ЛЕКЦИИ по УФиГС (564694)
Текст из файла
Московский Авиационный Институт
(Государственный Технический Университет)
кафедра 406
Конспект лекций
ПО КУРСУ
«УСТРОЙСТВА ФОРМИРОВАНИЯ И ГЕНЕРАЦИИ СИГНАЛОВ»
Выполнил:
студент группы 04-420
Дадашев М.С
Преподаватель:
профессор, к.т.н. Давыдова Н.С.
Москва 2008 г.
Лекция № 1
Часть 1.Виды сигналов в каналах связи РЭС
Сигнал – это сообщение-информация о каком-либо событии, передаваемое на расстоянии. Событие заключается в изменении какого-либо параметра определенного физического процесса определяемого временной функцией y(t). В настоящее время в радиоэлектронных системах передачи информации (РЭСПИ) используются электрические сигналы
, который представляет собой напряжение или ток в электрической цепи, изменяющиеся пропорционально физическому процессу y(t):
и этот сигнал называется первичный информационный сигнал (ПИС).
F – частота или скорость изменения сигнала.
K – коэффициент пропорциональности.
Источником ПИС a(t) является специальное электронное устройство – датчик информации (ДИ). Примером могут служить такие ДИ, как: видеокамеры, микрофоны и т.д. Передача информации от ДИ к получателю информации (ПИ) осуществляется с помощью электромагнитных волн, возбуждаемых в проводных линиях связи (кабели, волноводы, волоконно - оптические) или в свободном пространстве. ДИ, ПИ и линия связи образуют канал связи, который называется телефонным для проводных линий связи и радиоканалом для свободного пространства. При этом упрощенная функциональная схема канала связи, и обобщенная функциональная схема показаны на ниже приведенных рисунках:
рис. 1 Схема передачи информации
Таким образом сигналы, действующие в канале связи:
- первичный информационный канал (ДИ).
- низкочастотный информационный сигнал (ПИ)
- модулятор напряжения (ГМН)
- радиосигнал или высокочастотный информационный сигнал (ГРС).
Разница между F и f: НЧ информационный сигнал не может быть передан через свободное пространство.
.
П1 и П2 – функции времени, а К от времени не зависит.
Устройства, которые образуют КС:
-
Генераторы ГМН и ГРС;
-
Усилители ВЧ;
-
НЧ усилители модулированного напряжения и усилители радиосвязи;
-
Детекторы;
-
Кодеры;
-
Декодеры;
-
Модуляторы.
Виды информационных сигналов
Структура канала связи и устройств формирования сигналов (УФС) определяется структурой передаваемого информационного сигнала. В зависимости от структуры, информационные сигналы делятся на 2 типа:
-
Детерминированные, заданные регулярной функцией
, которая представляет собой зависимость мгновенного значения сигнала от времени. -
Шумовые, заданные функцией плотности вероятности p(x), где p – обозначает вероятность того, что мгновенное значение сигнала x находится в определенном интервале
.
Детерминированные сигналы, в зависимости от характера функции
делятся на:
-
Аналоговые (непрерывные);
-
Дискретные (импульсные).
Шумовые сигналы, различают по виду функции p(x) (нормальный, Рэлейский...). Детерминированные сигналы могут быть периодическими, если
, где T – период повторения, или непериодическими, если для функции
не существует отрезка времени, удовлетворяющего условию периодичности. Аналоговые непрерывные сигналы, для которых функция
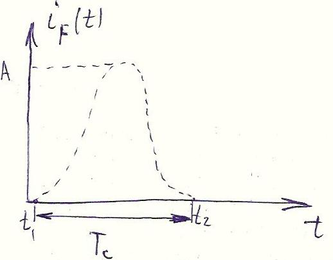
определена и непрерывна, в некотором интервале длительностью Tc и могут принимать в этом интервале бесчисленное множество значений.
рис. 2
Дискретные или импульсные сигналы, для которых функция
определена в некотором узком интервале времени
много меньше Tс и может принимать лишь одно или несколько фиксированных значений (уровней) в этом интервале.
Характеристики и параметры информационных сигналов
Временная и частотная характеристика.
Временная характеристика ИС определяется временной функцией
, которая называется формой сигнала. Частотная характеристика ИС определяется комплексной функцией частоты
названной спектральной функцией или спектром сигнала. Эти характеристики связаны между собой преобразованием Фурье:
Эти характеристики называются соответственно прямым и обратным преобразованием Фурье.
Лекция № 2
Рассмотрим характеристики информационных сигналов.
U(t)
Простейшим аналоговым непрерывным сигналом является гармонические колебания (все информационные сигналы представляют собой гармонические колебания). Гармонические колебания определяются гармонической функцией времени.
