62158 (611431), страница 8
Текст из файла (страница 8)
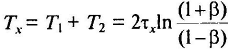
гдеβ = R2/(R{ + R2) — коэффициент передачи цепи положительной обратной связи.
При достижении этой функцией порогового значения +βUo в момент времени t1, срабатывает компаратор на ОУ, изменяя на выходе знак напряжения U0 на противоположный. Интервал времени интегрирования
(24)
На следующем интервале времени Т2 = t2- t{ происходит формирование развертывающей функции с противоположным знаком производной. Очевидно, что при равенстве положительного и отрицательного порогов срабатывания |+β Uo| = |-β Uo| интервалы T1, и Т2 равны. При этом период меандрового напряжения на выходе ОУ определяется выражением.
(25)
Результат измерения периода Тх пропорционален значению определяемого параметра Rx (или Сх, или Lx).
Цифровые измерительные приборы, построенные по методу развертывающего преобразования, получили широкое распространение при измерении параметров электрических цепей; их погрешность измерения составляет 0,005...0,1%.
Наряду с методами преобразования в практике используются также методы уравновешивающего преобразования Rx, Сх и Lx— параметров.; Сравнение измеряемой величины с образцовой чаще всего осуществляв ется путем уравновешивания мостовой измерительной цепи, в одно из плеч которой включается исследуемый двухполюсник. В смежное плечо моста включается образцовый элемент, представляющий собой набор квантованных образцовых мер, соответствующих весовым коэффициентам разрядов используемого цифрового кода. Изменением параметров образцового двухполюсника добиваются равенства нулю напряжения в измерительной диагонали. Уравновешивание моста может быть как следящим, так и развертывающим.
Достоинствами таких ЦИП являются высокая точность и широкий динамический диапазон. К их недостаткам относится низкое быстродействие, обусловленное необходимостью применения контактных ключей для формирования с высокой точностью параметров образцового двухполюсника.
На рис.28 показана структурная схема цифрового моста постоянного тока уравновешивающего типа для измерения активного сопротивления резистора или другого элемента с оммическими потерями.
Измеряемый резистор Rх образцовые резисторы R1, и R2 и преобразователь кода в сопротивление (ПКС) образуют мост, который питается источником постоянного напряжения (ИП). Разбаланс моста фиксируется устройством сравнения (УС). Устройство управления (УУ) анализирует выходной сигнал УС и в зависимости от его знака увеличивает или уменьшает; цифровой код N, выдаваемый на ПКС. Уравновешивание производится до тех пор, пока напряжение в выходной диагонали моста не станет меньше порога чувствительности УС. При этом измеряемое сопротивление
(25)
где КПКС = Rпкс /N— коэффициент преобразования ПКС; Rпкс — сопротивление ПКС.
Как следует из формулы (25), результат измерения (он фиксируется цифровым отсчетным устройством — ЦОУ) не зависит от напряжения питания моста.
Изменение пределов измерения происходит путем изменения отношения сопротивлений резисторов R1 и R2 цепи положительной обратной связи. Точность измерения определяется стабильностью сопротивления образцовых резисторов R1 и R2 и точностью ПКС.
Цифровые мосты постоянного тока обеспечивают погрешность измерения около 0,01% и широко используются для точного измерения активного сопротивления.
Б
олее сложными являются мосты переменного тока, предназначенные для измерений комплексного сопротивления, индуктивности и емкости при определенной фиксированной частоте (обычно 1 кГц). Эти мосты выполняют уравновешивание по двум параметрам, т.е. производят раздельное и независимое уравновешивание двух составляющих комплексного сопротивления Zx.
Рис.28. Структурная схема цифрового моста постоянного тока уравновешивающего типа
6.2 Мосты постоянного и переменного тока
Для измерений различных величин находят применение измерительные приборы – мосты и компенсаторы, которые строятся на основе метода сравнения с мерой.
Мосты широко используются для измерения сопротивления, индуктивности, емкости, добротности и угла потерь. На основе мостовых схем выпускают приборы для измерения неэлектрических величин (температуры, перемещений и др.) и различные устройства автоматики. Широкое применение мостов объясняется возможностью измерения различных величин.
В зависимости от характера сопротивлений плеч, образующих мост, и рода тока, питающего мост, выделяют мосты постоянного и переменного тока. В зависимости от вида схемы (числа плеч) мосты постоянного тока бывают четырехплечие (одинарные) и шестиплечие (двойные). Мосты выпускаются с ручным и автоматическим уравновешиванием.
Для измерений напряжений и ЭДС постоянного и переменного тока применяют компенсаторы постоянного и переменного тока. Они также применяются для измерения других величин при использовании измерительных преобразователей и косвенного способа измерений. Компенсаторы дают возможность получать результаты с высокой точностью, они обладают высокой чувствительностью. Приборостроительная промышленность выпускает компенсаторы, как с ручным, так и с автоматическим уравновешиванием.
