклянной пластинки, но пов-ть которой так нанесено непрозрачное покрытие, что оно закрывает все четные зоны Френеля и оставляет открытыми все нечетные зоны (либо наоборот). Если общее число зон, уменьшающихся на пластинке, равно 2к, то
Если
2к не слишком велико, то A2k-1 ≈A1 и
, т.е. освещенность экрана в точке М в к2
раз больше, чем при беспрепятственном распространении света от источника в точку М. Зонная пластинка действует на свет подобно собирающей линзе.
3) Строение атомного ядра. Основные характеристики атомного ядра. Энергия связи, ядерные силы.
Э. Резерфорд, исследуя прохождение а-частиц с энергией в несколько мегаэлектрон-вольт через
тонкие пленки золота пришел к выводу о том, что атом состоит из положительно заряженного ядра
и окружающих его электронов. Проанализировав эти опыты, Резерфорд также показал, что
атомные ядра имеют размеры примерно 10-14
Атомное ядро состоит из элементарных частиц — протонов и нейтронов.
Протон (р) имеет положительный заряд, равный заряду электрона, и массу покоя
где
ш — масса электрона. Нейтрон (п) — нейтральная
Протоны
и нейтроны называются нуклонами (от лат. nucleus — ядро). Общее число нуклонов в атомном ядре называется массовым числом А. Атомное ядро характеризуется зарядом Z S, где е — заряд протона, Z — зарядовое число ядра, равное числу прогонов в ядре и совпадающее с порядковым номером химического элемента в Периодической системе элементов Менделеева. Ядро обозначается тем же символом, что и
нейтральный атом: |
где X — символ
химического элемента, Z — атомный номер (число протонов в ядре), А —массовое число (число нуклонов в ядре).
Так как атом нейтрален, то заряд ядра определяет и число электронов в атоме. Ядра с одинаковыми Z, но разными А называются изотопами, а ядра с одинаковыми А, но разными Z—изобарами. Радиус ядра задается эмпирической формулой
Исследования показывают, что атомные ядра являются устойчивыми образованиями. Это означает, что в ядре между нуклонами существует определенная связь. Энергия, которую необходимо затратить, чтобы расщепить ядро на отдельные нуклоны, называется энергией связи ядра.
Согласно энергия связи нуклонов в ядре
'где тр, тп, тя — соответственно массы протона, нейтрона и ядра. В таблицах обычно приводятся не массы ядер, а массы m атомов. Поэтому для энергии связи ядра пользуются формулой
mh — масса атома водорода. Так как mn больше mр на величину mе, то первый член в квадратных скобках включает в себя массу Z электронов. Но так как масса атома т отличается от массы ядра т„ как раз на массу Z электронов, то вычисления по формулам (252.1) и (252.2) приводят одинаковым результатам. Величина
называется дефектом массы ядра. На эту величину уменьшается масса всех нуклонов при образовании из них атомного ядра. Часто вместо энергии связи рассматривают удельную энергию связи 6Еn — энергию связи, отнесенную к одному нуклону.
Характеристики
Тип файла документ
Документы такого типа открываются такими программами, как Microsoft Office Word на компьютерах Windows, Apple Pages на компьютерах Mac, Open Office - бесплатная альтернатива на различных платформах, в том числе Linux. Наиболее простым и современным решением будут Google документы, так как открываются онлайн без скачивания прямо в браузере на любой платформе. Существуют российские качественные аналоги, например от Яндекса.
Будьте внимательны на мобильных устройствах, так как там используются упрощённый функционал даже в официальном приложении от Microsoft, поэтому для просмотра скачивайте PDF-версию. А если нужно редактировать файл, то используйте оригинальный файл.
Файлы такого типа обычно разбиты на страницы, а текст может быть форматированным (жирный, курсив, выбор шрифта, таблицы и т.п.), а также в него можно добавлять изображения. Формат идеально подходит для рефератов, докладов и РПЗ курсовых проектов, которые необходимо распечатать. Кстати перед печатью также сохраняйте файл в PDF, так как принтер может начудить со шрифтами.
















