Ответ на вопрос по физике №932639: 4.25. В колебательном контуре свободные затухающие колебания заряда конденсатора описывает уравнение… 1) 2) 3) 4.25. В колебательном контуре свободные затухающие - Ответ на вопрос по физике №9326394.25. В колебательном контуре свободные затухающие - Ответ на вопрос по физике №932639
2025-08-122025-08-12СтудИзба
4.25. В колебательном контуре свободные затухающие - Ответ на вопрос по физике №932639
Вопрос
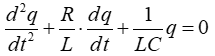
4.25. В колебательном контуре свободные затухающие колебания заряда конденсатора описывает уравнение…- 1)
![]()
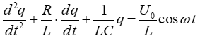
- 2)
![]()
- 3)
![]()
Ответ
Этот вопрос в коллекциях
Коллекция: Колебания
240 руб.

🎓Помощь студентам Ивановских ВУЗов🎓 ❤️ Каждая приобретенная работа служит стимулом для добавления новых материалов и упрощает учебный процесс.





















