курсач(Щеглов) (775150)
Текст из файла
Московский Авиационный Институт
(технический университет)
Курсовая работа
по предмету
Вычислительные системы и МПТ
Выполнила студентка группы 04-409: Василюк Т.В.
Проверил преподаватель: Щеглов А.В.
Москва
2003г.
Оглавление:
-
Задание 3
2. Уточнение задания 3
3. Временные диаграммы 3
4. Алгоритм 4
5. Микропрограмма 1 5
6. Микропрограмма 2 5
7.Функциональная схема операционного автомата 6
8. Управляющий автомат с жесткой логикой 6
1) граф-схема алгоритма автомата Мура 7
2) граф-схема алгоритма автомата Мили 8
9. Таблица переходов и выходов 9
10. Кодированная таблица переходов и выходов 9
11. Функция возбуждения триггера и выражения для управляющих сигналов 9
12. Функциональная схема УА 10
13. Управляющий автомат с программной логикой 10
14. Формат команды с принудительной адресацией 10
15. Кодовые выражения микрокоманд для УА с принудительной адресацией 11
16. Функциональная схема УА с принудительной адресацией 11
Задание
По шине А{1:64} в устройство поступает 64-разрядный параллельный код. Определить в этом коде число комбинаций вида 11011 и установить номера разрядов, где расположены 0 этих комбинаций.
Уточнение задания
НОМ{5:0}
Временные диаграммы
Г И
СТРОБ
А
НОМ
УСЧНОМ
КОЛ
УСЧКОЛ
Регистровая реализация устройства
Алгоритм
Микропрограмма 1
Переменные:
входные: А{1:64}, строб;
внутренние: РГД{1:64}, СЧНОМ{5:0}, СЧКОЛ{4:0};
внешние: УСЧКОЛ, УСЧНОМ, НОМ{5:0}:=СЧНОМ{5:0}, КОЛ{4:0}:=СЧКОЛ{4:0};
Признаки:
Р1:=┐строб;
Р2:=РГД{1:64}:=0;
Р3:= ┐(РГД{1}&РГД{2}&┐РГД{3}&РГД{4}&РГД{5});
Процедура:
М1 если Р1, то М1;
УЗАП1: РГД:=А,
УН1: СЧКОЛ:=0,
УН2: СЧНОМ:=3;
М2 если Р2, то М4;
если Р3, то М3;
УСЧКЛ: СЧКОЛ:= СЧКОЛ+1,
УСЧНОМ;
М3 УСДВ: РГД:=РГД{2:64}.0;
УСЧНМ: СЧНОМ:= СЧНОМ+1;
Идти к М2;
М4 УСЧКОЛ: ;
конец.
После упрощения микропрограмма примет вид
Микропрограмма 2
Переменные:
входные: А{1:64}, строб;
внутренние: РГД{1:64}, СЧНОМ{5:0}, СЧКОЛ{4:0};
внешние: УСЧКОЛ, УСЧНОМ, НОМ{5:0}:=СЧНОМ{5:0}, КОЛ{4:0}:=СЧКОЛ{4:0};
Признаки:
Р1:=┐строб;
Р2:=↓/РГД{1:64}:=0;
Р3:= ┐(РГД{1}&РГД{2}&┐РГД{3}&РГД{4}&РГД{5});
Процедура:
М1 если Р1, то М1;
УЗП: РГД:=А, СЧКОЛ:=0, СЧНОМ:=3;
М2 если Р2, то М4;
если Р3, то М3;
УСЧКЛ: СЧКОЛ:= СЧКОЛ+1,
УСЧНОМ;
М3 УСДВ: РГД:=РГД{2:64}.0; СЧНОМ:= СЧНОМ+1;
Идти к М2;
М4 УСЧКОЛ: ;
конец.
Функциональная схема операционного автомата
Управляющий автомат с жесткой логикой
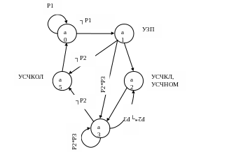
Автомат Мура
Граф-схема алгоритма
а2
а4
Граф-схема алгоритма автомата Мили
а0
Будем строить управляющий автомат как автомат Мили, т.к. он имеет только 2 состояния и реализуется на одном триггере. В качестве последнего выберем Д-триггер
| вход | Состояния | |
| а0 | а1 | |
| Р1 | а0 | |
| ┐Р1 | а1/УЗП | |
| ┐Р2 | а0/УСЧКОЛ | |
| Р2*Р3 | а1/УСДВ | |
| Р2*┐Р3 | а1/УСЧКЛ, УСЧНОМ, УСДВ | |
Таблица переходов и выходов
Кодированная таблица переходов и выходов
| вход | а0 | а1 | ||
| Р1 | 0 | |||
| ┐Р1 | 1 | УЗП | ||
| ┐Р2 | 0 | УСЧКОЛ | ||
| Р2*Р3 | 1 | УСДВ | ||
| Р2*┐Р3 | 1 | УСЧКЛ, УСЧНОМ, УСДВ | ||
Функция возбуждения триггера и выражения для управляющих сигналов
Q(t+1)=( ┐P1*┐Q+P2*P3*Q+P2*┐P3*Q)t=(┐P1*┐Q+P2*Q)t
УЗП=┐P1*┐Q
УСЧКОЛ= ┐P2*Q
УСДВ= P2*P3*Q+ P2*┐P3*Q= P2*Q
УСЧНОМ= P2*┐P3*Q= ┐P3* УСДВ
УСЧКЛ=┐P3* УСДВ
Функциональная схема УА
Управляющий автомат с программной логикой
| номер | метка | Управляющие сигналы | переход |
| 0 | М1 | если Р1, тоМ1 | |
| 1 | УЗП | ||
| 2 | М2 | если Р2, тоМ4 | |
| 3 | если Р3, тоМ3 | ||
| 4 | УСЧКЛ,УСЧНОМ | ||
| 5 | М3 | УСДВ | идти к М2 |
| 6 | М4 | УСЧКОЛ | конец |
Формат команды с принудительной адресацией
| УЗП | УСЧКЛ | УСЧНОМ | УСДВ | УСЧКОЛ | ХР1 | ХР2 | ХР3 | А1 | А2 | А3 |
Кодовые выражения микрокоманд для УА с принудительной адресацией
| Адрес | Разряды микрокоманд |
| 000 001 010 011 000 101 110 | 00000 100 000 10000 000 010 00000 010 110 00000 001 101 01100 000 000 00010 000 010 00001 000 000 |
Функциональная схема УА с принудительной адресацией
11
Характеристики
Тип файла документ
Документы такого типа открываются такими программами, как Microsoft Office Word на компьютерах Windows, Apple Pages на компьютерах Mac, Open Office - бесплатная альтернатива на различных платформах, в том числе Linux. Наиболее простым и современным решением будут Google документы, так как открываются онлайн без скачивания прямо в браузере на любой платформе. Существуют российские качественные аналоги, например от Яндекса.
Будьте внимательны на мобильных устройствах, так как там используются упрощённый функционал даже в официальном приложении от Microsoft, поэтому для просмотра скачивайте PDF-версию. А если нужно редактировать файл, то используйте оригинальный файл.
Файлы такого типа обычно разбиты на страницы, а текст может быть форматированным (жирный, курсив, выбор шрифта, таблицы и т.п.), а также в него можно добавлять изображения. Формат идеально подходит для рефератов, докладов и РПЗ курсовых проектов, которые необходимо распечатать. Кстати перед печатью также сохраняйте файл в PDF, так как принтер может начудить со шрифтами.
