Измерение параметров на переменном токе. Основными методами измерения параметров R, L, С на переменном токе являются мостовые и резонансные. Мостовые методы измерения являются более точными, но могут использоваться только в ограниченной полосе частот. Существует несколько разновидностей мостовых схем: четырехплечие, шестиплечие (двойные), уравновешенные, неуравновешенные и процентные. Управление этими мостами может быть как ручным, так и автоматическим. Наибольшее распространение получили схемы четырехплечих уравновешенных мостов. Обобщенная структурная схема такого моста показа-па на рис.29, а.
Сопротивления четерехплечего моста в общем случае носят комплексный характер:
(26)
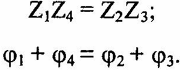
Условия равновесия такого моста будут определяться двумя уравнениями:
(27)
(28)
Для выполнения этих условий необходимо наличие в плечах моста двух элементов с регулируемыми параметров. Этими параметрами наиболее удобно сделать активные сопротивления. В качестве элемента, обеспечивающего необходимый фазовый сдвиг, используется эталонный конденсатор емкостью С0 с малыми потерями.
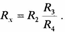
Упрощенная структурная схема четырехплечего уравновешенного моста для измерений активных сопротивлений представлена на рис.29, б. Магнитоэлектрический, электронный или цифровой нуль-индикатор (НИ) включается в диагональ моста, ток в которой в момент измерения должен быть установлен равным нулю. Согласно условию (27) равновесия моста необходимо, чтобы выполнялось равенство RхR4=R2R3,откуда неизвестное сопротивление можно выразить следующей формулой:
(29)
Для достижения равновесия моста достаточно иметь один регулируемый параметр (резистор R4), как показано на рис.29, б.
Р
ис.29. Структурная схема четырехплечего моста.
Пределы измеряемых сопротивлений для подобных мостов составляют от 10 -2 до 10 7 Ом. Погрешности измерения — от сотых долей процента до нескольких процентов в зависимости от диапазона измерения. Наименьшие погрешности лежат в диапазоне от 100 Ом до 100 кОм. При малых измеряемых сопротивлениях вклад в погрешность измерения вносят сопротивления соединительных проводов, при больших — сопротивления утечки.
Представленная на рис.29, б схема может быть создана в цифровом варианте. Для этого регулируемый резистор изготавливается в виде набора ряда сопротивлений, выполненных в соответствии с двоично-десятичным кодом. Сопротивления поочередно включаются в плечо измерительного моста до тех пор, пока схема не уравновесится. Положение ключей характеризует собой код измеряемой величины, поступающий затем в цифровое отсчетное устройство.
6.3 Измерение индуктивности, добротности, емкости и тангенса угла потерь
Наиболее распространенные схемы мостов на переменном токе, измерения индуктивности и добротности катушек представлены рис.30. В них используются источники гармонического тока с амплитудой напряжения U и угловой частотой ω. Эти четырехплечие мосты соответствуют наилучшей сходимости (уравновешивания). Эквивалентные схемы замещения для катушек индуктивности с потерями могут быть последовательными или параллельными в зависимости от потерь отображенных активным сопротивлением.
Р
ис.30. Схемы мостов для измерения индуктивностей и их добротностей с образцовыми элементами: а – катушкой; б – конденсатором
Условие равновесия для схемы рис.30, а имеет вид
(30)
где Lx и Rx — измеряемые индуктивность и сопротивление омических потерь в катушке; LQ и R0 — образцовые индуктивности и сопротивление.
Приравняв отдельно действительные и мнимые члены формулы (30), получим:
LX=L0R2/Ri; RX=R0R2/Rh (31)
Поскольку изготовление высокодобротных образцовых катушек вызывает определенные трудности, часто в качестве образцовой меры в мостах переменного тока применяется конденсатор (рис.30, б). Для этой схемы
(32)
Приравняв отдельно в данном уравнении вещественную и мнимую части, получим следующие формулы для определения параметров катушки индуктивности:
Lx=C0R2R3; Rx=R2R3/R0. (33)
Добротность катушки
(34)
Для измерения емкости и тангенса угла потерь конденсаторов с малыми потерями применяют мостовую схему, представленную на рис.31, а (последовательное соединение элементов Схи Rx), а с большими потерями — на рис. 31, б (параллельное соединение элементов Сх и Rx).
Условие равновесия для схемы рис.31, а имеет вид
Р
ис.31. Схемы мостов для измерения емкости и угла потерь конденсаторов:
а – с малыми потерями; б – с большими потерями.
Разделив здесь вещественную и мнимую части, получим следующие формулы для определения параметров конденсатора:
Cx= C3R4 /R2, Rx=R3R2/R4. (35)
Тангенс угла потерь конденсатора















