Для студентов СамГТУ по предмету Высшая математикаПриложения интегрального исчисленияПриложения интегрального исчисления
5,0053329
2024-07-272024-07-27СтудИзба
ДЗ: Приложения интегрального исчисления вариант 21
Описание
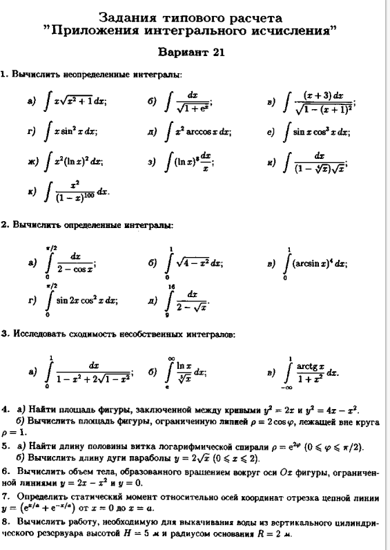
Задания типового расчета
1. Вычислить неопределенные интегралы
2. Вычислить определенные интегралы
3. Исследовать сходимость несобственных интегралов
4. а) Найти площадь фигуры, заключенной между кривыми
б) Вычислить площадь фигуры, ограниченную линией, лежащей вне круга
5. а) Найти длину половины витка логарифмической спирали
б) Вычислить длину дуги параболы
6. Вычислить объем тела, образованного вращением вокруг оси фигуры, ограниченной линиями
7. Определить статический момент относительно осей координат отрезка цепной линии
8. Вычислить работу, необходимую для выкачивания воды из вертикального цилиндрического резервуара высотой Н = 5 м и радиусом основания R = 2 м.
![]()
1. Вычислить неопределенные интегралы
2. Вычислить определенные интегралы
3. Исследовать сходимость несобственных интегралов
4. а) Найти площадь фигуры, заключенной между кривыми
б) Вычислить площадь фигуры, ограниченную линией, лежащей вне круга
5. а) Найти длину половины витка логарифмической спирали
б) Вычислить длину дуги параболы
6. Вычислить объем тела, образованного вращением вокруг оси фигуры, ограниченной линиями
7. Определить статический момент относительно осей координат отрезка цепной линии
8. Вычислить работу, необходимую для выкачивания воды из вертикального цилиндрического резервуара высотой Н = 5 м и радиусом основания R = 2 м.

Характеристики домашнего задания
Предмет
Учебное заведение
Вариант
Просмотров
1
Качество
Фото рукописных листов
Размер
5,01 Mb
Список файлов
Tipovik_SamGTU_Prilozhenia_integralnogo_ischislenia_8_zadaniy-158-175.pdf

Если нужен другой вариант работы или отдельная задача из любой работы, пишите в комментарии