Параметрами этого колебания являются амплитуда A, частота ω0 и фаза φ0.
Где ω0 – собственная резонансная частота колебательной системы
. Графически это колебание представляется следующим образом
рис. 3
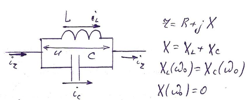
Такие колебания возникают в электрической колебательной системе, которая представляет собой колебательный контур (последовательный или параллельный).
рис.4
Принцип действия: обмен энергией между индуктивностью L и емкостью C, которая определяется из соотношений:
Магнитное поле сосредотачивается в индуктивности, а электрическое поле – в емкости. Таким образом, происходит преобразование энергии магнитного поля в энергию электрического и обратно. Физический смысл параметров A, ω, φ определяется путем представления гармонических колебаний вращающимся вектором в комплексной плоскости координат.
рис. 5
Физический смысл ω0 – круговая частота – это угол, проходящий в единицу времени [рад/с].
Амплитуда колебания – это длина вектора, тогда
Проекции вектора
представляются следующим образом:
j
. смысл параметра F – количество полных колебаний в единицу времени или циклическая частота, тогда
– время одного полного колебания.
Таким образом, гармоническое колебание или простейший аналоговый сигнал может быть представлен аналитически: тригонометрической функцией; вектором, вращающимся в комплексной плоскости; комплексным числом.
Спектр такого сигнала представляется в виде отрезка длиной A:
Рис. 6
Физический смысл определяется выражением преобразования Фурье:
Колебательная система:
Рис. 7
рис. 8
В момент резонанса
=0. При ω<ω0, φ<0, так как на НЧ основное значение сопротивления конденсатора стремится в бесконечность, а сопротивление индуктивности стремится к нулю, следовательно, возникает запаздывание и фазовая характеристика приобретает следующий вид:
рис. 9
Импульсный информационный сигнал представляет собой периодическую последовательность прямоугольных импульсов.
Рис. 10
Рис.11
Рис. 12
Аналитическое выражение для этой функции:
рис. 13
Рис.14
Рассмотренные простейшие информационные сигналы, по сути, не является информационными, так как их параметры не зависят от времени. Эта информация передается как функция A(t). Рассмотренные сигналы не меняются по времени, следовательно, не передают информацию, но в каналах связи эти сигналы используются для передачи информации путем модулирования их параметров по закону передаваемой информации A(t). При этом информационные сигналы представляют собой модулированные колебания. Рассмотрим характеристики модулированных, аналоговых и импульсных сигналов. Параметрами сигнала является энергия и мощность. Если сигнал представляет собой электрический ток, то при прохождении этого тока через сопротивление R, выделяется мощность за время действия сигнала:
– среднее значение тока за время действия сигнала.
Тогда
При этом длительность сигнала определяется как интервал времени, в котором заключена определенная часть полной энергии сигнала.
Аналогично, полоса частот:
, где
Или
Полоса частот определяется как полоса, в которой заключена энергия сигнала. Аналитически определить период и полосу частот сложно, поэтому на практике период определяется как отрезок времени, в течение которого
. а полоса частот практически определяется как Π
, где Fmax – частота первого нуля спектральной функции. Из преобразований Фурье следует, что период и полоса пропускания однозначно связаны между собой: при уменьшении периода, полоса пропускания увеличивается, поэтому произведение периода на полосу пропускания является постоянной величиной, которая называется база сигнала:
Информационные критерии параметров
Количество информации, доставляемое сообщением X (значение информации сигнала в определенный момент времени t1) о событии Y – это значение первичного информационного сигнала от датчика информации в тот же момент времени, определяется как
, где
- апостериорная вероятность, а P(x) – априорная вероятность.
a(t)
Характеристики
Тип файла документ
Документы такого типа открываются такими программами, как Microsoft Office Word на компьютерах Windows, Apple Pages на компьютерах Mac, Open Office - бесплатная альтернатива на различных платформах, в том числе Linux. Наиболее простым и современным решением будут Google документы, так как открываются онлайн без скачивания прямо в браузере на любой платформе. Существуют российские качественные аналоги, например от Яндекса.
Будьте внимательны на мобильных устройствах, так как там используются упрощённый функционал даже в официальном приложении от Microsoft, поэтому для просмотра скачивайте PDF-версию. А если нужно редактировать файл, то используйте оригинальный файл.
Файлы такого типа обычно разбиты на страницы, а текст может быть форматированным (жирный, курсив, выбор шрифта, таблицы и т.п.), а также в него можно добавлять изображения. Формат идеально подходит для рефератов, докладов и РПЗ курсовых проектов, которые необходимо распечатать. Кстати перед печатью также сохраняйте файл в PDF, так как принтер может начудить со шрифтами.
















