КР(1) (775190)
Текст из файла
МОСКОВСКИЙ ГОСУДАРСТВЕННЫЙ АВИАЦИОННЫЙ ИНСТИТУТ
(технический университет)
Кафедра 403
РАСЧЕТНО - ПОЯСНИТЕЛЬНАЯ ЗАПИСКА
к курсовой работе по дисциплине
"Вычислительные системы и микропроцессорная техника"
Выполнил студент гр.04-407:
Акулин А.А.
Проверил преподаватель:
____________________________________________________________________
Москва
2000
Оглавление
| стр. | |
| 1. Задание на проектирование…………………………………………. | 3 |
| 2. Анализ и уточнение задания………………………………………... | 4 |
| 3. Комбинационная реализация устройства………………………….. | 5 |
| 4. Регистровая реализация устройства………………………………... | 5 |
| Схема алгоритма…………………………………………………….. | 6 |
| Микропрограмма на языке опреционного описания……………… | 7 |
| 5. Разработка функциональной схемы устройства…………………... | 9 |
| Управляющий автомат с жесткой логикой………………………… | 9 |
| Управляющий автомат с программируемой логикой……………... | 15 |
| 6. Построение принципиальной схемы устройства………………….. | 18 |
| Список использованной литературы………………………………….. | 20 |
Задание
Вариант № 37(б)
На устройство по шине А{32:1} последовательно друг за другом поступают два параллельных 32-х разрядных слова.
Синтезировать устройство, определяющее слово, содержащее более длинную непрерывную последовательность единиц и длину этой последовательности.
*Входные и выходные слова передаются по одной шине A{32:1}.
Анализ и уточнение задания
Максимально возможная непрерывная последовательность единиц 32 (10) = 100000 (2). Для передачи этой информации необходимо задействовать разряды A{6:1}. Для индикации номера слова в котором содержится максимальная последовательность единиц выделим седьмой разряд выходного слова по шине A{7}.
Тактовая синхронизация будет осуществляться внешним генератором тактовых импульсов (ГТИ).
Примем, что источник входного кода гарантирует правильность выставления информации пока стробирующий импульс СТРОБ имеет высокий уровень. При готовности устройством принять входное слово должен быть сформирован сигнал СЛСЛВ ("следующие слово") высокого уровня. После обработки двух входных слов должен сформироваться сигнал ГОТОВ высокого уровня, позволяющий внешнему устройству считать выходные данные.
Будем считать, что запись входных слов происходит по переднему фронту ГТИ. Длительность импульса СТРОБ, ГОТОВ, СЛСЛВ равна периоду тактового импульса (ТИ) и положительные фронты этих импульсов появляются вслед за положительным фронтом ТИ.
Задание на проектирование в виде функциональной схемы и эпюр напряжения, представлено на рис.1 и рис.2 соответственно.
Рис 1.
Рис 2.
Комбинационная реализация устройства
Так как два 32-разрядный кода на вход проектируемого устройства должны поступать последовательно, то комбинационный вариант построить нельзя.
Регистровая реализация устройства
В основу построения регистрового варианта устройства положим идею преобразования параллельного кода в последовательный с последующей обработкой символов. Суть обработки будет заключаться в подсчете подряд идущих единиц, запоминании максимального количества подряд идущих единиц и номера посылки, где оно обнаружено. После установки выходного сигнала ГОТОВ в высокий уровень выходной результат можно считать с A{7:1}.
Задача преобразования параллельного кода в последовательный решается с помощью сдвигового регистра, подсчет единиц - с помощью счетчика.
Определение номера посылки реализуем на Т-триггере. Максимальное количество единиц будем записывать в другой регистр. Для определения максимального количества единиц используем компаратор. Для организации двунаправленной шины используем шинный формирователь.
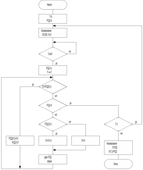
Схема алгоритма
Рис. 3
Микропрограмма на языке операционного описания
Микропрограмма 1
Переменные:
входные: A{32:1}, СТРОБ;
внутренние: РГД1{32:1}, РГД2{7:1}, СЧ{6:1}, T;
выходные: A{7:1}, СЛСЛВ, ГОТОВ;
Признаки:
P1=СТРОБ;
Р2=РГД1=0;
P3=РГД1{1}=1;
P4=СЧ > РГД2{6:1};
P5=T=1;
Процедура
| УTН: | Т:=0; | |
| УРГД2Н: | РГД2:=0; | |
| М1 | СЛСЛВ: | ; |
| УСЧ0: | СЧ:=0; | |
| М2 | Если P1, то М2; | |
| УЗАП1: | РГД1:=А; | |
| УЗАП2: | T:= T | |
| M3 | Если P4, то M6; | |
| Если P2, то М7; | ||
| Если P3, то М4; | ||
| УСЧ1: | СЧ:=СЧ+1; | |
| Идти к M5; | ||
