КР (775191)
Текст из файла
Московский Авиационный Институт
(Государственный Технический Университет)
МАИ
Кафедра 403
Расчетно-пояснительная записка
к курсовой работе по дисциплине:
"Вычислительные системы и микропроцессорная техника"
Выполнил:
Шульгин А. В.
Группа № 04-519
Проверил:
Орлов В.П.
2006
Содержание.
Задание……………………………………………………………………………………….
Уточнение задания…………………………………………………………………………..
Составление блок-схемы алгоритма функционирования устройства……………………
Составление микропрограммы на языке операционного описания……...........................
Функциональная схема устройства………………………………………………………...
Операционный автомат.………………………………………………………………….....
Управляющий автомат с жесткой логикой………………………………………...….......
Управляющий автомат с программируемой логикой……………………………….........
Список литературы……………………………………………………………………….....
Задание.
На устройство по шине А{1:32} последовательно друг за другом поступают два параллельных 32-х разрядных слова. Определить слово, содержащее более длинную последовательность нулей и длину этой последовательности. Входные и выходные слова передаются по одной шине А{1:32}.
Уточнение задания.
Для выполнения данной задачи необходимо устройство, имеющее один вход и один выход. На вход А{1:32} побайтно подаются два 32-разрядных сигнала. Необходимо определить более длинную последовательность нулей и представить в прямом коде. Выдать по входной шине.
Примем, что источник входного кода гарантирует правильность выставленной информации во время действия стробирующего импульса СТРОБ1. Устройство подтверждает выдачу кода с более длинной последовательностью нулей во время действия генерируемого им импульса считывания УСЧИТ.
Выберем внешнюю синхронизацию.
Будем считать, что смена кода А осуществляется по положительному фронту импульсов ГТИ (генератора тактовых импульсов), длительность импульсов СТРОБ1, УСЧИТ равна периоду тактовой последовательности и положительные фронты этих импульсов появляются вслед за положительным фронтом импульсов ГТИ.
Выходной код А{0:х}– двоично-позиционный код, численный эквивалент которого равен разности сигналов во входном коде, поступающего на вход А. Так как значение такой разности не может быть больше 32, то разрядность выходного кода может равняться {1:6}, так как: (32)10 = (100000)2, добавим еще один разряд на знак.
Представим функциональную схему и эпюры напряжения:
+
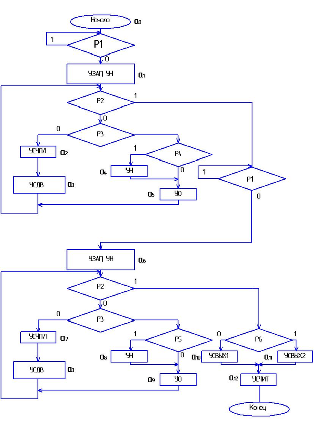
Алгоритм функционирования устройства.
Микропрограмма.
Микропрограмма;
Переменные
входные: A{1:32}, СТРОБ;
внутренние: РГД{1:32}, СЧ1, СЧ2, РГД1, РГД2;
выходные: РГД1, РГД2, УСЧИТ;
Признаки:
Р1 = СТРОБ;
Р2 = ↓/РГД{1:32};
Р3 = РГД{1}=0;
Р4 = РГД1>СЧ1;
Р5= РГД2>СЧ2;
Р6= РГД1>РГД2;
Управляющие сигналы:
УЗАП, УН, УСЧПЛ, УСЧМИН, УСДВ, УСЧИТ;
Процедура
М1 если Р1, то М1;
УЗАП: РГД{1:32}:= А{1:32},
УН: СЧ1:= 0, РГД1:=0;
М2 если Р2, то М6;
если Р3, то М3;
УСЧПЛ: СЧ1:= СЧ1 + 1;
М3 если Р4, то М4
Сч1:=0;
М4 РГД1:= Сч1;
М5 УСДВ: РГД:= РГД{2:32}.0;
идти к М2;
М6 если Р1, то М6;
УЗАП: РГД{1:32}:= В{1:32},
УН: СЧ2:= 0, РГД2:=0;
М7 если Р2, то М11;
если Р3, то М8;
УСЧПЛ: СЧ2:= СЧ2 + 1;
М8 если Р5, то М9
Сч2:=0;
М9 РГД2:= Сч2;
М10 УСДВ: РГД:= РГД{2:32}.0;
идти к М6;
М11 если Р6, то М12
УСВЫХ1: РГД1
УСВЫХ2: РГД2
М12 УСЧИТ: ;
конец.
