Наблюдение за работой и состоянием сетей и каналов
2. Наблюдение за работой и состоянием сетей и каналов. ОРГАНИЗАЦИЯ КОНТРОЛЯ ГАЗОВОГО СОСТОЯНИЯ ВОДООТВОДЯЩИХ
СЕТЕЙ
Для обеспечения нормальной эксплуатации водоотводящей сети ее систематически осматривают. Различают два вида периодических осмотров при контроле за работой и состоянием водоотводящей сети: наружный (поверхностный) и технический.
2.1. Наружный осмотр сети
Наружный осмотр сети производится с целью обнаружения нарушений нормальной работы сети, выявления условий, угрожающих сооружениям, проверки внешних признаков их сохранности в соответствии с установленным планом работ не реже 1 раза в 2 месяца. Такой осмотр производится бригадой из двух человек и осуществляется без спуска людей в колодцы.
В обязанности рабочих входит восстановление старых и установка новых координатных табличек. Координатные таблички устанавливают у колодцев или наносят на ближайшие к колодцам стены домов и осветительные столбы.
Наружный осмотр водоотводящей сети заключается в проверке состояния колодцев, целостности крышек и люков, уровня сточных вод в лотках, наличия в колодцах грязи или мусора. При обходе трассы сети бригада отмечает в журнале наличие на ней повреждений (мест просадок грунта и люков колодцев, разрытии на трассе, незаконных присоединений, завала колодцев грунтом или снегом, неплотность прилегания крышек колодцев, сохранность вентиляционных труб).
При обнаружении указанных недостатков бригада по возможности должна принять меры к их ликвидации.
При осмотре колодцев на трассе сети бригада выполняет следующие операции:
Рекомендуемые материалы
• устанавливает перед колодцами оградительные знаки для предохранения от наезда транспорта;
• очищает люк от земли, снега или льда;
• открывает наружную крышку люка и проверяет ее целостность, а также целостность корпуса люка;
• очищает от мусора вторую крышку, вытаскивает на поверхность и проверяет ее состояние;
• определяет видимые с поверхности повреждения горловины, стенок и лотка колодцев, а также устьев трубопроводов;
• отмечает наличие загрязнения стенок и полок лотка, а также самого лотка;
• устанавливает характер течения сточной воды и степень наполнения лотков, фиксируя время наблюдения;
• замеряет глубину подпора (если он есть);
• по показаниям приборов контролирует наличие газов;
• проверяет состояние ходовых скоб, перил, лестниц, задвижек, шиберов;
• отмечает наличие спуска поверхностных или каких-либо других вод в сеть.
При осмотре и проверке люков обращают внимание на то, чтобы корпус люка плотно прилегал к горловине колодца, т.е. чтобы не было отверстий для проникновения в колодцы поверхностного стока.
При осмотре колодцев и наблюдении за движением сточной воды в лотках необходимо отмечать: наличие в лотках узловых колодцев перебивания струй или выбрасывания на полки лотка воды из боковых веток; подтапливание боковых присоединений при подъеме воды в коллекторе; особенности движения сточной воды по лотку; присутствие песка, осадков и примесей, которые могут вызвать засорение сети, и т.д. При обнаружении подпора сточной воды бригада должна выявить его причины (засор, повышенный расход и т.п.) и сообщить диспетчеру для принятия мер к его ликвидации.
Непосредственно перед началом паводка необходимо проследить за тем, чтобы верхние крышки люков колодцев на заливаемых территориях были герметизированы. Герметизацию крышек осуществляют с помощью синтетических уплотнителей, пропитанных битумом, пакли или войлока, которые прокладываются в зазоры между крышкой и корпусом люка колодца.
