Lektsia_6_Funk_Sprosa_vybissled_otsendol i (818905)
Текст из файла
Пример статистического исследования – оценивание функции (ожидаемого) спроса
Оценивание функции спроса
P – price – цена
D – demand – спрос
(P-P0)*D(p)->maxp D(p)-?
Какую максимальную цену Вы готовы заплатить за мобильный телефон? 26 опрошенных
- упорядочение по возрастанию (неубыванию) – в виде таблицы
20
20
7
15
15
20
15
7
10
30
25
27
15
30
27
24
20
20
35
21
20
15
30
25
15
25
-
(Цена-Издержки)*Количество проданного товара = прибыль от реализации
Соответственно, если издержки = 5,10,…,30 т.р.
| i | pi | fi | Di | (pi-5)Di | (pi-10)Di | (pi-15)Di | (pi-20)Di | (pi-25)Di | (pi-30)Di |
| 1 | 7 | 2 | 26 | 2*26=52 | - | - | - | - | - |
| 2 | 10 | 1 | 24 | 5*24=120 | - | - | - | - | - |
| 3 | 15 | 6 | 23 | 230 | 5*23=115 | - | - | - | - |
| 4 | 20 | 6 | 17 | 255 | 170 | 85 | - | - | - |
| 5 | 21 | 1 | 11 | 176 | 121 | 66 | 11 | - | - |
| 6 | 24 | 1 | 10 | 190 | 140 | 90 | 40 | - | - |
| 7 | 25 | 3 | 9 | 180 | 133 | 90 | 45 | - | - |
| 8 | 27 | 2 | 6 | 132 | 102 | 72 | 42 | 12 | - |
| 9 | 30 | 3 | 4 | 100 | 80 | 60 | 30 | 20 | - |
| 10 | 35 | 1 | 1 | 30 | 25 | 20 | 15 | 10 | 5 |
| 26 |
+анализ функции, прибылей и поиск оптимальной цены
Выборочные исследования
Необходимость ВИ Термин "выборочные исследования" применяют, когда невозможно изучить все единицы представляющей интерес совокупности. Приходится знакомиться с частью совокупности - с выборкой, а затем с помощью статистических методов и моделей переносить выводы с выборки на всю совокупность.
Модели выборок
^ Биномиальное распределение используется при описании выборочного контроля с возвращениями, т.е. в случае когда каждый объект после контроля возвращается в контролируемую партию.
^ Гипергеометрическое распределение описывает выборочный контроль без возвращения. При этом, с увеличением объема генеральной совокупности N оно стремится к биномиальному как к своему пределу.
Биномиальная:
Объем генеральной совокупности – N
Объем выборки равен
.
Тогда ответы опрашиваемых можно представить как
, где
, если
-й респондент выбрал первую подсказку (например, говорит «да»),
и
, если
-й респондент выбрал вторую подсказку (сказал «нет»),
Вероятность, с которой респонденты ответят «да»:
Биномиальное распределение:
Гипергеометрическая:
Объем генеральной совокупности – N
Объем выборки равен
.
В генеральной совокупности D говорят «да»
А в выборке – Х говорят «да»
Тогда вероятность, с которой респонденты ответят да: P(X=k), k=0,1,2,…,n
Для генеральной совокупности: p=D/N
Для выборки: p*=X/n
Т.е. это доли говорящих «да»
Представительная выборка
Гипергеометрическое распределение:
Объем генеральной совокупности – N
Объем выборки – n
В генеральной совокупности D говорят «да»
В выборке – X говорят «да»
Тогда вероятность, с которой респонденты ответят «да»: P(x=k), k=0,1,2,,,n
Для генеральной совокупности: p=D/n
Для выборки: p*=x/n
Т.е. это доли говорящих «да»
Согласно ЦПТ:
Поскольку гипергеометрическое распределение хорошо приближается биномиальным, если объем выборки по крайней мере в 10 раз меньше объема всей совокупности (в рассматриваемом случае это так), то правомерно использование биномиальной модели, согласно которой мнение респондента (ответы на вопросы анкеты) рассматривается как случайный вектор, а все такие векторы независимы между собой. Другими словами, можно использовать модель простой случайной выборки.
γ
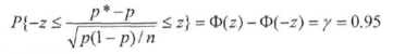
- доверительная вероятность, обычно принимается
7=0,95. Тогда:
По теореме Муавра-Лапласа теории вероятностей
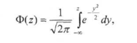
где Ф(z)- функция стандартного нормального распределения с математическим ожиданием 0 и дисперсией 1,
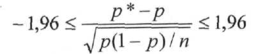
Сначала заметим, что из этой теоремы непосредственно следует, что
Поскольку функция стандартного нормального распределения симметрична относительно 0, т.е.
Ф(г)=0.975, z=1.96 по таблице значений функции норм. распределения
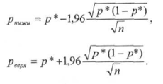
а так как корень бесконечно мал (с пом. метода наследования сходимости), р меняем на р*.
Характеристики
Тип файла документ
Документы такого типа открываются такими программами, как Microsoft Office Word на компьютерах Windows, Apple Pages на компьютерах Mac, Open Office - бесплатная альтернатива на различных платформах, в том числе Linux. Наиболее простым и современным решением будут Google документы, так как открываются онлайн без скачивания прямо в браузере на любой платформе. Существуют российские качественные аналоги, например от Яндекса.
Будьте внимательны на мобильных устройствах, так как там используются упрощённый функционал даже в официальном приложении от Microsoft, поэтому для просмотра скачивайте PDF-версию. А если нужно редактировать файл, то используйте оригинальный файл.
Файлы такого типа обычно разбиты на страницы, а текст может быть форматированным (жирный, курсив, выбор шрифта, таблицы и т.п.), а также в него можно добавлять изображения. Формат идеально подходит для рефератов, докладов и РПЗ курсовых проектов, которые необходимо распечатать. Кстати перед печатью также сохраняйте файл в PDF, так как принтер может начудить со шрифтами.
















