Ответ на вопрос по физике №932628: 4.19. Полная энергия материальной точки, совершающей гармонические колебания, равна… 1) 2) 3) 4) 5) 4.19. Полная энергия материальной точки, совершающей - Ответ на вопрос по физике №9326284.19. Полная энергия материальной точки, совершающей - Ответ на вопрос по физике №932628
2025-08-122025-08-12СтудИзба
4.19. Полная энергия материальной точки, совершающей - Ответ на вопрос по физике №932628
Вопрос
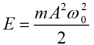
4.19. Полная энергия материальной точки, совершающей гармонические колебания, равна…- 1)
![]()
- 2)
![]()
- 3)
![]()
- 4)
![]()
- 5)
![]()
Ответ
Этот вопрос в коллекциях
Коллекция: Колебания
240 руб.

🎓Помощь студентам Ивановских ВУЗов🎓 ❤️ Каждая приобретенная работа служит стимулом для добавления новых материалов и упрощает учебный процесс.























