Для студентов СамГТУ по предмету Высшая математикаПриложения интегрального исчисленияПриложения интегрального исчисления
5,0053259
2024-07-272024-07-27СтудИзба
ДЗ: Приложения интегрального исчисления вариант 19
Описание
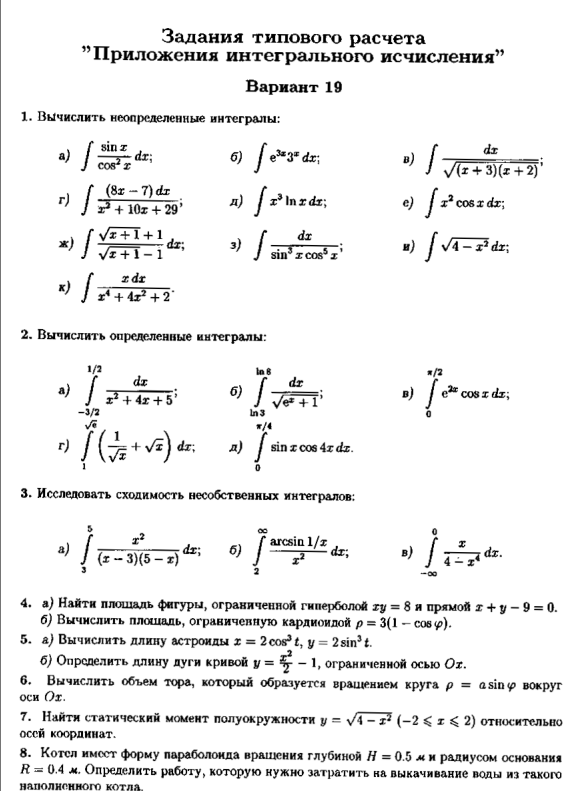
Задания типового расчета
1. Вычислить неопределенные интегралы
2. Вычислить определенные интегралы
3. Исследовать сходимость несобственных интегралов
4. а) Найти площадь фигуры, ограниченной гиперболой и прямой
б) Вычислить площадь, ограниченную кардиоидой
5. а) Вычислить длину астроиды
б) Определить длину дуги кривой, ограниченной осью Ох.
6. Вычислить объем тора, который образуется вращением круга, вокруг оси Ох.
7. Найти статический момент полуокружности относительно осей координат.
8. Котел имеет форму параболоида вращения глубиной Н = 0.5 м и радиусом основания R = 0.4 м. Определить работу, которую нужно затратить на выкачивание воды из такого наполненного котла.
![]()
1. Вычислить неопределенные интегралы
2. Вычислить определенные интегралы
3. Исследовать сходимость несобственных интегралов
4. а) Найти площадь фигуры, ограниченной гиперболой и прямой
б) Вычислить площадь, ограниченную кардиоидой
5. а) Вычислить длину астроиды
б) Определить длину дуги кривой, ограниченной осью Ох.
6. Вычислить объем тора, который образуется вращением круга, вокруг оси Ох.
7. Найти статический момент полуокружности относительно осей координат.
8. Котел имеет форму параболоида вращения глубиной Н = 0.5 м и радиусом основания R = 0.4 м. Определить работу, которую нужно затратить на выкачивание воды из такого наполненного котла.

Характеристики домашнего задания
Предмет
Учебное заведение
Вариант
Просмотров
1
Качество
Фото рукописных листов
Размер
1,72 Mb
Список файлов
Tipovik_SamGTU_Prilozhenia_integralnogo_ischislenia_8_zadaniy-138-142.pdf

Если нужен другой вариант работы или отдельная задача из любой работы, пишите в комментарии