Для производства работ по наружному осмотру бригада из двух человек должна иметь лом, лопату, крючок, оградительный дорожный знак, аккумуляторный фонарь, газоанализатор или две лампы ЛБВК, складную рейку или шест, зеркало, аптечку, схему осматриваемого участка сети, набор средств по технике безопасности, а также журнал обхода сети, в который заносят результаты осмотра.
2.2. Технический осмотр сети
Технический осмотр внутреннего состояния водоотводящей сети, устройств и сооружений на ней выполняют периодически:
• коллекторов и каналов, смотровых колодцев и выпусков - 1 раз в год;
• камер, эстакад и переходов - не реже 1 раза в квартал;
• для каналов большого диаметра (2,5-5,4 м) - 1 раз в 2 года.
При техническом осмотре полностью выявляют как дефекты физического состояния, так и гидравлические условия работы водоотводящей сети, тщательно обследуют изнутри все колодцы и проходимые каналы, проверяют действие оборудования и ликвидируют мелкие неисправности. Он проводится по специальному графику, преимущественно в теплое или удобное для эксплуатации время года.
При техническом осмотре колодцев для обнаружения образовавшихся в процессе эксплуатации дефектов обследуют стены, горловины, лотки, входящие и выходящие трубы; проверяют целостность скоб, лестниц; очищают от скопившихся отложений и грязи полки и лотки, а также контролируют вынос песка из труб в колодец. Одновременно проверяют прямолинейность примыкающих к колодцу участков сети.
При техническом осмотре аварийных выпусков проверяют наличие пломб.
Для работы в колодце звено должно дополнительно иметь:
• предохранительный пояс с веревкой на 2 м больше глубины колодца;
• изолирующий противогаз со шлангом;
• ручной или механический вентилятор;
• сигнальные жилеты, защитные каски.
При производстве ремонтных работ необходимо применять щиты и барьеры, окрашенные чередующимися параллельными горизонтальными полосами шириной 0,13 м белого и красного цветов или окрашенные в желтый цвет с каймой по периметру щита и с полосой по диагонали щита красного цвета шириной 0,12 м.
Технический осмотр самотечных коллекторов и каналов диаметром 1,5 м и более осуществляется путем прохода по ним при условии полного или частичного прекращения подачи сточной воды.
При спуске людей в колодцы (камеры, шахты) и при проходе по коллектору у каждого смежного колодца обследуемого участка сети на поверхности земли должны безотлучно находиться не менеедвух человек на каждый колодец. Проход по коллектору разрешается группе слесарей, состоящей не менее чем из трех человек.
Для проверки загазованности колодцев используют лампы ЛБВК или газоанализаторы (рис. 2).
При проверке колодца или коллектора на загазованность лампу ЛБВК зажигают на поверхности земли и опускают на веревке в колодец. При этом следят за пламенем через зеркальный отражатель. Увеличение пламени свидетельствует о наличии взрывоопасных газов, уменьшение — о недостатке кислорода. Если пламя коптит и угасает, это свидетельствует о наличии в колодце вредных для человека газов и паров. При наличии паров бензина пламя удлиняется и окрашивается в синий цвет. Спокойное, ровное горение лампы свидетельствует об отсутствии в смотровом колодце вредных для работы газов. Технический осмотр сети диаметром до 1,5 м следует производить с помощью телевизионных установок.
В зависимости от конструктивных особенностей телевизионные камеры подразделяются на пять типов: переносные, дистанционно управляемые, камеры с сателлитами, беспроводные камеры, плавающие камеры.
На рис. 3 показаны телевизионные камеры, используемые для осмотра сетей.
Различают следующие методы ТВ-диагностики:
• автоматический;
• полуавтоматический;
• механический.
Наиболее информативным является автоматический метод диагностики с помощью ТВ-камеры-робота. 


