Для студентов ИГЭУ им. Ленина по предмету ФизикаКолебанияКолебания
5,00575
2025-08-122025-08-12СтудИзба
Ответы к контрольной работе 4: Колебания
Описание
Колебания
- 4.1. Уравнение движения пружинного маятника
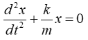
является дифференциальным уравнением…
2) свободных затухающих колебаний
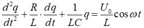
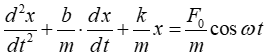
3) вынужденных колебаний
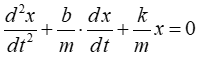
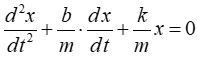
- 4.2. Уравнение движения пружинного маятника
является дифференциальным уравнением…
2) свободных затухающих колебаний
3) вынужденных колебаний
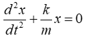
- 4.3. Уравнение движения пружинного маятника
является дифференциальным уравнением…
2) свободных затухающих колебаний
3) свободных незатухающих колебаний
- 4.4. Маятник совершает свободные гармонические колебания так, что скорость маятника изменяется с течением времени согласно графику, представленному на рисунке. На маятник начинает действовать периодически изменяющаяся внешняя сила. Резонанс будет наблюдаться, если период колебаний вынуждающей силы равен…

1) 0,6 с
2) 0,4 с
3) 0,8 с
4) 0,2 с
- 4.5. На рисунке изображен график затухающих колебаний. – смещение частицы от положения равновесия, описываемое уравнением
Определите коэффициент затухания β.
2) 2
3) 1
4) 2,7
- 4.6. На рисунке изображен график затухающих колебаний. x – смещение частицы от положения равновесия, описываемое уравнением
Определите время релаксации t(в с).
2) 0,5
3) 3
4) 1
- 4.7. Уменьшение амплитуды колебаний в системе с затуханием характеризуется временем релаксации. Если при неизменном коэффициенте трения среды увеличить в 2 раза массу колеблющегося тела, то время релаксации…
2) уменьшится в 2 раза
3) увеличится в 4 раза
4) увеличится в 2 раза
- 4.8. Груз на пружине совершает свободные гармонические колебания.
После уменьшения массы груза свободные колебания маятника показаны на рисунке…




- 4.9. На рисунках изображены зависимости от времени координаты и скорости колеблющейся материальной точки.
1) 1 с-1
2) 4 с-1
3) 3 с-1
4) 2 с-1
- 4.10. На рисунках изображены зависимости от времени скорости и ускорения колеблющейся материальной точки.
1) 4 с-1
2) 3 с-1
3) 1 с-1
4) 2 с-1
- 4.11. На рисунках изображены зависимости от времени координаты и ускорения колеблющейся материальной точки.
1) 3 с-1
2) 1 с-1
3) 4 с-1
4) 2 с-1
- 4.12. На рисунке представлена зависимость амплитуды колебаний груза на пружине с жесткостью k=10 H/м от частоты внешней силы. Вычислите массу колеблющегося груза.

1) 1т
2) 10кг
3) 0,1кг
4) 0,01кг
- 4.13. Складываются два гармонических колебания одного направления с одинаковыми периодами. Амплитуда результирующего колебания минимальна при разности фаз…
2) 0
3) π/4
4) π/2
- 4.14. Складываются два гармонических колебания одного направления с одинаковыми периодами. Амплитуда результирующего колебания максимальную амплитуду при разности фаз …
2) π
3) π/4
4) π/2
- 4.15. При сложении двух гармонических колебаний одного направления с одинаковыми периодами и равными амплитудами результирующее колебание имеет такую же амплитуду, что и складываемые колебания, при этом разности фаз…
2) 0
3) π
4) π/2
- 4.16. Складываются два гармонических колебания одного направления с одинаковыми частотами и равными амплитудами А0. При разности фаз Δφ=π/2 амплитуда результирующего колебания равна…
2) 0
3) 2А0
4) А0√3
- 4.17. Складываются два гармонических колебания одного направления с одинаковыми частотами и равными амплитудами А0. При разности фаз Δφ=π амплитуда результирующего колебания равна…
2) А0√2
3) 2А0
4) А0√3
- 4.18. Складываются два гармонических колебания одного направления с одинаковыми периодами и равными амплитудами А0. При разности фаз Δφ=3π/2 амплитуда результирующего колебания равна…
2) 5/2А0
3) А0√2
4) 0
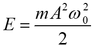
- 4.19. Полная энергия материальной точки, совершающей гармонические колебания, равна…





