Задача: Практические задания по математике: комплексные числа, матрицы и дифференциальное исчисление
КОНТРОЛЬНАЯ РАБОТА
по дисциплине Математика
Вариант 4
Задание 1 Вычислить:
4) ABC+2A-3B , если
Задание 2. Найти обратную матрицу и сделать проверку
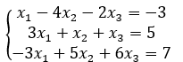
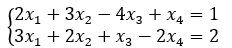
Задание 3 Решить систему методом Крамера
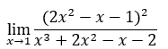
Задание 4 Вычислить пределы функций
Задание 5 Найти производную функции
Задание 6 Найти производную функции
ПРАКТИЧЕСКАЯ РАБОТА
по дисциплине Математика
Вариант 4
Часть 1 Комплексные числа
Часть 2 Алгебра матриц
Часть 3 Решение систем линейных уравнений
![]()
![]()
Б)
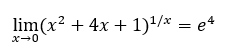
Часть 4 Теория пределов
Вычислить предел функции
4.1
4.2
4.3
Часть 5 Дифференциальное исчисление
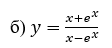
5.1 Найти производные dy/dx:
a)
б)
с)
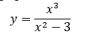
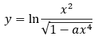
5.2 Исследовать средствами дифференциального исчисления функцию.
Найти асимптоты и построить график:
![]()
по дисциплине Математика
Вариант 4
Задание 1 Вычислить:
4) ABC+2A-3B , если
Задание 2. Найти обратную матрицу и сделать проверку
Задание 3 Решить систему методом Крамера
Задание 4 Вычислить пределы функций
Задание 5 Найти производную функции
Задание 6 Найти производную функции
ПРАКТИЧЕСКАЯ РАБОТА
по дисциплине Математика
Вариант 4
Часть 1 Комплексные числа
- Где расположены точки, изображающие комплексное число
![]()
- Выполнить указанные действия
![]()
- Представить в тригонометрической, показательной форме комплексное число
![]()
Часть 2 Алгебра матриц- Вычислить:
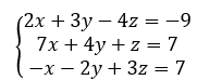
Часть 3 Решение систем линейных уравнений
- Найти ранг матрицы

- Найти матрицу, обратную данной

- Решить системы а) по формулам Крамера, б) матричным способом
Б)
Часть 4 Теория пределов
Вычислить предел функции
4.1
4.2
4.3
Часть 5 Дифференциальное исчисление
5.1 Найти производные dy/dx:
a)
б)
с)
5.2 Исследовать средствами дифференциального исчисления функцию. Найти асимптоты и построить график:

Характеристики решённой задачи
Предмет
Учебное заведение
Семестр
Просмотров
5
Размер
199,28 Kb
Список файлов
КОНТРОЛЬНАЯ РАБОТА.docx
ПРАКТИЧЕСКАЯ РАБОТА.docx
🎓 Никольский - Помощь студентам 📚 Любые виды работ: тесты, сессии под ключ, практики, курсовые и дипломные с гарантией результата ✅ Все услуги под ключ ✅ Знаем все тонкости именно вашего ВУЗа ✅ Сдадим или вернем деньги
Комментарии
Нет комментариев
Стань первым, кто что-нибудь напишет!



ПГУТИ
nikolskypomosh
















