62158 (611431), страница 9
Текст из файла (страница 9)
(36)
Для моста с параллельным соединением Сх и Rx (рис. 31, б) условие равновесия имеет вид
(37)
откуда
(38)
Тангенс угла потерь конденсатора при параллельной схеме замещения:
Поскольку условия уравновешивания моста зависят от частоты, мостовые схемы измерения предназначены для работы на одной из определенных частот, например: 50, 100, 1000, 10 000, 100 000 Гц.
Уравновешивание схем достигается поочередным регулированием переменных образцовых сопротивлений или емкостей. Эта процедура называется шагами, а количество шагов определяет сходимость моста. Мост с хорошей сходимостью имеет не более пяти шагов. Уравновешенные мосты переменного тока обеспечивают погрешность измерения 0,5 до 5%.
6.4 Резонансные методы измерения параметров цепей
При резонансных методах измерений используются физические явления в колебательных контурах и генераторах. Соответственно методы подразделяются на контурные и генераторные. Генераторные методы в настоящее время находят, в силу разных причин, ограниченное применение. Наиболее универсальным прибором для измерения параметров цепей является куметр (от латинской буквы Q — характеристики добротности катушки индуктивности), в котором основная измерительная цепь — последовательный колебательный контур.
Упрощенная структурная схема куметра представлена на рис.32. Источником синусоидальных сигналов, подаваемых на последовательный резонансный контур, является генератор тока, нагруженный на малое активное сопротивление R0 ≤ 0,05 Ом. Частота выходных колебаний генератора может изменяться в широких пределах. Уровень входного сигнала необходимо поддерживать постоянным (по вольтметру VI).
Р
ис.32. Упрощенная структурная схема куметра
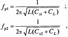
При измерении индуктивности катушку подключают к зажимам 1—2. В этом случае резонансный контур будет образован катушкой измеряемой индуктивности Lx с активными потерями RL и межвитковой емкостью ее проводов СL, а также перестраиваемой эталонной емкостью Сэ. Резонанс в контуре на заданной частоте достигается изменением величины емкости Сэ, эталонного конденсатора. Состояние резонанса контура определяется по вольтметру V2, отградуированному в значениях добротности Q. Если измерения емкости Сэ произвести на двух резонансных частотах, то их можно вычислить по следующим уравнениям:
(40)
(41)
где Сэ1, и Сэ2 — известные эталонные емкости при резонансных частотах ƒp1 и ƒР2 соответственно.
Пусть соотношение частот ƒp1 = KƒР2, где К — коэффициент — вещественное число. Тогда совместное решение уравнений (40), (41) дает возможность вычислить ранее неизвестные величины параметров L и CL:
(42)
(43)
С помощью куметра можно также определять неизвестные параметры R, С, tgδc, подключая измеряемые резистор или конденсатор к зажимам 3 — 4.
Погрешности измерения параметров L, С, tgδc, R куметром лежат в пределах 1...5% в зависимости от используемой схемы.
Причинами появления этих погрешностей могут являться: нестабильность генератора, наличие в контуре постороннего сопротивления R0, неточность шкалы конденсатора эталонной емкости Сэ, погрешности измерительных приборов VI, VI, погрешность считывания показаний.
7. Метод дискретного счета с мостами переменного тока
В методе используется апериодический процесс, возникающий при подключении заряженного конденсатора или катушки индуктивности с протекающим в ней током к образцовому резистору. В первом случае при измерении сопротивления разряд образцового конденсатора проходит через измеряемый резистор. Структурная схема измерителя емкости, реализующая метод дискретного счета, показана на рис.33.
Рис.33. Структурная схема измерителя емкости с мостом переменного тока, реализующая метод дискретного счета
Перед измерением емкости ключ Кл устанавливается в положении 1 и конденсатор Сх заряжается через ограничительный резистор Rд до значения стабилизированного источника напряжения Е.
В
момент начала измерения t1 (рис.34.а) управляющее устройство импульсом управления переключает триггер из состояния 0 в состояние 1, очищает предыдущие показания счетчика импульсов и переводит ключ Кл в положение 2. Конденсатор Сд начинает разряжаться через образцовый резистор Rобр по экспоненциальному закону (рис.34, б), который аналитически описывается выражением
В момент времени t1 единичный импульс Uт с выхода триггера открывает схему совпадения и счетчик начинает счет тактовых импульсов генератора, следующих с некоторой частотой ƒ.
