ЛЕКЦИИ по УФиГС (564694), страница 7
Текст из файла (страница 7)
Рис. 53 Обобщенная функциональная схема РПУ
Временные и спектральные характеристики РС, if(t), Sf, синтезируются на выходе РПУ в результате преобразования энергии (или мощности P0), потребляемой от источника питания, в энергию (или мощность Рвых) выходных колебаний и переноса спектра SF первичного информационного сигнала aF (t) в окрестности несущей частоты f0. Таким образом, РПУ можно рассматривать как энергетический и частотный преобразователь: Р0
Рвых , SF
Sf. Основными элементами функциональной схемы РПУ являются: возбудитель, называемый часто синтезатором частот – «СЧ», или устройством формирования сигнала (УФС), формирующий спектральные характеристики РС, и усилитель мощности – «УМ», формирующий энергетические характеристики РС. Возбудитель представляет собой модулируемый (управляемый) генератор (источник) ВЧ колебаний, параметры которых изменяются пропорционально передаваемому ИС iF (t) под воздействием модулирующего (управляющего) напряжения uм(t). Модулирующее напряжение формируется модулятором – «М» путем усиления информационного сигнала до уровня, необходимого для управления (модуляции) колебаниями ВЧ генератора. Устройство формирования информационного сигнала «УФИС» преобразует первичный ИС от датчика информации aF (t) к заданному виду ИС – iF (t). В простейших РПД с АМ радиосигналом модулирующее напряжение подается на усилитель мощности. В современных РПУ возбудитель и усилитель мощности представляют собой сложные многокаскадные устройства, которые выполняются в виде автономных функциональных узлов, каждый из которых объединяет несколько отдельных каскадов определенного функционального назначения (автогенераторов, усилителей мощности, преобразователей частоты и т.п.), как показано ниже. Покаскадное строение РПУ определяется его структурной схемой (в отличие от функциональной схемы, представляющей РПУ в виде соединения функциональных узлов и определяющей последовательность функциональных преобразований при формировании радиосигнала). Для простейших РПД функциональная и структурная схема могут совпадать. Устройство управления, контроля, сигнализации, защиты и блокировки – «УУКСЗБ» может быть выполнено в виде отдельного функционального узла (например, процессора, контроллера приемо-передающего модуля управляющих сигналов и т.п.) или сигнализирующих и управляющих элементов (УЭ), включаемых в схему отдельных каскадов (варикапов, сигнальных ламп, реле и т.п.). Источник питания вырабатывает постоянное напряжение питания для всех каскадов РПУ.
Как видно из рисунка, узлы и каскады РПУ, осуществляющие преобразования ВЧ сигналов (возбудитель и УМ), составляют его ВЧ тракт, а преобразователи НЧ – сигналов (УФИС и модулятор) – НЧ тракт.
Функциональная и структурная схема РПУ определяются требованиями к его параметрам, которые формулируются на основании заданных параметров радиосигнала.
Параметры радиопередающих устройств.
В соответствии с двойным функциональным назначением РПУ (энергетический и частотный, или спектральный преобразователь) электрические параметры РПУ можно разделить на две группы:
1 . Энергетические параметры:
- Рвых - выходная мощность (средняя мощность несущих колебаний в отсутствии модуляции, выделяемая на сопротивлении нагрузки - антенны);
- Р0 - потребляемая мощность (от источника питания);
- КПД
- коэффициент полезного действия;
2. Частотные, или спектральные параметры:
- f0 – несущая (рабочая) частота;
- ∆f0=f0max – f0min - диапазон несущих (рабочих) частот;
- необходимая полоса частот НПЧ;
- занимаемая полоса частот ЗПЧ;
- полоса передаваемых частот информационного сигнала;
Часто вместо нестабильности частоты δf в качестве параметра РПУ используется стабильность частоты, определяемая как (δf) ˉ¹.
Для Тнабл<<1c отклонения частоты имеют быстрый шумоподобный характер, и флюктуации частоты выходных колебаний вызывают «размывание» спектра выходного сигнала РПД, в результате чего в окрестности каждой дискретной составляющей спектра сигнала излучения появляются две боковые шумовые полосы, как показано на рис. 54, и дискретный спектр излучения преобразуется в непрерывный.
Рис.54 Спектр излучения передатчика
При детектировании такого сигнала в приемнике канала связи, появляется продетектированный НЧ-шум, который в случае применения амплитудного детектора рассматривается как результат АМ колебаний несущей частоты – амплитудный шум (АШ), а в случае частотного детектора – как результат ЧМ колебаний несущей частоты – частотный шум (ЧШ). Наличие шума на выходе детектора приемника приводит к уменьшению количества передаваемой информации.
