Для студентов ИГЭУ им. Ленина по предмету ФизикаМолекулярно-кинетическая теория газовМолекулярно-кинетическая теория газов
5,00571
2025-08-082025-08-25СтудИзба
Ответы к контрольной работе 5: Молекулярно-кинетическая теория газов
Описание
Молекулярно-кинетическая теория газов
- 5.1. При увеличении абсолютной температуры идеального газа в 2 раза и концентрации молекул в 4 раза его давление...
2) увеличилось в 2 раза
3) уменьшилось в 2 раза
4) увеличилось в 8 раз
- 5.2. При увеличении давления в 3 раза и уменьшении объема в 2 раза абсолютная температура идеального газа...
2) уменьшится в 1,5 раза
3) увеличится в 6 раз
4) уменьшится в 6 раз
- 5.3. В баллоне емкостью V находится некоторый газ массой m под давлением p. Средняя квадратичная скорость молекул газа равна...
2) v = √2pV/m
3) v = √pV/(3m)
4) v = √8pV/(πm)
- 5.4. На диаграмме P - T изображен замкнутый процесс в идеальном газе. В каких состояниях, отмеченных цифрами, газ имеет одинаковые объемы?
2) 1 и 2
3) 1 и 3
4) 2 и 3
- 5.5. На диаграмме T - V изображен замкнутый процесс в идеальном газе. В каких состояниях, отмеченных цифрами, газ имеет одинаковые давления?
2) 2 и 3
3) 2 и 4
4) 1 и 2
- 5.6. На рисунке представлен график распределения молекул идеального газа по скоростям (распределение Максвелла), где v1 – средняя, v2 – средняя квадратичная скорость молекул газа. С ростом температуры газа отношение v1 / v2 ...
2) может как увеличиваться, так и уменьшаться
3) не изменяется
4) уменьшается
- 5.7. На рисунке представлен график распределения молекул идеального газа по скоростям (распределение Максвелла). При увеличении температуры газа в 4 раза положение максимума кривой по оси v …
2) сместится в точку v = 4v1
3) сместится в точку v = 2v1
4) сместится в точку v = v1/4
- 5.8. На рисунке представлен график функции распределения молекул идеального газа по скоростям (распределение Максвелла), где f(v) = dN / Ndv – доля молекул, скорости которых заключены в интервале скоростей от v до v + dv в расчете на единицу этого интервала. Выберите верные утверждения.
2) При любом изменении температуры площадь под кривой не изменяется.
3) Площадь заштрихованной полоски пропорциональна числу молекул со скоростями в интервале от v до v + dv.
4) Площадь заштрихованной полоски пропорциональна доле молекул со скоростями в интервале от v до v + dv.
5) При понижении температуры максимум кривой смещается влево.
6) При понижении температуры площадь под кривой уменьшается.
7) С ростом температуры площадь кривой не изменяется.
8) Положение максимума кривой зависит как от температуры, так и от природы газа.
9) С ростом температуры площадь под кривой растет.
- 5.9. На рисунке представлен график распределения молекул идеального газа по скоростям (распределение Максвелла), где f(v) = dN / Ndv – доля молекул, скорости которых заключены в интервале скоростей от v до v + dv в расчете на единицу этого интервала. Заштрихованная на графике площадь S1 в два раза больше площади S2. Это означает, что в интервале скоростей от v1 до v1+dv1 в два раза больше…
2) количество молекул
3) суммарный импульс молекул газа
4) суммарная кинетическая энергия молекул
- 5.10. На рисунке представлен график функции распределения молекул идеального газа по скоростям (распределение Максвелла), где f(v) = dN / Ndv – доля молекул, скорости которых заключены в интервале скоростей от v до v + dv в расчете на единицу этого интервала. Если, не меняя температуры, взять другой газ с большей молярной массой и таким же числом молекул, то…
2) величина максимума уменьшится
3) площадь кривой увеличится
- 5.11. На рисунке представлен график функции распределения молекул идеального газа по скоростям (распределение Максвелла), где f(v) = dN / Ndv – доля молекул, скорости которых заключены в интервале скоростей от v до v + dv в расчете на единицу этого интервала. Для этой функции верными утверждениями являются…
2) с ростом температуры величина максимума растет
3) с ростом температуры максимум кривой смещается вправо
4) с ростом температуры максимум кривой смещается влево
5) с ростом температуры площадь заштрихованной полоски будет уменьшаться
6) при понижении температуры максимум кривой смещается влево
7) при понижении температуры величина максимума уменьшается
8) при понижении температуры площадь под кривой уменьшается
- 5.12. На рисунке представлен график распределения молекул идеального газа по скоростям (распределение Максвелла), где f(v) = dN / Ndv – доля молекул, скорости которых заключены в интервале скоростей от v до v + dv в расчете на единицу этого интервала. При уменьшении температуры и неизменном интервале скоростей площадь заштрихованной области…