Рис. 2. Приборы для обнаружения газов в водоотводящей сети: а — внешний вид лампы ЛБВК; б — схема устройства лампы ЛБВК; в — газоанализатор;
1 - крючок; 2 - верхняя крышка; 3 - верхняя стойка; 4 - сетка наружная; 5 - сетка внутренняя; 6 - зеркальный отражатель; 7 - ламповое стекло; 8 - резервуар для бензина; 9 - затворное кольцо; 10 - асбестовое кольцо; 11 - верхнее кольцо; 12 - нижняя стойка.

Рис. 3. Телевизионные камеры для осмотра сетей
Схема автоматической ТВ-диагностики представлена на рис. 4.
Технический осмотр напорных трубопроводов сводится к проверке действия вантузов, задвижек и аварийных выпусков. Открывая и закрывая задвижки, проверяют их исправность. Смазка вращающихся частей этих приборов производится 1 раз в месяц. Записи результатов осмотра должны быть точными с учетом особенностей отдельных конструкций и деталей сооружения.

Рис. 4. Передвижной комплекс с телевизионной установкой для обследования водоотводящих сетей: 1 - пульт управления; 2 - стол оператора; 3 - сиденье оператора; 4 - лебедка телекабеля; 5,7 - направляющие кабельные ролики; 6 - кабель телекамеры; 8 - привод тележки с телекамерой; 9 - приемная телекамера; 10 - обзорно-осветительная насадка
2.3. Организация контроля газового состояния водоотводящих сетей
При эксплуатации в надводной части водоотводящих коллекторов скапливаются выделяющиеся из сточных вод пары воды и вредные газы, которые затрудняют эксплуатацию сетей и могут создать аварийные ситуации.
Состав газовой среды водоотводящих коллекторов некоторых крупных городов РФ и ближнего зарубежья приведен в таблице 2.1.
Если в сточной воде имеется избыточный агрессивный диоксид углерода СО2, то при его химическом взаимодействии с гидроксидом кальция Са(ОН)2 сначала образуется малорастворимый в воде углекислый кальций СаСОз, окисляющийся затем до легкорастворимого двууглекислого кальция Са(НСОз)2. Растворение двууглекислого кальция приводит к разрушению (коррозии) бетона.
Присутствие в водоотводящих коллекторах углеводородных и метановых газов при окислении кислородом воздуха может вызвать самовозгорание и взрыв.
Таблица 2.1
Состав газовой среды водоотводящих коллекторов крупных городов

Степень коррозионной активности сточных вод зависит от концентрации компонентов сточных вод, значения которых представлены в табл. 2.2.
Анализ показывает, что 70% аварий на городских водоотводящих коллекторах происходит из-за газовой сульфатной коррозии и 30% - из-за нарушения механической прочности. Основным агентом коррозии является сероводород H2S. Он растворяется в воде, конденсирующейся на сводах трубопроводов, не омываемых сточными водами, и проникает в поры бетона.
Таблица 2.2
Степень коррозионной активности

В конденсате, образовавшемся на стенках коллектора, происходит биохимическое окисление сероводорода кислородом воздуха. При этом происходит реакция
2H2S + О2 = 2S + 2Н2О.
Сера, образовавшаяся в процессе биохимического окисления, окисляется в серную кислоту по реакции
2S + ЗО2 + 2Н2О = 2H2SO4.
Воздействие на бетон серной кислоты вызывает образование сульфата кальция (гипса) и сульфаталюминия кальция, увеличивающихся в объеме по сравнению с гидроксидом кальция (являющимся составной частью цемента) соответственно в 2 и 22,5 раза. Значительное расширение, вызываемое этими соединениями, приводит к растрескиванию и разрушению бетонных конструкций водоотводящих сетей.
Для борьбы с газовой коррозией необходимо организовать контроль за газовым состоянием коллекторов водоотводящей сети. Для получения достоверных результатов количество замеров в каждой точке должно быть не менее 30. Если полученная среднеарифметическая величина концентрации газа в исследуемой точке (колодце) всей серии замеров будет равна или больше его ПДК, то данная точка считается коррозионно-опасной.
По результатам обработки данных составляют карту загазованности обследованной водоотводящей сети.
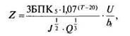
Прогнозировать возникновение коррозии можно по индексу Помероу, определяемому уравнением:

