Типовые воздействия
Типовые воздействия
Типовые воздействия это типовые функции времени, подаваемые на вход устройства, по реакции на которые определяются динамические характеристики устройства в переходном режиме. Переходным режимом считается режим перехода технического устройства из одного состояния в другое. Считается, что состояние технического устройства в фиксированный момент времени определяется значением его обобщенных координат. Рассмотрим типовые воздействия.
Типовое воздействие 1 ( t )

Реакция системы управления на функцию 1(t) называется переходной функцией или переходной характеристикой и обозначается h(t).
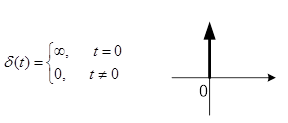
Импульсная дельта - функция

Реакция системы управления на импульсную дельта - функцию называется импульсной переходной функцией, функцией веса, весовой функцией. Обозначим ее через
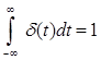
(t). Особенность дельта - функции заключается в том, что она имеет единичную площадь:
.
Отметим, что импульсная переходная функция зависит только от интервала времени между моментом начала действия импульса
и данным моментом времени t. Важно знать, что импульсная переходная функция
(t) системы и переходная характеристика h(t) связаны соотношением:
Рекомендуемые материалы
.
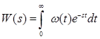
Передаточная функция непрерывной линейной стационарной системы определяется через преобразование Лапласа ее весовой функции, а именно:

Типовые воздействия 1(t) и
(t) являются наиболее неблагоприятными для работы технических устройств и их элементов. Если качество управления удовлетворительно при типовых воздействиях, то тем более оно будет удовлетворительно при обычных режимах работы.
Вам также может быть полезна лекция "1. Введение в психолого-педагогическую антропологию".
Гармоническая функция
Гармонические функции на входе и выходе устройства могут быть
представленны следующим образом:
gвх (t) =Aвх sin w t, gвых (t) =Aвых sin (w t + Y).
Частотные характеристики A(w) и Y(w) описывают установившиеся вынужденные колебания, полученные при подаче на вход устройства гармонического воздействия. A(w) - амплитудно - частотная характеристика. Y(w) – фазо-частотная характеристика.






















