Подробные решения: интегралы, ряды и дифференциальные уравнения
Ответы к заданиям: Сборник задач по интегралам, рядам и дифференциальным уравнениям
Дифференциальные уравнения
Вариант № 39
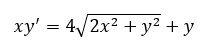
Задача 6 б.
Найти общий интеграл дифференциального уравнения.
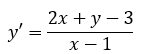
Задача 30 а.
Найти общий интеграл дифференциального уравнения.
Неопределенные интегралы
Вариант № 39
Задача 6 в.
Найти неопределенный интеграл
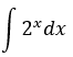
Задача 20.
Найти неопределенный интеграл
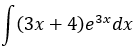
Задача 31 в.
Найти неопределенный интеграл
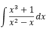
Задача 55.
Найти неопределенный интеграл
Определенные интегралы
Вариант № 39
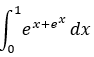
Задача 3б
Вычислить интеграл.
Задача 8 а
Вычислить интеграл.
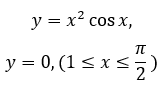
Задача 10б
Вычислить площади фигур, ограниченных линиями.
Ряды
Вариант № 39
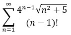
Задача 4 б
Исследовать на сходимость ряд
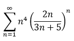
Задача 28 а
Исследовать на сходимость ряд
Показать/скрыть дополнительное описание
Вариант № 39
Задача 6 б.
Найти общий интеграл дифференциального уравнения.
Задача 30 а. Найти общий интеграл дифференциального уравнения.
Неопределенные интегралы
Вариант № 39
Задача 6 в.
Найти неопределенный интеграл
Задача 20.
Найти неопределенный интеграл
Задача 31 в. Найти неопределенный интеграл
Задача 55. Найти неопределенный интеграл
Определенные интегралы
Вариант № 39
Задача 3б
Вычислить интеграл.
Задача 8 а
Вычислить интеграл.
Задача 10б Вычислить площади фигур, ограниченных линиями.
Ряды
Вариант № 39
Задача 4 б
Исследовать на сходимость ряд
Задача 28 а Исследовать на сходимость ряд
Показать/скрыть дополнительное описаниеПодборка содержит подробные решения по неопределённым и определённым интегралам, проверке сходимости рядов (Коши, Даламбер) и методам решения ОДУ. Включены примеры разложения на простейшие, интегрирования по частям и практические числовые результаты, удобные для подготовки к экзаменам..
Характеристики ответов (шпаргалок) к заданиям
Предмет
Учебное заведение
Семестр
Просмотров
5
Размер
120,23 Kb
Список файлов
Дифференциальные_уравнения.docx
Ряды.docx
Определённые_интегралы._ч._1.docx
Определённые_интегралы._ч._2.docx
Неопределённые_интегралы._ч._1.docx
Неопределённые_интегралы._ч._2.docx
🎓 Никольский - Помощь студентам 📚 Любые виды работ: тесты, сессии под ключ, практики, курсовые и дипломные с гарантией результата ✅ Все услуги под ключ ✅ Знаем все тонкости именно вашего ВУЗа ✅ Сдадим или вернем деньги
Комментарии
Нет комментариев
Стань первым, кто что-нибудь напишет!
ЮУрГУ
nikolskypomosh