2) увеличивается
3) уменьшается
4) может как увеличиться, так и уменьшиться
- 5.13. На рисунке представлен график распределения молекул идеального газа по скоростям (распределение Максвелла), где f(v) = dN / Ndv – доля молекул, скорости которых заключены в интервале скоростей от v до v + dv в расчете на единицу этого интервала. При уменьшении температуры и неизменном интервале скоростей dv площадь заштрихованной области…
2) может как увеличиться, так и уменьшиться
3) увеличивается
4) уменьшается
- 5.14. В трех одинаковых сосудах при равных условиях находится одинаковое количество водорода, гелия и азота (H2, He, N2). Распределение молекул гелия по скоростям описывает кривая…
2) 1
3) 2
- 5.15. В трех одинаковых сосудах находится одинаковое количество водорода, причем T1 > T2 > T3. Распределение проекций скоростей молекул водорода на произвольное направление X в сосуде с температурой T3 описывает кривая…
2) 2
3) 1
- 5.16. Средняя кинетическая энергия молекул газа при температуре T зависит от их структуры, что связано с возможностью различных видов движения молекулы. Средняя кинетическая энергия молекул гелия (He) равна...
2) 7/2kT
3) 1/2kT
4) 3/2kT
- 5.17. Средняя кинетическая энергия молекул газа при температуре T зависит от их структуры, что связано с возможностью различных видов движения молекулы. Средняя кинетическая энергия молекул азота (N2) равна...
2) 1/2kT
3) 3/2kT
4) 7/2kT
- 5.18. Средняя кинетическая энергия молекул газа при температуре T зависит от их структуры, что связано с возможностью различных видов движения молекулы. При условии, что имеют место только поступательное и вращательное движения молекулы, средняя энергия молекул углекислого газа (CO2) равна... (Учесть, что молекула CO2 линейная.)
2) 3/2kT
3) 3kT
4) 7/2kT
- 5.19. Средняя кинетическая энергия молекул газа при температуре T зависит от их структуры, что связано с возможностью различных видов движения молекулы. При условии, что имеют место только поступательное и вращательное движения молекулы, средняя энергия молекул водяного пара (H2O) равна...
2) 5/2kT
3) 3/2kT
4) 7/2kT
- 5.20. Средняя кинетическая энергия молекул газа при температуре T зависит от их структуры, что связано с возможностью различных видов движения молекулы. При условии, что имеют место только поступательное и вращательное движения молекулы, средняя энергия молекул метана (CH4) равна...
2) 5/2kT
3) 3/2kT
4) 7/2kT
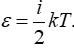
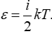
- 5.21. Средняя кинетическая энергия молекулы идеального газа при температуре T равна
Здесь i = nn +nвр + 2nk где nn, nвр и nk – число степеней свободы поступательного, вращательного и колебательного движений молекулы. При условии, что имеют место только поступательное и вращательное движения молекулы, для водорода (H2) число степеней свободы равно...
2) 7
3) 8
4) 5
- 5.22. Максимальное число вращательных степеней свободы для молекулы N2 равно...
2) 1
3) 2
4) 4
- 5.23. Отношение энергии поступательного движения молекулы кислорода O2 к ее полной внутренней энергии равно...
2) 1/3
3) 1
4) 1/2
5) 2/5
- 5.24. Теплоемкость идеального газа при адиабатическом процессе равна...
2) 5/2 R
3) 0
4) 3/2 R
- 5.25. Средняя кинетическая энергия молекул газа при температуре T зависит от их структуры, что связано с возможностью различных видов движения молекулы. При условии, что имеют место все виды движения молекулы, средняя энергия молекул азота (N2) равна...
2) 1/2 kT
3) 5/2 kT
4) 3/2 kT
- 5.26. На рисунке схематически представлена температурная зависимость молярной теплоемкости при постоянном объеме Cv от температуры T для двухатомного газа. В интервале температур для идеального газа, соответствующих участку 2 - 2' , молекула имеет...
2) три поступательных и две вращательных степени свободы
3) три поступательных степени свободы
- 5.27. Молярные теплоемкости гелия в процессах 1-2 и 1-3 равны C1 и C2 соответственно. Отношение теплоемкостей C1/C2 равно...
2) 3/5
3) 5/3
4) 7/5
- 5.28. Молярные теплоемкости двухатомного газа (при условии, что связь атомов в молекуле упругая) в процессах 1-2 и 1-3 равны C1 и C2 соответственно. Вычислите отношение C1/C2.
2) 7/5
3) 7/9
4) 9/7
Список вопросов
5.15. В трех одинаковых сосудах находится одинаковое количество водорода, причем T1 > T2 > T3. Распределение проекций скоростей молекул водорода на произвольное направление X в сосуде с температурой T3 описывает кривая…