| М4 | УСЧ2: | СЧ:=0; |
| M5 | УСДВ: | РГД1:=0.РГД{32:2}; |
| Идти к M3; | ||
| M6 | УЗАП3: | РГД2{6:1}:=СЧ; |
| УЗАП4: | РГД2{7}:=T; | |
| Идти к M3; | ||
| М7 | если P5, то М1; | |
| ГОТОВ: | ; | |
| УСЧИТ: | A{7:1}:=РГД2; | |
| конец. |
Анализ микропрограммы показывает, что сигналы УТН и УРГД2Н; СЛСЛВ и УСЧ0; УЗАП1 и УЗАП2; УЗАП3 и УЗАП4; ГОТОВ и УСЧИТ эквивалентны и их можно заменить сигналами УН: УН=УТН=УРГД2Н; СЛСЛВ: СЛСЛВ=УСЧ0; УЗП1: УЗП1=УЗАП1=УЗАП2; УЗП2: УЗП2=УЗАП3=УЗАП4; ГОТОВ: ГОТОВ=УСЧИТ. Проверку на ноль содержимого регистра РГД1 можно осуществить с помощью операции ИЛИ-НЕ (стрелка Пирса):
Текст программы, учитывающий вышесказанное:
Микропрограмма 2
Переменные:
входные: A{32:1}, СТРОБ;
внутренние: РГД1{32:1}, РГД2{7:1}, СЧ{6:1}, T;
выходные: A{7:1}, СЛСЛВ, ГОТОВ;
Признаки:
P1=СТРОБ;
Р2=РГД1;
P3=РГД1{1}=1;
P4=СЧ > РГД2{6:1};
P5=T=1;
Процедура
| УН: | Т:=0, РГД2:=0; | |
| М1 | СЛСЛВ: | СЧ:=0; |
| М2 | Если P1, то М2; | |
| УЗП1: | РГД1:=А, T:= T; | |
| M3 | Если P4, то M6; | |
| Если P2, то М7; | ||
| Если P3, то М4; | ||
| УСЧ1: | СЧ:=СЧ+1; | |
| Идти к M5; | ||
| М4 | УСЧ2: | СЧ:=0; |
| M5 | УСДВ: | РГД1:=0.РГД{32:2}; |
| Идти к M3; | ||
| M6 | УЗП2: | РГД2{6:1}:=СЧ; РГД2{7}:=T; |
| Идти к M3; | ||
| М7 | Если P5, то М1; | |
| ГОТОВ: | A{7:1}:=РГД2; | |
| Конец. |
Разработка функциональной схемы устройства
Функциональная схема операционного автомата, составленная в соответствии с микропрограммой 2, изображена на рис. 4.
Рис. 4
Управляющий автомат с жесткой логикой
Управляющий автомат с жесткой логикой будет реализовываться в виде классического конечного автомата Мура или Мили. На основании блок-схемы алгоритма работы устройства определим количество состояний для каждого типа автомата.
На рис.5 построены граф-схемы алгоритмов для автоматов Мура (а) и Мили (б), соответствующие микропрограмме 2 и учитывающие тот факт, что сигналы УСЧ2 и УСДВ; УСЧ1 и УСДВ являются совместными. Метки
отображаются в состояния автоматов, условия P1, P2, P3, P4, P5 определяют значения входных сигналов, а управляющие сигналы - значения выходных сигналов автоматов. Будем строить автомат как автомат Мили поскольку он имеет 3 состояния, а автомат Мура 8.
Рис 5(а).
Рис 5(б)
Граф переходов для автомата Мили, полученный из граф-схемы алгоритма, изображен на рис 6.
Таблица переходов и выходов автомата:
| Вход | Состояния | ||
| a0 | A1 | a2 | |
| 1 | a1 / УН, СЛСЛВ | ||
| P1 | а1 / - | ||
| P1 | а2 / УЗП1 | ||
P4 P2 P5 | а1 / СЛСЛВ | ||
| P4 P2 P5 | а0 / ГОТОВ | ||
| P4 | а2 / УЗП2 | ||
| P4 P2 P3 | а2 / УСЧ2; УСДВ | ||
| P4 P2 P3 | а2 / УСЧ1; УСДВ | ||
Воспользуемся таблицей кодирования внутренних состояний автомата
| А | а0 | а1 | а2 |
| Q1 | 0 | 0 | 1 |
| Q2 | 0 | 1 | 0 |
и построим кодированную таблицу переходов и выходов:
| Вход | Состояния | ||
| 00 | 10 | 01 | |
| 1 | 10 / УН, СЛСЛВ | ||
| P1 | 10 / - | ||
| P1 | 01 / УЗП1 | ||
P4 P2 P5 | 10 / СЛСЛВ | ||
| P4 P2 P5 | 00 / ГОТОВ | ||
| P4 | 01 / УЗП2 | ||
| P4 P2 P3 | 01 / УСЧ2; УСДВ | ||
| P4 P2 P3 | 01 / УСЧ1; УСДВ | ||
На основании кодированной таблицы переходов и выходов определим функции внешних переходов.
Характеристики
Тип файла документ
Документы такого типа открываются такими программами, как Microsoft Office Word на компьютерах Windows, Apple Pages на компьютерах Mac, Open Office - бесплатная альтернатива на различных платформах, в том числе Linux. Наиболее простым и современным решением будут Google документы, так как открываются онлайн без скачивания прямо в браузере на любой платформе. Существуют российские качественные аналоги, например от Яндекса.
Будьте внимательны на мобильных устройствах, так как там используются упрощённый функционал даже в официальном приложении от Microsoft, поэтому для просмотра скачивайте PDF-версию. А если нужно редактировать файл, то используйте оригинальный файл.
Файлы такого типа обычно разбиты на страницы, а текст может быть форматированным (жирный, курсив, выбор шрифта, таблицы и т.п.), а также в него можно добавлять изображения. Формат идеально подходит для рефератов, докладов и РПЗ курсовых проектов, которые необходимо распечатать. Кстати перед печатью также сохраняйте файл в PDF, так как принтер может начудить со шрифтами.















