62158 (611431)
Текст из файла
1. Основы метрологического обеспечения
Под метрологическим обеспечением (МО) понимается установление и применение научных и организационных основ, технических средств, правил и норм, необходимых для достижения единства и требуемой точности измерении. Основной тенденцией в развитии МО является переход от существовавшей ранее сравнительно узкой задачи обеспечения единства и требуемой точности измерений к принципиально новой задаче обеспечения качества измерений.
Качество измерений понятие более широкое, чем точность измерений. Оно характеризует совокупность свойств СИ, обеспечивающих получение в установленный срок результатов измерений с требуемыми точностью (размером допускаемых погрешностей), достоверностью, правильностью, сходимостью и воспроизводимостью.
Понятие "метрологическое обеспечение" применяется, как правило, по отношению к измерениям (испытанию, контролю) в целом. В то же время допускают использование термина "метрологическое обеспечение технологического процесса (производства, организации)", подразумевая при этом МО измерений (испытаний или контроля) в данном процессе, производстве, организации. Объектом МО являются все стадии жизненного цикла (ЖЦ) изделия (продукции) или услуги. Под ЖЦ понимается совокупность последовательных взаимосвязанных процессов создания и изменения состояния продукции от формулирования исходных требований к ней до окончания эксплуатации или потребления.
Так, на стадии разработки продукции для достижения высокого качества изделия производится выбор контролируемых параметров, норм точности, допусков, средств измерения, контроля и испытания. Так же осуществляется метрологическая экспертиза конструкторской и технологической документации. При разработке МО необходимо использовать системный подход, суть которого состоит в рассмотрении указанного обеспечения как совокупности взаимосвязанных процессов, объединенных одной целью достижением требуемого качества измерений. Такими процессами являются:
• установление рациональной номенклатуры измеряемых параметров и оптимальных норм точности измерений при контроле качества продукции и управлении процессами;
• технико-экономическое обоснование и выбор СИ, испытаний и контроля и установление их рациональной номенклатуры;
• стандартизация, унификация и агрегатирование используемой контрольно-измерительной техники;
• разработка, внедрение и аттестация современных методик выполнения измерения, испытаний и контроля (МВИ);
• поверка, метрологическая аттестация и калибровка контрольно-измерительного и испытательного оборудования (КИО), применяемого на предприятии;
• контроль за производством, состоянием, применением и ремонтом КИО, а также за соблюдением метрологических правил и норм на предприятии;
• участие в разработке и внедрении стандартов предприятия;
• внедрение международных, государственных и отраслевых стандартов, а также иных нормативных документов Госстандарта;
• проведение метрологической экспертизы проектов нормативной, конструкторской и технологической документации;
• проведение анализа состояния измерений, разработка на его основе и осуществление мероприятий по совершенствованию МО;
• подготовка работников соответствующих служб и подразделений предприятия к выполнению контрольно-измерительных операций.
Метрологическое обеспечение имеет четыре основы: научную, организационную, нормативную и техническую. Отдельные аспекты МО рассмотрены в рекомендации МИ 2500-98 по метрологическому обеспечению малых предприятий. Разработка и проведение мероприятий МО возложено на метрологические службы (МС). Метрологическая служба служба, создаваемая в соответствии с законодательством для выполнения работ по обеспечению единства измерений и осуществления метрологического контроля и надзора.
2. Цифровые устройства: шифраторы и дешифраторы, сумматоры, счетчики, мультиплексоры, регистры, магнитоэлектронные переключатели
Интегральные счетчики
Интегральный счетчик — цифровое устройство (цифровая микросхема или ее часть), выполненное на интегральных триггерах со схемами управления разной структуры и осуществляющее счет поступающих на его вход импульсов. Счет импульсов в счетчик представляется определенными комбинациями состояний триггеров. При поступлении на вход схемы очередной логической 1 в счетчике устанавливается новая комбинация состояний триггеров, соответствующая числу, превышающему предыдущее на единицу. Такие счетчики называют суммирующими. В цифровой измерительной технике применяют и вычитающие счетчики, в которых в процессе счета входные числа последовательно убывают на единицу, а также реверсивные счетчики, способные переключаться из режима суммирования в режим вычитания и наоборот.