- 4.20. Материальная точка одновременно колеблется по гармоническому закону вдоль осей координат ox и oy с различными амплитудами, но одинаковыми частотами. При разности фаз π/2 траектория частицы изображена на рисунке…
2) 1
3) 4
4) 3
- 4.21. Материальная точка одновременно колеблется по гармоническому закону вдоль осей координат ox и oy с одинаковыми амплитудами, разность фаз равна π/2. При соотношении частот 3/2 траектория частицы изображена на рисунке…
2) 3
3) 1
4) 4
- 4.22. Пружинный маятник совершает свободные гармонические колебания. На каком рисунке верно изображена зависимость полной энергии системы от времени?





- 4.23. Уменьшение амплитуды колебаний в системе с затуханием характеризуется коэффициентом затухания. Если при неизменном коэффициенте трения среды увеличить в 2 раза массу колеблющегося груза, то коэффициент затухания…
2) уменьшится в 4 раза
3) увеличится в 4 раза
4) увеличится в 2 раза
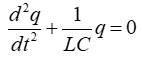
- 4.24. В колебательном контуре свободные незатухающие колебания заряда конденсатора описывает уравнение…



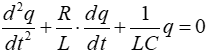
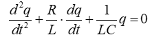
- 4.25. В колебательном контуре свободные затухающие колебания заряда конденсатора описывает уравнение…



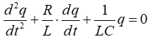
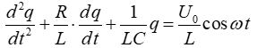
- 4.26. В колебательном контуре вынужденные колебания заряда конденсатора описывает уравнение…



- 4.27. Колебательный контур состоит из последовательно соединенных емкости, индуктивности и резистора (см. рисунок). К контуру подключено переменное напряжение. При некоторой частоте внешнего напряжения амплитуды напряжений на элементах цепи соответственно равны UR=4B, UL=6B, UC=3B. Вычислите амплитуду приложенного к контуру напряжения.
2) 4 В
3) 5 В
4) 13 В
Список вопросов
4.14. Складываются два гармонических колебания одного направления с одинаковыми периодами. Амплитуда результирующего колебания максимальную амплитуду при разности фаз …
4.27. Колебательный контур состоит из последовательно соединенных емкости, индуктивности и резистора (см. рисунок). К контуру подключено переменное напряжение. При некоторой частоте внешнего напряжения амплитуды напряжений на элементах цепи соответственно равны UR=4B, UL=6B, UC=3B. Вычислите амплитуду приложенного к контуру напряжения.
4.26. В колебательном контуре вынужденные колебания заряда конденсатора описывает уравнение…
4.25. В колебательном контуре свободные затухающие колебания заряда конденсатора описывает уравнение…
4.24. В колебательном контуре свободные незатухающие колебания заряда конденсатора описывает уравнение…
4.23. Уменьшение амплитуды колебаний в системе с затуханием характеризуется коэффициентом затухания. Если при неизменном коэффициенте трения среды увеличить в 2 раза массу колеблющегося груза, то коэффициент затухания…
4.22. Пружинный маятник совершает свободные гармонические колебания. На каком рисунке верно изображена зависимость полной энергии системы от времени?
4.21. Материальная точка одновременно колеблется по гармоническому закону вдоль осей координат ox и oy с одинаковыми амплитудами, разность фаз равна π/2. При соотношении частот 3/2 траектория частицы изображена на рисунке… ![]()