Где УЗАП – сигнал устройства запоминания; УН – сигнал устройства накопления; УСЧПЛ, УСЧМИН – сигналы счетного устройства; УСДВ – сигнал устройства сдвига; УСЧИТ – сигнал устройства, генерирующего импульсы считывания.
Проверку на ноль содержимого регистра проверили с помощью операции ИЛИ-НЕ(стрелка Пирса):
Функциональная схема устройства.
Операционный автомат.
Функциональная схема операционного автомата представлена ниже:
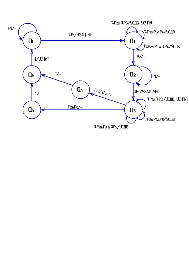
Управляющий автомат с жесткой логикой.
Управляющий автомат построим с жесткой логикой. Конечный автомат может быть построен и как автомат Мура, и как автомат Мили. Построение графов переходов и выходов управляющего автомата осуществляется на основании граф-схем алгоритмов изображенных ниже.
Граф автомата Мура:
Автомат Мили
Граф автомата Мили:
Управляющий автомат с программируемой логикой.
Составим каноническую форму микропрограммы синтезируемого операционного устройства в виде таблицы:
| Номер | Метка | Управляющие сигналы | Переход |
| 0 1 2 3 4 5 6 7 8 9 10 11 12 13 14 15 16 17 18 | М1 М2 М3 М4 М5 М6 М7 М8 | УЗАП, УН УСЧПЛ УСДВ УЗАП УСЧМИН УСДВ УИНВ УСЧПЛ УСЧИТ | если Р1, то М1 если Р2,то М4 если Р3, то М3 идти к М2 если Р1, то М4 если Р2, то М7 если Р3, то М6 идти к М5 если Р4, то М8 конец |
В случае принудительной адресации строки 5 и 6, 12 и 13, 17 и 18 можно объединить. Тогда:
| Номер | Метка | Управляющие сигналы | Переход |
| 0 1 2 3 4 5 6 7 8 9 10 11 12 13 14 15 | М1 М2 М3 М4 М5 М6 М7 М8 | УЗАП, УН УСЧПЛ УСДВ УЗАП УСЧМИН УСДВ УИНВ УСЧПЛ УСЧИТ | если Р1, то М1 если Р2,то М4 если Р3, то М3 идти к М2 если Р1, то М4 если Р2, то М7 если Р3, то М6 идти к М5 если Р4, то М8 конец |
Формат команды с принудительной адресацией имеет вид:
| МК | УЗАП | УН | УСЧПЛ | УСЧМИН | УСДВ | УИНВ | УСЧИТ | ХР1 | ХР2 |
| Разряды МК | 1 | 2 | 3 | 4 | 5 | 6 | 7 | 8 | 9 |
| МК | ХР3 | ХР4 | А3 | А2 | А1 | А0 | |||
| Разряды МК | 10 | 11 | 12 | 13 | 14 | 15 |
Для естественной адресации имеем два формата микрокоманд:
| Операционные МК | 0 | УЗАП | УН | УСЧПЛ | УСЧМИН | УСДВ | УИНВ | УСЧИТ | – | – |
| Управляющие МК | 1 | ХР1 | ХР2 | ХР3 | ХР4 | А4 | А3 | А2 | А1 | А0 |
| Разряды МК | 1 | 2 | 3 | 4 | 5 | 6 | 7 | 8 | 9 | 10 |
Первый разряд формата микрокоманды УА с естественной адресацией определяет признак микрокоманды: 0 – операционная микрокоманда, 1 – управляющая микрокоманда.