Для представления чисел в счетчиках используются в основном двоичная, десятичная и двоично-десятичная системы счислений. При применении двоичной системы счисления логические уровни на прямых выходах триггеров определяют цифры двоичных разрядов числа. В этом случае каждый разряд числа в счетчике обеспечивается определенным состоянием одного триггера. Максимальное число импульсов, которое может быть записано, составляет N = 2л-1, где п — число разрядов (число триггеров) в счетчике.
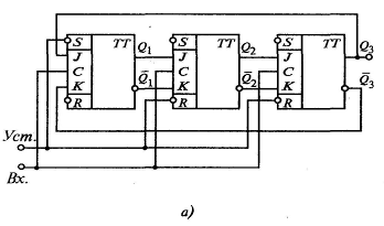
Рассмотрим простейший двоичный кольцевой счетчик, представляющий собой три замкнутых в кольцо JК-триггеров (рис.1, а), по которым под воздействием входных импульсов (точка Вх) циркулирует одна пли несколько кодовых единиц.
В рассматриваемой схеме прямой выход каждого предыдущего триггера соединен с входом J последующего триггера. Тактовые входы С всех триггеров объединены (узел Вх.) и на них поступают счетные импульсы. Перед началом счета первый триггер импульсным сигналом Уст. устанавливается в состояние 1, остальные триггеры — в состояние 0. Этому состоянию счетчика соответствует 0 на выходе Q 3 последнего триггера. После отключения сигнала Уст, начинается счет, и триггеры функционируют как обычные JK-триггеры.
Поскольку на информационных входах первого триггера было установлено J = 0 и К = 1, в момент окончания первого входного импульса он перейдет в состояние логического 0. Второй триггер примет состояние 1, так как на его входах было J = К = 1. Третий триггер не изменит своего предыдущего состояния. Таким образом, кодовая 1 перешла с первого триггера на второй. По окончании каждого следующего входного импульса 1 будет перемещаться от предыдущего триггера к последующему, т.е. переходить по схеме вправо (см. таблицу истинности на рис. 1, б).
рис.1. Кольцевой счетчик:
а – схема; б – таблица истинности
Шифраторы и дешифраторы
Прежде чем перейти к рассмотрению специфических устройств цифровой измерительной техники- шифраторов и дешифраторов, обратимся к системам отображения цифровой информации.
Системы счисления и коды, применяемые в цифровой измерительной технике. Для изображения любых чисел существует некоторое ограниченное число знаков и порядок их написания — это и есть система счисления. В наиболее привычной для нас десятичной системе таких знаков десять: 0, 1, 2,..., 9. Форма записи числа в десятичной систем счисления имеет вид:
(1)
где 10 i — десятичный разряд; а i — значение символа в соответствующем разряде, которое может быть любым от 0 до 9.
Например, число 583 с помощью трех десятичных разрядов запишется как: N = 583 = 102-5 + 10'-8 + 10°-3.
А
налогично записывается целое число и в двоичной системе счисления:
Здесь коэффициенты b i, принимают лишь два значения: 0 и 1. Например, число 583 в двоичной системе запишется в виде
N= 1.29+0.28 + 0.27 + 1. 26+0.25+0.24+0.23+ 1. 22 + 1.2'+ 1.2°. (3)
Следовательно, числу 583 в десятичной системе соответствует число в двоичной - 1001000111. Последнее принято называть кодом числа в двоичной системе счисления. Написание числа в двоичном коде оказывается удобным для проведения арифметических действий по законам булевой алгебры, что применяется в вычислительных устройствах и, в частности, в компьютерах.
При использовании десятичной системы счисления для образования кода требуется десять различных импульсов, например отличающихся амплитудой, длительностью и пр. Такое представление кодов не применяют, так как для образования и его распознавания требуется сложная аппаратура, в то время как для образования и обработки двоичного кода могут быть использованы простые, двоичные элементы, имеющие всего два состояния: единица и нуль. Двоичный код наиболее компактен (экономичен) и пока является основным кодом в компьютерной технике. Однако двоичный код неудобен для управления десятичным цифровым отсчетным устройством измерительной аппаратуры.
Поэтому в цифровой измерительной аппаратуре широко используется двоично-десятичные и тетрадно-десятичные коды, так как представление измеряемой величины на индикаторе должно быть выполнено в привычном для наблюдающего человека десятичном виде, а перевод двоичного кода в десятичный — сложная задача для оператора.