Лекция №11
Для характеристики кратковременной стабильности частоты КСЧ используются «шумовые» параметры передатчика: отношение «шум/сигнал» NΔF(F) [дБ], спектральная плотность шума Sш [дБ/Гц], среднеквадратическая девиация шума Δfш [Гц²], которые связанны между собой соотношением
где F и ΔF – частота отстройки от несущей и полоса, для которых определяется средняя мощность шума Pш. «Необходимая» и «Занимаемая» полосы частот, определяются спектром излучения РПД в широком диапазоне частот, показанном на рис. 55.
Рис.55 Спектральная характеристика РПД
Необходимой полосой частот называется полоса, равная ширине спектра РС, в пределах которой мощность излучения не падает ниже некоторого определенного уровня , достаточного для обеспечения заданного необходимого количества информации.
Уровень внеполосного и побочного излучения определяется соответственно коэффициентами:
где РF – средняя мощность внеполосного излучения в полосе ∆F=1Гц при отстройке на F кГц от несущей, см. рис.55;
Рi - мощность соответствующей составляющей побочного излучения.
Заметим, что для маломощного передатчика P<100 Вт проблемы электромагнитной совместимости отодвигаются на второй план, требования к нестабильности частоты могут быть сформулированы на основании условия обеспечения заданного количества информации или необходимой полосы частот. При этом кратковременная стабильности частоты имеет второстепенное значение.
Классификация РПУ по мощности:
-
Очень малой мощности (Pвых<3 Вт)
-
Малой мощности (Pвых<100 Вт)
-
Средней мощности (Pвых<3 кВт)
-
Мощные (Pвых<100 кВт)
-
Сверхмощные (Pвых>100 кВт).
Возбудители РПУ - синтезаторы частот
Назначением возбудителя является формирование радиосигнала заданной временной формы, синтез которого осуществляется путем генерации гармонического несущего колебания и модуляции этого колебания по закону передаваемого информационного сигнала. Одним из основных требований, предъявляемым к возбудителю, являются обеспечение заданной несущей частоты
и ее нестабильности
. Эти требования определяют метод синтеза несущего колебания и функциональную структуру возбудителя. В настоящее время применяются два метода синтеза колебаний несущей частоты и, соответственно, два типа возбудителей, часто называемых синтезаторами частот:
-
Синтезатор прямого когерентного синтеза – ПКС,
-
Синтезатор частот косвенного некогерентного синтеза – КНС.
Синтезатор частот прямого когерентного синтеза
Синтезатор частот прямого когерентного синтеза осуществляет формирование колебаний путем серии линейных преобразований когерентных гармонических колебаний с частотой, кратной частоте высокостабильного опорного генератора fОГ. Сущность линейных преобразований сводится к выполнению алгебраических операций умножения, деления, сложения и вычитания, таким образом, что частота выходного сигнала f0 связана с частотой опорного генератора (ОГ) дробно-рациональным соотношением:
где mi, ni – целые числа, коэффициенты умножения и деления соответственно.
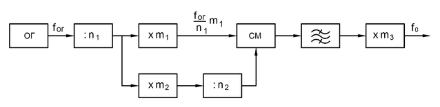
Функциональная схема синтезатора частот ПКС показана на рис. 56, для которого частота выходного сигнала определяется как:
Рис. 56 Синтезатор частот ПКС.
В диапазонных РПУ с перекрытием заданного диапазона при помощи сетки фиксированных частот с шагом перестройки используются синтезаторы частот ПКС с управляемыми переменными коэффициентами деления и умножения ni, mi. В простейшем случае целого М=
, схема синтезатора частот ПКС реализуется в виде цепочки каскадов умножителей частоты, как показано на рис. 57.
Рис. 5
7 Упрощенная схема СЧ ПКС.
В качестве ОГ синтезатора используются высокостабильные автогенераторы (термостабилизированные, кварцевые, молекулярные).
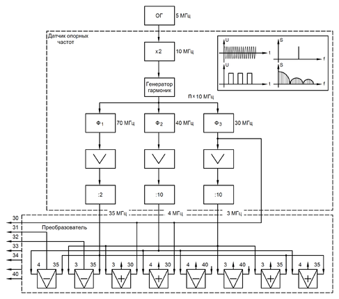
Схема синтезатора частот ПКС, работающего в диапазоне частот
МГц с шагом перестройки
МГц, показана на рис. 58.
Рис. 58. Схема синтезатора частот прямого когерентного синтеза в диапазоне
МГц с шагом перестройки
МГц
Лекция № 12
Синтезаторы частот косвенного некогерентного синтеза (КНС)
Выполняется по схеме синхронизации колебаний перестраиваемого генератора (ПГ) колебаниями высокостабильного опорного генератора (ОГ) при помощи систем фазовой автоподстройки частоты (ФАПЧ) как показано на рисунке 59.