5.28. Молярные теплоемкости двухатомного газа (при условии, что связь атомов в молекуле упругая) в процессах 1-2 и 1-3 равны C1 и C2 соответственно. Вычислите отношение C1/C2.
![]()

5.27. Молярные теплоемкости гелия в процессах 1-2 и 1-3 равны C1 и C2 соответственно. Отношение теплоемкостей C1/C2 равно... ![]()

5.26. На рисунке схематически представлена температурная зависимость молярной теплоемкости при постоянном объеме Cv от температуры T для двухатомного газа. В интервале температур для идеального газа, соответствующих участку 2 - 2' , молекула имеет... ![]()

5.25. Средняя кинетическая энергия молекул газа при температуре T зависит от их структуры, что связано с возможностью различных видов движения молекулы. При условии, что имеют место все виды движения молекулы, средняя энергия молекул азота (N2) равна...
5.24. Теплоемкость идеального газа при адиабатическом процессе равна...
5.23. Отношение энергии поступательного движения молекулы кислорода O2 к ее полной внутренней энергии равно...
5.22. Максимальное число вращательных степеней свободы для молекулы N2 равно...
5.21. Средняя кинетическая энергия молекулы идеального газа при температуре T равна
Здесь i = nn +nвр + 2nk где nn, nвр и nk – число степеней свободы поступательного, вращательного и колебательного движений молекулы. При условии, что имеют место только поступательное и вращательное движения молекулы, для водорода (H2) число степеней свободы равно...

5.20. Средняя кинетическая энергия молекул газа при температуре T зависит от их структуры, что связано с возможностью различных видов движения молекулы. При условии, что имеют место только поступательное и вращательное движения молекулы, средняя энергия молекул метана (CH4) равна...
5.19. Средняя кинетическая энергия молекул газа при температуре T зависит от их структуры, что связано с возможностью различных видов движения молекулы. При условии, что имеют место только поступательное и вращательное движения молекулы, средняя энергия молекул водяного пара (H2O) равна...
5.18. Средняя кинетическая энергия молекул газа при температуре T зависит от их структуры, что связано с возможностью различных видов движения молекулы. При условии, что имеют место только поступательное и вращательное движения молекулы, средняя энергия молекул углекислого газа (CO2) равна... (Учесть, что молекула CO2 линейная.)
5.17. Средняя кинетическая энергия молекул газа при температуре T зависит от их структуры, что связано с возможностью различных видов движения молекулы. Средняя кинетическая энергия молекул азота (N2) равна...
5.16. Средняя кинетическая энергия молекул газа при температуре T зависит от их структуры, что связано с возможностью различных видов движения молекулы. Средняя кинетическая энергия молекул гелия (He) равна...
5.1. При увеличении абсолютной температуры идеального газа в 2 раза и концентрации молекул в 4 раза его давление...
5.14. В трех одинаковых сосудах при равных условиях находится одинаковое количество водорода, гелия и азота (H2, He, N2). Распределение молекул гелия по скоростям описывает кривая…
![]()