В тетрадно-десятичной системе каждая десятичная цифра (0...9) кодируется четырьмя двоичными числами 0 и 1 (тетрада) при различных носовых коэффициентах. Широко распространен в цифровых измерительных приборах (ЦИП) код 8421, в котором весовыми коэффициентами являются цифры 8, 4, 2, 1 (табл.1).
Таблица 1. Двоично-десятичный код 8421
| Десятичные цифры | 0 | 1 | 2 | 3 | 4 | 5 | 6 | 7 | 8 | 9 |
| Код 8421 | 0000 | 0001 | 0010 | 0011 | 0100 | 0101 | 0110 | 0111 | 1000 | 1001 |
Если вернуться к числу 583, то в коде 8421 оно будет представлено следующим образом:
583=102(8-0+41+2-0+1-1)+10'(8-1+4-0+20+1-0)+10°(8-0+4-0+21 + 11). (4)
Соответственно тетрадно-десятичная запись имеет вид
0101 1000 0011
Помимо двоично-десятичного кода при построении цифровых измерительных приборов применяются коды и с другими весовыми коэффициентами (тетрадно-десятичные коды), например: 4 2 2 1 и др. Эти коды неоднозначные (т.е. числа можно получить разными комбинациями), но требуют меньше символов, что иногда важно. Для устранения неоднозначности принимают специальные меры.
В широко используемых в цифровой измерительной технике десятичных (декадных) счетчиках цифры разрядов десятичного числа представляются в четырехразрядной двоичной форме, т.е. используется двоично-десятичная система исчисления. При этом для каждого разряда десятичного числа используется четыре триггера и, если число десятичных разрядов к, то для регистрации чисел в десятичном счетчике необходимо задействовать 4к триггеров. Максимальное число записанных импульсов в счетчике в этом случае составляет N = 10k- 1. Десятичные счетчики широко применяют в случаях, когда число поступающих импульсов необходимо представить в привычной для человека десятичной системе счисления.
Шифратор (называемый часто кодером) — устройство, преобразующее десятичные числа в двоичную систему счисления. Пусть в шифраторе имеется т входов, последовательно пронумерованных десятичными числами (0, 1, 2, 3,..., т - 1), и п выходов. Поступление сигнала на один из входов вызывает появление на выходах n-разрядного двоичного числа, соответствующего номеру возбужденного входа.
Из теории передачи информации известно, что построить шифраторы с большим числом входов т технически трудно, поэтому они используются для преобразования в двоичную систему счисления небольших десятичных чисел. Для преобразования больших десятичных чисел используются специальные методы.
Шифраторы часто снабжаются клавиатурой, каждая клавиша которой связана с определенным входом шифратора, и на его выходе воспроизводится двоичное число, соответствующее написанному на клавише символу.
На рис.2 показано условное изображение шифратора, преобразующего первые десять цифр десятичного счисления 0, 1, 2,..., 9 в двоичное представление. Символ CD в обозначении образован из букв, входящих в английское слово CODER, Слева на схеме показано десять входов, обозначенных соответствующими десятичными числами. Справа представлены выходы шифратора: цифрами 1, 2, 4, 8 обозначены весовые коэффициенты двоичных разрядов, соответствующих отдельным выходам.
Р
ис.2. Условное изображение шифратора
Характеристики
Тип файла документ
Документы такого типа открываются такими программами, как Microsoft Office Word на компьютерах Windows, Apple Pages на компьютерах Mac, Open Office - бесплатная альтернатива на различных платформах, в том числе Linux. Наиболее простым и современным решением будут Google документы, так как открываются онлайн без скачивания прямо в браузере на любой платформе. Существуют российские качественные аналоги, например от Яндекса.
Будьте внимательны на мобильных устройствах, так как там используются упрощённый функционал даже в официальном приложении от Microsoft, поэтому для просмотра скачивайте PDF-версию. А если нужно редактировать файл, то используйте оригинальный файл.
Файлы такого типа обычно разбиты на страницы, а текст может быть форматированным (жирный, курсив, выбор шрифта, таблицы и т.п.), а также в него можно добавлять изображения. Формат идеально подходит для рефератов, докладов и РПЗ курсовых проектов, которые необходимо распечатать. Кстати перед печатью также сохраняйте файл в PDF, так как принтер может начудить со шрифтами.
