Напряжение Uс подается на один из входов устройства сравнения, ко второму входу которого подводиться напряжение с резистора R2 состоящего из резисторов R1 и R2. Это напряжение определяется выражением:
UR = ER2/ (R, + R2). (45)
Сопротивления R1 и R2 выбирают так, чтобы при разряде конденсатора уменьшающееся напряжение
напряжению при разряде UR. В момент t2, когда сравниваются эти напряжения, на выходе устройства сравнения возникает импульс Uус, переключающий триггер в исходное состояние, при котором задним фронтом его импульса UT закрывается схема совпадения, и счетчик прекращает счет тактовых импульсов (рис.34, б...д).
Р
ис. 34.Временные диаграммы к схеме рис.33: а- импульсы управления; б- процесс разряда конденсатора; в- сигнал на выходе УС; г- сигнал триггера; д- импульсы на входе счетчика.
Поскольку при t - t2 напряжения Uc= UR и τ = t2- tu то
(46)
(47)
Итак, напряжение UR, снимаемое с делителя R1, R2, должно иметь определенное значение, что достигается подбором сопротивлений его резисторов.
При поступлении на счетчик N импульсов
N=fτ, (48)
гдеƒ— частота следования счетных импульсов.
Так как τ = RобрCx, то при фиксированных значениях частоты ƒи сопротивления Ro6p
(49)
где коэффициент К1 =ƒRo6p.
Согласно (49), величина измеряемой емкости прямо пропорциональна числу импульсов N, поступивших на счетчик.
Наличие образцового конденсатора Со6р позволяет аналогичным образом измерить сопротивление резистора:
Rx= N/(ƒCo5p) = N/K2, (50)
где коэффициент К2 = ƒСобр.
Метод дискретного счета, использующий мосты переменного тока, широко применяется при создании цифровых измерителей емкостей и сопротивлений. К достоинствам метода следует отнести, прежде всего, достаточно высокую точность измерений.
Погрешность измерений цифровым методом составляет 0,1...0,2% и зависит в основном от нестабильности сопротивлений резисторов RобР, R1, R2 или конденсатора Собр, нестабильности частоты генератора счетных импульсов, а также неточности срабатывания устройства сравнения.
8. Цифровые автоматические приборы с микропроцессором. Цифровые мультиметры
Цифровые автоматические приборы с микропроцессором
При создании цифровых автоматических приборов для измерения сопротивления, индуктивности и емкости широко используются методы, связанные с преобразованием измеряемого параметра в напряжение или ток, частоту или интервал времени, а также методы на основе мостовых и компенсационных схем.
Н
аибольшее распространение получили цифровые автоматические приборы с микропроцессором, выполненные по схемам с использованием уравновешенных мостов. Уравновешивание осуществляется автоматическим регулированием двух органов моста (для каждого из измеряемых параметров). Упрощенная структурная схема цифрового автоматического измерителя комплексного сопротивления с микропроцессором приведена на рис. 35.
Рис.35. Упрощенная схема цифрового автоматического измерителя комплексного сопротивления с микропроцессором
В основе данного измерения параметров цепей цифровым прибором лежит мостовой метод с фазочувствительными детекторами уравновешивания. Питание мостовой схемы осуществляется от генератора переменного напряжения (на рисунке для упрощения не показан).
Микропроцессор со встроенным тактовым генератором определенной частоты выполняет все функции управления измерительным процессом. Напряжение разбаланса моста Up через усилитель сигнала разбаланса поступает на входы фазовых детекторов активной АС и реактивной PC составляющих. Опорные напряжения фазовых детекторов UопАС и UonPc снимаются с мостовой схемы. Напряжение разбаланса с фазовых детекторов подается на реверсивные счетчики, управляющие состоянием органов уравновешивания мостовой схемы, и на микропроцессор, задающий сигналами UAC и UPC скорость счета соответствующих реверсивных счетчиков.
Направление счета реверсивных счетчиков определяется знаком напряжения разбаланса фазовых детекторов, скорость счета — значением этого напряжения. Изменение состояния счетчика, вызванное приходом на мост каждого тактового импульса Uv тактового генератора, приводит к изменению значения регулирующего параметра на одну единицу младшего разряда. Опорные напряжения фазовых детекторов выбираются такими, что сигналы, вырабатываемые ими, определяются отклонением органа управления от состояния равновесия: сигнал одного детектора отклонением по активной составляющей АС, сигнал другого — по реактивной составляющей PC. Управление мостом осуществляется сигналом Uт микропроцессора.
По мере приближения к состоянию баланса моста напряжение разбаланса уменьшается, вследствие чего замедляется скорость его уравновешивания. При достижении состояния равновесия мостовой схемы дискретное уравновешивание прекращается, и результаты измерения поступают на цифровые отсчетные устройства (ЦОУ).
Микропроцессор осуществляет самокалибровку прибора перед началом измерений, а также учитывает влияние внешних условий на точность измерений.















