Для студентов СамГТУ по предмету Высшая математикаПриложения интегрального исчисленияПриложения интегрального исчисления
5,0053329
2024-07-272024-07-27СтудИзба
ДЗ: Приложения интегрального исчисления вариант 22
Описание
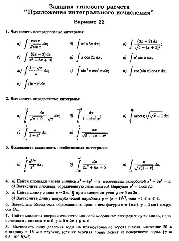
Задания типового расчета
1. Вычислить неопределенные интегралы
2. Вычислить определенные интегралы
3. Исследовать сходимость несобственных интегралов
4. а) Найти площадь частей эллипса отсеченных гиперболой
б) Вычислить площадь, ограниченную лемнискатой Бернулли
5. а) Найти длину линии при изменении угла ф от 0 до 3т.
б) Вычислить длину полукубической параболы, если
6 Вычислить объем тела, образованного вращением фигуры вокруг оси Ох.
7. Найти моменты инерции относительно осей координат площади треугольника, ограниченного линиями х = 0, у = 0 и 22 + У = 4.
8. Вычислить силу давления воды на прямоугольные ворота шлюза, имеющие 20 м в ширину и 16 м в глубину, если их верхняя грань лежит на поверхности воды.
![]()
1. Вычислить неопределенные интегралы
2. Вычислить определенные интегралы
3. Исследовать сходимость несобственных интегралов
4. а) Найти площадь частей эллипса отсеченных гиперболой
б) Вычислить площадь, ограниченную лемнискатой Бернулли
5. а) Найти длину линии при изменении угла ф от 0 до 3т.
б) Вычислить длину полукубической параболы, если
6 Вычислить объем тела, образованного вращением фигуры вокруг оси Ох.
7. Найти моменты инерции относительно осей координат площади треугольника, ограниченного линиями х = 0, у = 0 и 22 + У = 4.
8. Вычислить силу давления воды на прямоугольные ворота шлюза, имеющие 20 м в ширину и 16 м в глубину, если их верхняя грань лежит на поверхности воды.

Характеристики домашнего задания
Предмет
Учебное заведение
Вариант
Просмотров
1
Качество
Фото рукописных листов
Размер
1,3 Mb
Список файлов
Tipovik_SamGTU_Prilozhenia_integralnogo_ischislenia_8_zadaniy-176-190.pdf

Если нужен другой вариант работы или отдельная задача из любой работы, пишите в комментарии