где: Z - индекс, характеризующий вероятностную скорость возникновения коррозии (табл. 2.3); БПК5 - биохимическая потребность сточных вод в кислороде, получены в лабораторных условиях при 20°С, мг/л; Т- температура сточных вод, °С; J - уклон трубопровода; Q - расход сточных вод, л/с; U/b1 - отношение смоченного периметра трубопровода к ширине водного зеркала; для наполнения 0,5D отношение U/b1 = π/2.
Таблица 2.3
Вероятность возникновения и скорость коррозии в зависимости
от величины индекса в уравнении Помероу

Следует подчеркнуть, что индекс Z только указывает на возможность сульфидной коррозии. Так как концентрация сульфидов зависит от продолжительности пребывания сточных вод в трубопроводе, то количество сульфидов, которое продуцируется в течении 1 ч в сточной воде, можно определить по формуле:

где: 
скорость образования сульфидов за 1 ч, мг/л; R - гид-равлический радиус (
/χ), м; υ - средняя скорость течения сточных вод, м/с; h/d - наполнение трубопровода в точке m; ЭБПК5=БПК5∙1,07(Т-20) - эффективная БПК5. В табл. 2.4 приведены значения ЭБПК, вычисленные для сточных вод с различной температурой.
Среднюю скорость коррозии (мм/год) ориентировочно можно также рассчитать по уравнению, предложенному Помероу:

Через некоторое время за счет потери сульфидов из системы концентрация сульфидов в сточной воде стабилизируется по уравнению:
Таблица 2.4
Значения ЭБПК сточных вод

где: k - корректирующий коэффициент, зависящий от климатических условий: для умеренного (европейского) климата может быть принят равным 0,8; А - щелочность бетона, выраженная как эквивалент СаСО3: для бетонных труб с кварцевым заполнителем в среднем составляет 16 %, для асбестоце-ментных труб, у которых щелочность 50%, и труб с большей щелочностью формула неприменима; Xs =0,7(Jυ)3/8 iS b/U -степень превращения сульфидов в газовой фазе в серную кислоту на поверхности стенок трубопровода; i - коэффициент, зависящий от рН и показывающий, какая часть сероводорода переходит в растворимые сульфиды (табл. 2.5); S - общая концентрация растворимых сульфидов, мг/л.
| Таблица 2.5. Значения коэффициента i в зависимости от величины рН |

Концентрацию сульфидов (мг/л) в конце напорного трубопровода определяют по формуле:
С=О,О1312(ЭБПК5)(12/D) + О,12) + Со,
где: t - время движения сточной воды по трубопроводу, мин; D - диаметр трубопровода, см; Со - концентрация сульфидов в сточной воде в начале напорного трубопровода, мг/л.
Повышение долговечности водоотводящих коллекторов может быть обеспечена:
• контролем за качеством сточных вод;
• использованием коррозионно-стойких конструкционных материалов;
Обратите внимание на лекцию "4 Стороны в гражданском процессе".
• вентиляцией сети.
Одним из приемов, препятствующих окислению сероводорода в серную кислоту, является орошение свода трубопровода сточной водой при работе коллектора полным сечением в течение непродолжительного времени. Примеры таких устройств показаны на рис. 5.

Рис. 5. Устройства для периодического автоматического смывания кислот с поверхности свода трубопровода.
Для искусственной вентиляции следует предусматривать устройство дегазационных камер с вытяжными шахтами в местах подключения напорных трубопроводов к самотечным, в местах перехода самотечного режима в
напорно-самотечных и в нижних камерах дюкеров. Устройство вытяжных устройств обязательно в верхних камерах дюкеров, перед насосными станциями, в местах резкого изменения скоростей и в перепадных колодцах.





















