23 (1022422)
Текст из файла
№23
2) Оптическая активность. Вращение плоскости поляризации. Эффект Фарадея.
Н
екоторые вещества наз. оптически активными обладают способностью вращать плоскость поляризации .
d – расстояние пройдённое светом в веществе, - удельное вращение численно равноеуглу поворота плоскости поляризации света слоем в-ва единичной длины, С – массовая концентрация.
Оптически активные в-ва разделяются на прово и левовращающие (если смотреть навстречу лучу и плоскость вращается по часовой стрелке- правовращающее)
Магнитооптический эффект Фарадея – вращение плоскости поляризации в оптически неактивных телах, возникающее под действием магнитного поля.
3) Естественная радиоактивность. Альфа- и бета-распады, их закономерности. Закон радиоактивного распада.
Радиоактивностью называют самопроизвольное превращение неустойчивых изотопов одного химического элемента в изотопы другого элемента, сопровождающееся испусканием элементарных частиц или ядер. К числу основных таких превращений относятся: 1) α-распад, 2) β-распад, 3) спонтанное деление ядер, 4) протонный распад и др. Радиоактивность, наблюдающаяся у изотопов, существующих в природных условиях, называется естественной.
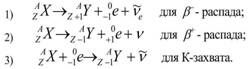
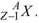
Альфа-распад обусловлен тем, что ядерные силы не в состоянии обеспечить стабильность тяжелых ядер. Он протекает по следующей схеме:
где X - химический символ материнского ядра, Y- химический символ дочернего ядра.
Бета-распад есть самопроизвольный процесс, в котором нестабильное ядро
превращается в ядро изобар
или
Различают три вида β-распада:
1)электронный β- - распад, в котором ядро испускает электрон, а поэтому зарядовое число дочернего ядра Z увеличивается на единицу;
2) позитронный β+ - распад, в котором ядро испускает позитрон и его зарядовое число Z уменьшается на единицу;
3
)электронный захват (К-захват), в котором ядро поглощает один из электронов электронной оболочки атома (обычно электрон поглощается из К-слоя), зарядовое число Z при этом уменьшается на единицу. Всегда сопровождается испусканием характеристического рентгеновского излучения, поскольку вакантное место в К-оболочке заполняется электронами с L-, М- и т.д. оболочек.
Выражение, констатирующее, что число радиоактивных ядер данного изотопа убывает со временем по экспоненциальному закону, носит название закона радиоактивного распада. N=N0e-λt где N0 - число нераспавшихся ядер в начальный момент времени, N - число нераспавшихся ядер в момент времени t
Характеристики
Тип файла документ
Документы такого типа открываются такими программами, как Microsoft Office Word на компьютерах Windows, Apple Pages на компьютерах Mac, Open Office - бесплатная альтернатива на различных платформах, в том числе Linux. Наиболее простым и современным решением будут Google документы, так как открываются онлайн без скачивания прямо в браузере на любой платформе. Существуют российские качественные аналоги, например от Яндекса.
Будьте внимательны на мобильных устройствах, так как там используются упрощённый функционал даже в официальном приложении от Microsoft, поэтому для просмотра скачивайте PDF-версию. А если нужно редактировать файл, то используйте оригинальный файл.
Файлы такого типа обычно разбиты на страницы, а текст может быть форматированным (жирный, курсив, выбор шрифта, таблицы и т.п.), а также в него можно добавлять изображения. Формат идеально подходит для рефератов, докладов и РПЗ курсовых проектов, которые необходимо распечатать. Кстати перед печатью также сохраняйте файл в PDF, так как принтер может начудить со шрифтами.
