4.20. Материальная точка одновременно колеблется по гармоническому закону вдоль осей координат ox и oy с различными амплитудами, но одинаковыми частотами. При разности фаз π/2 траектория частицы изображена на рисунке… ![]()

4.19. Полная энергия материальной точки, совершающей гармонические колебания, равна…
4.18. Складываются два гармонических колебания одного направления с одинаковыми периодами и равными амплитудами А0. При разности фаз Δφ=3π/2 амплитуда результирующего колебания равна…
4.17. Складываются два гармонических колебания одного направления с одинаковыми частотами и равными амплитудами А0. При разности фаз Δφ=π амплитуда результирующего колебания равна…
4.16. Складываются два гармонических колебания одного направления с одинаковыми частотами и равными амплитудами А0. При разности фаз Δφ=π/2 амплитуда результирующего колебания равна…
4.15. При сложении двух гармонических колебаний одного направления с одинаковыми периодами и равными амплитудами результирующее колебание имеет такую же амплитуду, что и складываемые колебания, при этом разности фаз…
4.1. Уравнение движения пружинного маятника
является дифференциальным уравнением…

4.13. Складываются два гармонических колебания одного направления с одинаковыми периодами. Амплитуда результирующего колебания минимальна при разности фаз…
4.12. На рисунке представлена зависимость амплитуды колебаний груза на пружине с жесткостью k=10 H/м от частоты внешней силы. Вычислите массу колеблющегося груза.
![]()

4.11. На рисунках изображены зависимости от времени координаты и ускорения колеблющейся материальной точки.
Циклическая частота колебаний частицы равна...

Циклическая частота колебаний частицы равна...
4.10. На рисунках изображены зависимости от времени скорости и ускорения колеблющейся материальной точки.
Циклическая частота колебаний частицы равна...

Циклическая частота колебаний частицы равна...
4.9. На рисунках изображены зависимости от времени координаты и скорости колеблющейся материальной точки.
Циклическая частота колебаний частицы равна...

Циклическая частота колебаний частицы равна...
4.8. Груз на пружине совершает свободные гармонические колебания.
После уменьшения массы груза свободные колебания маятника показаны на рисунке…![]()
После уменьшения массы груза свободные колебания маятника показаны на рисунке…

4.7. Уменьшение амплитуды колебаний в системе с затуханием характеризуется временем релаксации. Если при неизменном коэффициенте трения среды увеличить в 2 раза массу колеблющегося тела, то время релаксации…
4.6. На рисунке изображен график затухающих колебаний. x – смещение частицы от положения равновесия, описываемое уравнением
Определите время релаксации t(в с).
![]()

Определите время релаксации t(в с).

4.5. На рисунке изображен график затухающих колебаний. – смещение частицы от положения равновесия, описываемое уравнением
Определите коэффициент затухания β.![]()

Определите коэффициент затухания β.

4.4. Маятник совершает свободные гармонические колебания так, что скорость маятника изменяется с течением времени согласно графику, представленному на рисунке. На маятник начинает действовать периодически изменяющаяся внешняя сила. Резонанс будет наблюдаться, если период колебаний вынуждающей силы равен…
![]()

4.3. Уравнение движения пружинного маятника
является дифференциальным уравнением…

4.2. Уравнение движения пружинного маятника
является дифференциальным уравнением…

Характеристики ответов (шпаргалок) к КР
Тип
Коллекция: Ответы (шпаргалки) к контрольной работе
Предмет
Учебное заведение
Семестр
Номер задания
Просмотров
8
Качество
Идеальное компьютерное
Количество вопросов

🎓Помощь студентам Ивановских ВУЗов🎓 ❤️ Каждая приобретенная работа служит стимулом для добавления новых материалов и упрощает учебный процесс.