5.13. На рисунке представлен график распределения молекул идеального газа по скоростям (распределение Максвелла), где f(v) = dN / Ndv – доля молекул, скорости которых заключены в интервале скоростей от v до v + dv в расчете на единицу этого интервала. При уменьшении температуры и неизменном интервале скоростей dv площадь заштрихованной области…
![]()

5.12. На рисунке представлен график распределения молекул идеального газа по скоростям (распределение Максвелла), где f(v) = dN / Ndv – доля молекул, скорости которых заключены в интервале скоростей от v до v + dv в расчете на единицу этого интервала. При уменьшении температуры и неизменном интервале скоростей площадь заштрихованной области…
![]()

5.11. На рисунке представлен график функции распределения молекул идеального газа по скоростям (распределение Максвелла), где f(v) = dN / Ndv – доля молекул, скорости которых заключены в интервале скоростей от v до v + dv в расчете на единицу этого интервала. Для этой функции верными утверждениями являются…
![]()

5.10. На рисунке представлен график функции распределения молекул идеального газа по скоростям (распределение Максвелла), где f(v) = dN / Ndv – доля молекул, скорости которых заключены в интервале скоростей от v до v + dv в расчете на единицу этого интервала. Если, не меняя температуры, взять другой газ с большей молярной массой и таким же числом молекул, то…
![]()

5.9. На рисунке представлен график распределения молекул идеального газа по скоростям (распределение Максвелла), где f(v) = dN / Ndv – доля молекул, скорости которых заключены в интервале скоростей от v до v + dv в расчете на единицу этого интервала. Заштрихованная на графике площадь S1 в два раза больше площади S2. Это означает, что в интервале скоростей от v1 до v1+dv1 в два раза больше… ![]()

5.8. На рисунке представлен график функции распределения молекул идеального газа по скоростям (распределение Максвелла), где f(v) = dN / Ndv – доля молекул, скорости которых заключены в интервале скоростей от v до v + dv в расчете на единицу этого интервала. Выберите верные утверждения.
![]()

5.7. На рисунке представлен график распределения молекул идеального газа по скоростям (распределение Максвелла). При увеличении температуры газа в 4 раза положение максимума кривой по оси v …
![]()

5.6. На рисунке представлен график распределения молекул идеального газа по скоростям (распределение Максвелла), где v1 – средняя, v2 – средняя квадратичная скорость молекул газа. С ростом температуры газа отношение v1 / v2 ...
![]()

5.5. На диаграмме T - V изображен замкнутый процесс в идеальном газе. В каких состояниях, отмеченных цифрами, газ имеет одинаковые давления? ![]()

5.4. На диаграмме P - T изображен замкнутый процесс в идеальном газе. В каких состояниях, отмеченных цифрами, газ имеет одинаковые объемы? ![]()

5.3. В баллоне емкостью V находится некоторый газ массой m под давлением p. Средняя квадратичная скорость молекул газа равна...
5.2. При увеличении давления в 3 раза и уменьшении объема в 2 раза абсолютная температура идеального газа...
Характеристики ответов (шпаргалок) к КР
Тип
Коллекция: Ответы (шпаргалки) к контрольной работе
Предмет
Учебное заведение
Семестр
Номер задания
Просмотров
17
Качество
Идеальное компьютерное
Количество вопросов

🎓Помощь студентам Ивановских ВУЗов🎓 ❤️ Каждая приобретенная работа служит стимулом для добавления новых материалов и упрощает учебный процесс.