Кодовые выражения микропрограммы для УА следующие:
| Адрес | Разряды микрокоманд | ||
| 00000 00001 00010 00011 00100 00101 00110 00111 01000 01001 01010 01011 01100 01101 01110 01111 10000 10001 10010 | 1 0 1 1 0 0 1 1 0 1 1 0 0 1 1 0 0 0 1 | 1 0 0 0 0 0 0 1 1 0 0 0 0 0 0 1 0 0 0 0 0 0 0 1 0 0 0 0 0 0 1 0 0 0 0 0 0 0 0 1 0 0 0 0 0 0 0 0 0 1 0 0 0 0 0 0 1 0 0 0 0 0 0 0 1 0 0 0 0 0 0 0 1 0 0 0 0 0 0 0 1 0 0 0 0 0 0 0 1 0 0 0 0 0 0 0 0 0 0 0 0 1 0 0 0 0 0 0 0 0 1 0 0 0 1 0 0 0 0 0 0 0 0 0 0 1 0 0 0 0 0 0 0 | 0 0 0 0 0 0 0 0 0 0 0 0 1 1 1 0 0 1 0 1 0 0 0 0 0 0 0 0 0 0 0 0 0 1 0 0 0 1 1 1 0 0 0 0 0 0 1 1 1 0 0 1 1 0 0 0 0 0 0 0 0 0 0 0 0 0 1 0 0 1 1 0 0 0 1 0 0 0 0 0 0 0 0 0 0 0 0 0 0 0 0 0 0 0 0 |
С принудительной адресацией.
| Адрес | Разряды микрокоманд | ||
| 0000 0001 0010 0011 0100 0101 0110 0111 1000 1001 1010 1011 1100 1101 1110 1111 | 0 0 0 0 0 0 0 1 1 0 0 0 0 0 0 0 0 0 0 0 0 0 0 0 0 0 0 0 0 0 1 0 0 0 0 0 0 0 0 1 0 0 0 0 0 0 0 0 0 1 0 0 0 0 0 0 0 0 0 0 0 0 0 0 0 0 0 0 0 0 0 0 0 1 0 0 0 0 0 0 0 1 0 0 0 0 0 0 0 0 0 0 0 0 0 0 1 0 0 0 0 1 0 0 0 0 0 0 0 0 0 1 | 1 0 0 0 0 0 0 0 0 1 0 0 0 0 1 0 0 0 0 0 0 0 0 0 1 0 0 0 0 0 0 0 0 1 0 0 0 0 1 0 0 0 0 0 0 0 0 0 0 0 0 1 0 0 0 0 0 0 0 0 0 0 0 0 | 0 0 0 0 0 0 1 0 0 1 1 0 0 1 0 1 0 1 0 1 0 0 1 0 0 1 1 0 1 0 0 0 1 1 0 0 1 0 1 1 1 0 1 1 1 0 0 0 1 1 1 1 1 1 1 0 1 1 1 1 0 0 0 0 |
Характеристики
Тип файла документ
Документы такого типа открываются такими программами, как Microsoft Office Word на компьютерах Windows, Apple Pages на компьютерах Mac, Open Office - бесплатная альтернатива на различных платформах, в том числе Linux. Наиболее простым и современным решением будут Google документы, так как открываются онлайн без скачивания прямо в браузере на любой платформе. Существуют российские качественные аналоги, например от Яндекса.
Будьте внимательны на мобильных устройствах, так как там используются упрощённый функционал даже в официальном приложении от Microsoft, поэтому для просмотра скачивайте PDF-версию. А если нужно редактировать файл, то используйте оригинальный файл.
Файлы такого типа обычно разбиты на страницы, а текст может быть форматированным (жирный, курсив, выбор шрифта, таблицы и т.п.), а также в него можно добавлять изображения. Формат идеально подходит для рефератов, докладов и РПЗ курсовых проектов, которые необходимо распечатать. Кстати перед печатью также сохраняйте файл в PDF, так как принтер может начудить со шрифтами.















